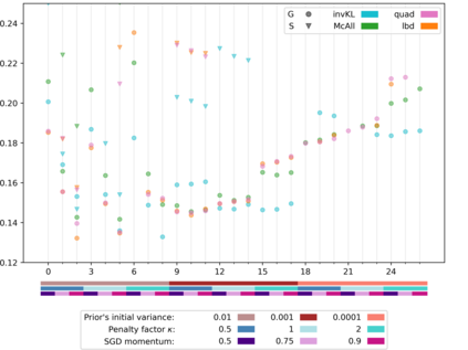
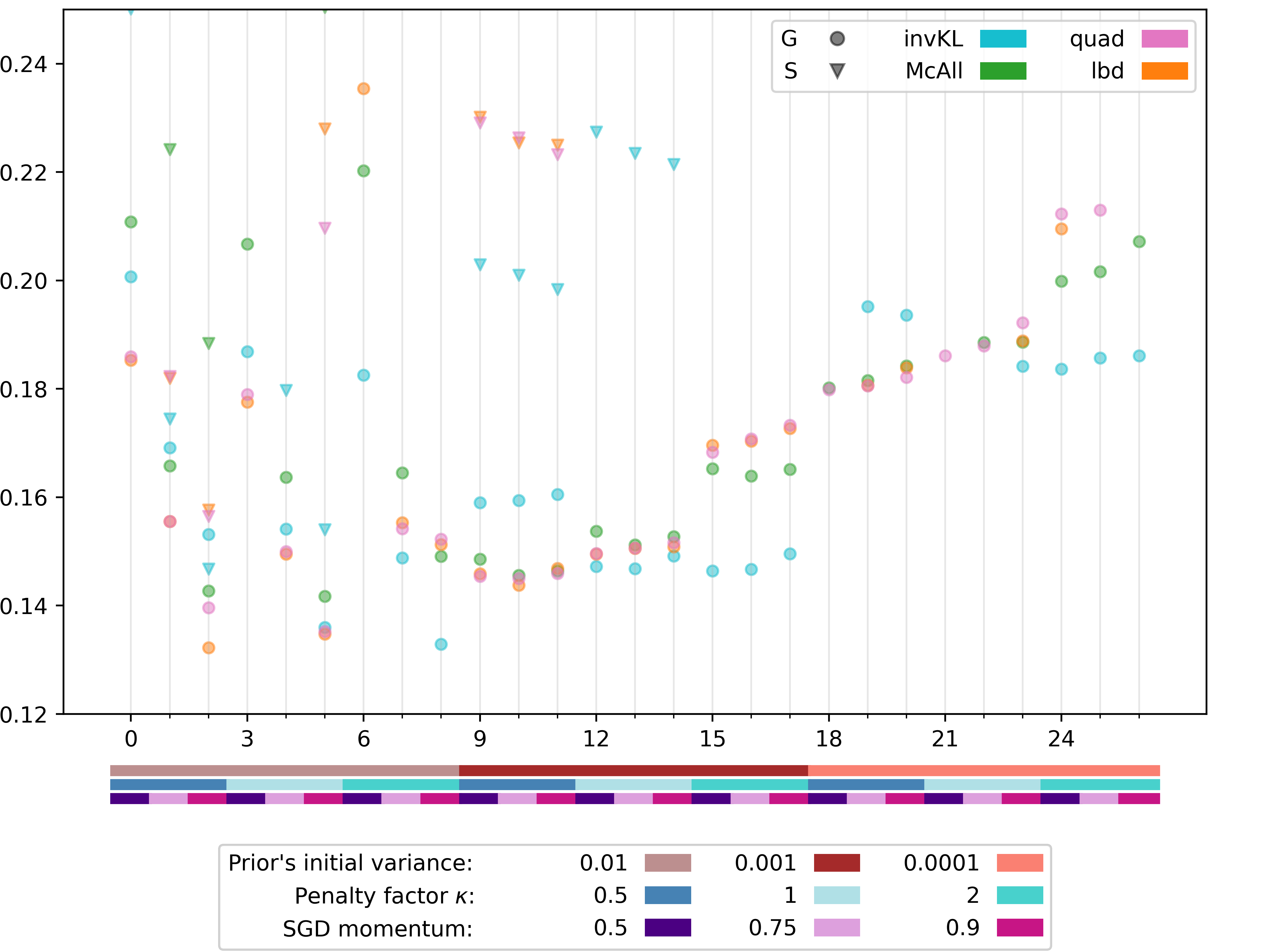
Recent studies have empirically investigated different methods to train a stochastic classifier by optimising a PAC-Bayesian bound via stochastic gradient descent. Most of these procedures need to replace the misclassification error with a surrogate loss, leading to a mismatch between the optimisation objective and the actual generalisation bound. The present paper proposes a novel training algorithm that optimises the PAC-Bayesian bound, without relying on any surrogate loss. Empirical results show that the bounds obtained with this approach are tighter than those found in the literature.


翻译:最近的研究从经验上调查了通过通过随机梯度下降优化PAC-Bayesian捆绑物来训练一个随机分类师的不同方法,其中多数程序需要用替代损失取代错误分类错误,从而导致优化目标与实际概括约束之间的不匹配。本文件提出一种新的培训算法,在不依赖任何替代损失的情况下,选择PAC-Bayesian绑定物。经验性结果显示,采用这一方法获得的界限比文献中发现的界限更紧。

0
下载
关闭预览

相关内容

专知会员服务
51+阅读 · 2020年12月14日
【干货书】机器学习速查手册,135页pdf
专知会员服务
127+阅读 · 2020年11月20日
最新《自动微分手册》77页pdf
专知会员服务
103+阅读 · 2020年6月6日
强化学习最新教程,17页pdf
专知会员服务
182+阅读 · 2019年10月11日
强化学习三篇论文 避免遗忘等
CreateAMind
20+阅读 · 2019年5月24日
Hierarchically Structured Meta-learning
CreateAMind
27+阅读 · 2019年5月22日
Disentangled的假设的探讨
CreateAMind
9+阅读 · 2018年12月10日
Hierarchical Disentangled Representations
CreateAMind
4+阅读 · 2018年4月15日
【论文】变分推断(Variational inference)的总结
机器学习研究会
39+阅读 · 2017年11月16日
Adversarial Variational Bayes: Unifying VAE and GAN 代码
CreateAMind
7+阅读 · 2017年10月4日
Auto-Encoding GAN
CreateAMind
7+阅读 · 2017年8月4日
强化学习族谱
CreateAMind
26+阅读 · 2017年8月2日
Arxiv
3+阅读 · 2018年11月11日
Learning to Importance Sample in Primary Sample Space
VIP会员
相关资讯
强化学习三篇论文 避免遗忘等
CreateAMind
20+阅读 · 2019年5月24日
Hierarchically Structured Meta-learning
CreateAMind
27+阅读 · 2019年5月22日
Disentangled的假设的探讨
CreateAMind
9+阅读 · 2018年12月10日
Hierarchical Disentangled Representations
CreateAMind
4+阅读 · 2018年4月15日
【论文】变分推断(Variational inference)的总结
机器学习研究会
39+阅读 · 2017年11月16日
Adversarial Variational Bayes: Unifying VAE and GAN 代码
CreateAMind
7+阅读 · 2017年10月4日
Auto-Encoding GAN
CreateAMind
7+阅读 · 2017年8月4日
强化学习族谱
CreateAMind
26+阅读 · 2017年8月2日
Top
微信扫码咨询专知VIP会员