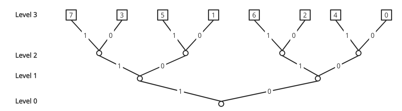
In this work we initiate the study of the correspondence between p-adic statistical field theories (SFTs) and neural networks (NNs). In general quantum field theories over a p-adic spacetime can be formulated in a rigorous way. Nowadays these theories are considered just mathematical toy models for understanding the problems of the true theories. In this work we show these theories are deeply connected with the deep belief networks (DBNs). Hinton et al. constructed DBNs by stacking several restricted Boltzmann machines (RBMs). The purpose of this construction is to obtain a network with a hierarchical structure (a deep learning architecture). An RBM corresponds to a certain spin glass, we argue that a DBN should correspond to an ultrametric spin glass. A model of such a system can be easily constructed by using p-adic numbers. In our approach, a p-adic SFT corresponds to a p-adic continuous DBN, and a discretization of this theory corresponds to a p-adic discrete DBN. We show that these last machines are universal approximators. In the p-adic framework, the correspondence between SFTs and NNs is not fully developed. We point out several open problems.


翻译:在这项工作中,我们开始研究p-adi统计领域理论(SFTs)和神经网络(NNs)之间的对应关系。在一般情况下,对p-adi空间时间的量子领域理论可以严格地制定。现在,这些理论被视为仅仅是数学玩具模型,用来理解真实理论的问题。在这项工作中,我们展示这些理论与深层信仰网络(DBNs)有着深刻的联系。Hinton et al. 通过堆叠数台受限制的Boltzmann机器(RBMs)建造了DBNs。这一构造的目的是为了获得一个有等级结构(深层学习结构)的网络。成果管理制与某个旋转玻璃相对应。我们认为,DBN应该对应一个超度的旋转玻璃。这种系统的模型可以很容易地通过使用p-adic数字来构建。在我们的方法中,p-adi SFT与p-acc 连续的DBNS(DBN)相对应,而这一理论的离散化与p-adic lise DBNs对应。我们显示这些最后的机器是通用的相吸合器。在p-access框架中,我们没有完全的问题。

0
下载
关闭预览

相关内容

DBN是一种堆叠许多独立的无监督网络的技术,这种网络使用每个网络的隐藏层作为下一层的输入。通常,使用受限玻尔兹曼机(RBM)或自动编码器的“堆栈” 。
不可错过!《机器学习100讲》课程,UBC Mark Schmidt讲授
专知会员服务
76+阅读 · 2022年6月28日
专知会员服务
45+阅读 · 2020年10月31日
专知会员服务
54+阅读 · 2020年9月7日
Keras François Chollet 《Deep Learning with Python 》, 386页pdf
专知会员服务
160+阅读 · 2019年10月12日
开源书:PyTorch深度学习起步
专知会员服务
51+阅读 · 2019年10月11日
强化学习最新教程,17页pdf
专知会员服务
182+阅读 · 2019年10月11日
【哈佛大学商学院课程Fall 2019】机器学习可解释性
专知会员服务
105+阅读 · 2019年10月9日
【SIGGRAPH2019】TensorFlow 2.0深度学习计算机图形学应用
专知会员服务
41+阅读 · 2019年10月9日
VCIP 2022 Call for Demos
CCF多媒体专委会
1+阅读 · 2022年6月6日
ACM MM 2022 Call for Papers
CCF多媒体专委会
5+阅读 · 2022年3月29日
IEEE TII Call For Papers
CCF多媒体专委会
3+阅读 · 2022年3月24日
ACM TOMM Call for Papers
CCF多媒体专委会
2+阅读 · 2022年3月23日
AIART 2022 Call for Papers
CCF多媒体专委会
1+阅读 · 2022年2月13日
【ICIG2021】Check out the hot new trailer of ICIG2021 Symposium7
中国图象图形学学会CSIG
0+阅读 · 2021年11月15日
Hierarchically Structured Meta-learning
CreateAMind
27+阅读 · 2019年5月22日
Transferring Knowledge across Learning Processes
CreateAMind
29+阅读 · 2019年5月18日
A Technical Overview of AI & ML in 2018 & Trends for 2019
待字闺中
18+阅读 · 2018年12月24日
Capsule Networks解析
机器学习研究会
11+阅读 · 2017年11月12日
国家自然科学基金
1+阅读 · 2014年12月31日
国家自然科学基金
0+阅读 · 2014年12月31日
国家自然科学基金
0+阅读 · 2013年12月31日
国家自然科学基金
0+阅读 · 2013年12月31日
国家自然科学基金
0+阅读 · 2013年12月31日
国家自然科学基金
0+阅读 · 2013年12月31日
国家自然科学基金
0+阅读 · 2011年12月31日
国家自然科学基金
0+阅读 · 2011年12月31日
国家自然科学基金
0+阅读 · 2009年12月31日
Arxiv
0+阅读 · 2023年3月2日
Arxiv
66+阅读 · 2021年6月18日
Arxiv
49+阅读 · 2021年5月9日
Arxiv
18+阅读 · 2021年3月16日
VIP会员
相关VIP内容
不可错过!《机器学习100讲》课程,UBC Mark Schmidt讲授
专知会员服务
76+阅读 · 2022年6月28日
专知会员服务
45+阅读 · 2020年10月31日
专知会员服务
54+阅读 · 2020年9月7日
Keras François Chollet 《Deep Learning with Python 》, 386页pdf
专知会员服务
160+阅读 · 2019年10月12日
开源书:PyTorch深度学习起步
专知会员服务
51+阅读 · 2019年10月11日
强化学习最新教程,17页pdf
专知会员服务
182+阅读 · 2019年10月11日
【哈佛大学商学院课程Fall 2019】机器学习可解释性
专知会员服务
105+阅读 · 2019年10月9日
【SIGGRAPH2019】TensorFlow 2.0深度学习计算机图形学应用
专知会员服务
41+阅读 · 2019年10月9日
相关资讯
VCIP 2022 Call for Demos
CCF多媒体专委会
1+阅读 · 2022年6月6日
ACM MM 2022 Call for Papers
CCF多媒体专委会
5+阅读 · 2022年3月29日
IEEE TII Call For Papers
CCF多媒体专委会
3+阅读 · 2022年3月24日
ACM TOMM Call for Papers
CCF多媒体专委会
2+阅读 · 2022年3月23日
AIART 2022 Call for Papers
CCF多媒体专委会
1+阅读 · 2022年2月13日
【ICIG2021】Check out the hot new trailer of ICIG2021 Symposium7
中国图象图形学学会CSIG
0+阅读 · 2021年11月15日
Hierarchically Structured Meta-learning
CreateAMind
27+阅读 · 2019年5月22日
Transferring Knowledge across Learning Processes
CreateAMind
29+阅读 · 2019年5月18日
A Technical Overview of AI & ML in 2018 & Trends for 2019
待字闺中
18+阅读 · 2018年12月24日
Capsule Networks解析
机器学习研究会
11+阅读 · 2017年11月12日
相关基金
国家自然科学基金
1+阅读 · 2014年12月31日
国家自然科学基金
0+阅读 · 2014年12月31日
国家自然科学基金
0+阅读 · 2013年12月31日
国家自然科学基金
0+阅读 · 2013年12月31日
国家自然科学基金
0+阅读 · 2013年12月31日
国家自然科学基金
0+阅读 · 2013年12月31日
国家自然科学基金
0+阅读 · 2011年12月31日
国家自然科学基金
0+阅读 · 2011年12月31日
国家自然科学基金
0+阅读 · 2009年12月31日
Top
微信扫码咨询专知VIP会员