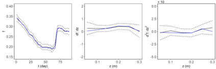
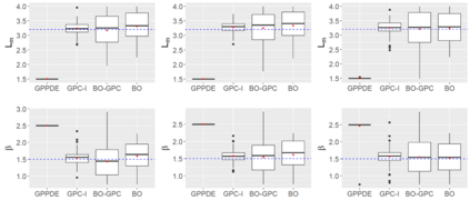
The estimation of unknown parameters in nonlinear partial differential equations (PDEs) offers valuable insights across a wide range of scientific domains. In this work, we focus on estimating plant root parameters in the Richards equation, which is essential for understanding the soil-plant system in agricultural studies. Since conventional methods are computationally intensive and often yield unstable estimates, we develop a new Gaussian process collocation method for efficient Bayesian inference. Unlike existing Gaussian process-based approaches, our method constructs an approximate posterior distribution using samples drawn from a Gaussian process model fitted to the observed data, which does not require any structural assumption about the underlying PDE. Further, we propose to use an importance sampling procedure to correct for the discrepancy between the approximate and true posterior distributions. As an alternative, we also devise a prior-guided Bayesian optimization algorithm leveraging the approximate posterior. Simulation studies demonstrate that our method yields robust estimates under various settings. Finally, we apply our method on a real agricultural data set and estimate the plant root parameters with uncertainty quantification.
翻译:暂无翻译