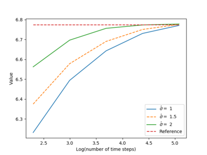
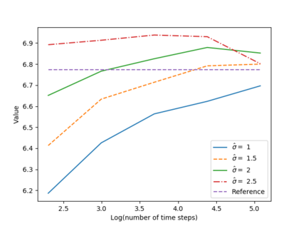
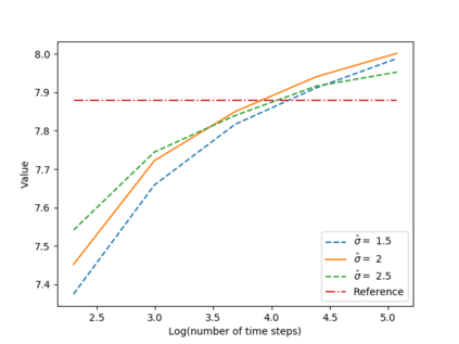
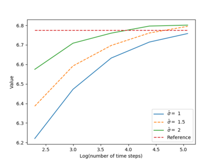
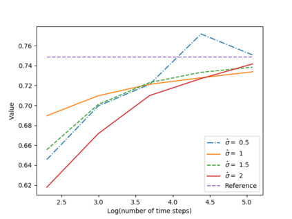
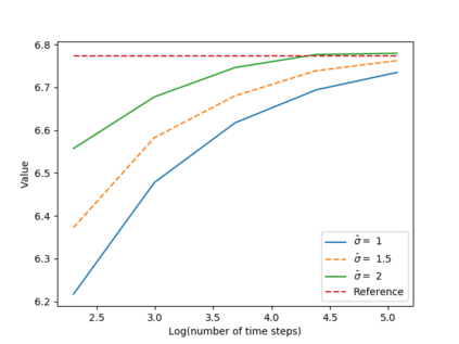
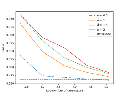
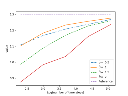
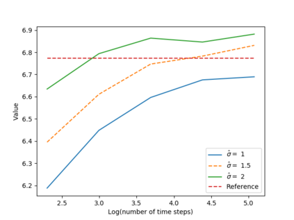
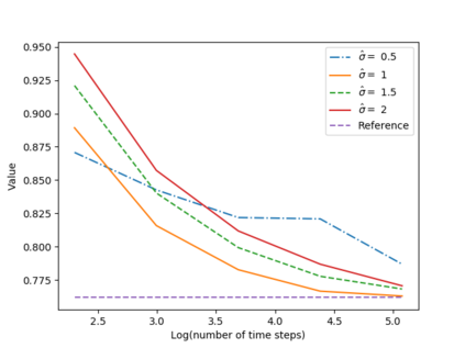
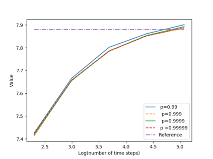
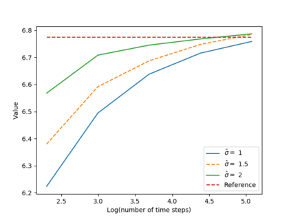
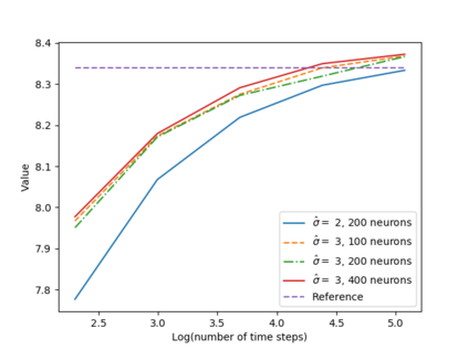
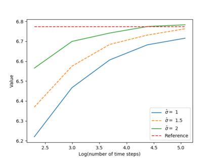
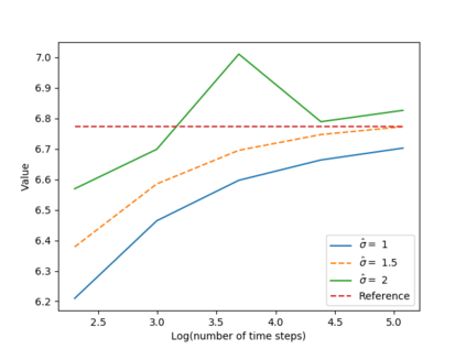
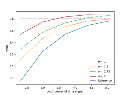
We propose a numerical method for solving high dimensional fully nonlinear partial differential equations (PDEs). Our algorithm estimates simultaneously by backward time induction the solution and its gradient by multi-layer neural networks, while the Hessian is approximated by automatic differentiation of the gradient at previous step. This methodology extends to the fully nonlinear case the approach recently proposed in \cite{HPW19} for semi-linear PDEs. Numerical tests illustrate the performance and accuracy of our method on several examples in high dimension with nonlinearity on the Hessian term including a linear quadratic control problem with control on the diffusion coefficient, Monge-Amp{\`e}re equation and Hamilton-Jacobi-Bellman equation in portfolio optimization.


翻译:我们提出了一个解决高维全非线性局部偏差方程式的数值方法。我们的算法估算同时,在后向时间引导溶液的同时,由多层神经网络将其梯度引入多层神经网络,而赫西安人则在前一步通过对梯度的自动区分进行近似。这个方法将最近在\cite{HPW19}中为半线性PDEs建议的办法扩大到完全非线性的情况。数字测试表明我们的方法在高维中几个例子中的性能和准确性,在赫西安术语上具有非线性,包括一个线性二次控制问题,在组合优化中控制扩散系数、Monge-Amp ⁇ ere等式和汉密尔顿-Jacobi-Bellman等式。

0
下载
关闭预览

相关内容

【Google】梯度下降,48页ppt
专知会员服务
81+阅读 · 2020年12月5日
专知会员服务
45+阅读 · 2020年10月31日
一份简单《图神经网络》教程,28页ppt
专知会员服务
127+阅读 · 2020年8月2日
【清华大学】图随机神经网络,Graph Random Neural Networks
专知会员服务
156+阅读 · 2020年5月26日
图机器学习 2.2-2.4 Properties of Networks, Random Graph
图与推荐
10+阅读 · 2020年3月28日
强化学习三篇论文 避免遗忘等
CreateAMind
20+阅读 · 2019年5月24日
已删除
将门创投
3+阅读 · 2019年4月25日
逆强化学习-学习人先验的动机
CreateAMind
16+阅读 · 2019年1月18日
STRCF for Visual Object Tracking
统计学习与视觉计算组
15+阅读 · 2018年5月29日
Hierarchical Imitation - Reinforcement Learning
CreateAMind
19+阅读 · 2018年5月25日
【论文】变分推断(Variational inference)的总结
机器学习研究会
39+阅读 · 2017年11月16日
【学习】Hierarchical Softmax
机器学习研究会
4+阅读 · 2017年8月6日
VIP会员
相关VIP内容
【Google】梯度下降,48页ppt
专知会员服务
81+阅读 · 2020年12月5日
专知会员服务
45+阅读 · 2020年10月31日
一份简单《图神经网络》教程,28页ppt
专知会员服务
127+阅读 · 2020年8月2日
【清华大学】图随机神经网络,Graph Random Neural Networks
专知会员服务
156+阅读 · 2020年5月26日
相关资讯
图机器学习 2.2-2.4 Properties of Networks, Random Graph
图与推荐
10+阅读 · 2020年3月28日
强化学习三篇论文 避免遗忘等
CreateAMind
20+阅读 · 2019年5月24日
已删除
将门创投
3+阅读 · 2019年4月25日
逆强化学习-学习人先验的动机
CreateAMind
16+阅读 · 2019年1月18日
STRCF for Visual Object Tracking
统计学习与视觉计算组
15+阅读 · 2018年5月29日
Hierarchical Imitation - Reinforcement Learning
CreateAMind
19+阅读 · 2018年5月25日
【论文】变分推断(Variational inference)的总结
机器学习研究会
39+阅读 · 2017年11月16日
【学习】Hierarchical Softmax
机器学习研究会
4+阅读 · 2017年8月6日
Top
微信扫码咨询专知VIP会员