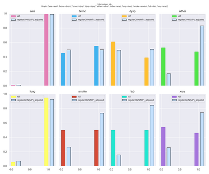
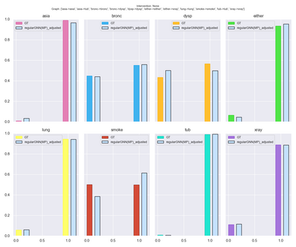
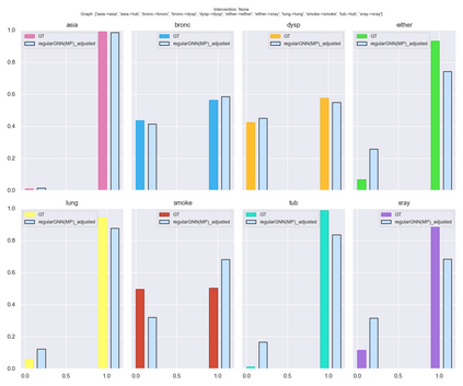
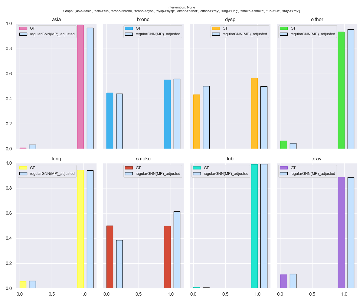
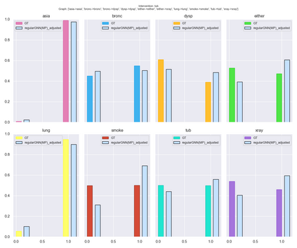
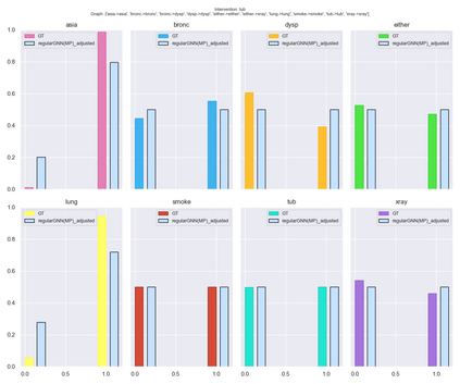
Causality can be described in terms of a structural causal model (SCM) that carries information on the variables of interest and their mechanistic relations. For most processes of interest the underlying SCM will only be partially observable, thus causal inference tries to leverage any exposed information. Graph neural networks (GNN) as universal approximators on structured input pose a viable candidate for causal learning, suggesting a tighter integration with SCM. To this effect we present a theoretical analysis from first principles that establishes a novel connection between GNN and SCM while providing an extended view on general neural-causal models. We then establish a new model class for GNN-based causal inference that is necessary and sufficient for causal effect identification. Our empirical illustration on simulations and standard benchmarks validate our theoretical proofs.


翻译:因果关系可以用结构因果模型来描述,该模型包含关于利益变量及其机械关系的信息。对于大多数感兴趣的进程来说,基础的SCM将只是部分可见的,因此,因果推断试图利用任何暴露的信息。建筑神经网络(GNN)作为结构化投入的通用近似器,为因果学习提供了一个可行的选择,建议与SCM更紧密地结合。为此,我们从最初的原则中提出理论分析,在GNN和SCM之间建立新联系,同时对一般神经-因果模型提供更广泛的看法。然后,我们为基于GNN的因果推断建立一个新的模型类别,这种模型对于确定因果关系是必要和足够的。我们关于模拟和标准基准的经验说明证实了我们的理论证据。

1
下载
关闭预览

相关内容

因果推断,Causal Inference:The Mixtape
专知会员服务
109+阅读 · 2021年8月27日
【图神经网络导论】Intro to Graph Neural Networks,176页ppt
专知会员服务
129+阅读 · 2021年6月4日
【阿尔托大学】图神经网络,Graph Neural Networks,附60页ppt
专知会员服务
184+阅读 · 2020年4月26日
因果图,Causal Graphs,52页ppt
专知会员服务
253+阅读 · 2020年4月19日
【综述笔记】Graph Neural Networks in Recommender Systems
图与推荐
5+阅读 · 2020年12月8日
图机器学习 2.2-2.4 Properties of Networks, Random Graph
图与推荐
10+阅读 · 2020年3月28日
论文浅尝 | GMNN: Graph Markov Neural Networks
开放知识图谱
20+阅读 · 2020年2月14日
Hierarchically Structured Meta-learning
CreateAMind
27+阅读 · 2019年5月22日
逆强化学习-学习人先验的动机
CreateAMind
16+阅读 · 2019年1月18日
Disentangled的假设的探讨
CreateAMind
9+阅读 · 2018年12月10日
disentangled-representation-papers
CreateAMind
26+阅读 · 2018年9月12日
Hierarchical Disentangled Representations
CreateAMind
4+阅读 · 2018年4月15日
【论文】变分推断(Variational inference)的总结
机器学习研究会
39+阅读 · 2017年11月16日
Arxiv
0+阅读 · 2021年10月31日
Arxiv
15+阅读 · 2020年12月17日
Pointer Graph Networks
Arxiv
7+阅读 · 2020年6月11日
Arxiv
17+阅读 · 2019年3月28日
VIP会员
相关资讯
【综述笔记】Graph Neural Networks in Recommender Systems
图与推荐
5+阅读 · 2020年12月8日
图机器学习 2.2-2.4 Properties of Networks, Random Graph
图与推荐
10+阅读 · 2020年3月28日
论文浅尝 | GMNN: Graph Markov Neural Networks
开放知识图谱
20+阅读 · 2020年2月14日
Hierarchically Structured Meta-learning
CreateAMind
27+阅读 · 2019年5月22日
逆强化学习-学习人先验的动机
CreateAMind
16+阅读 · 2019年1月18日
Disentangled的假设的探讨
CreateAMind
9+阅读 · 2018年12月10日
disentangled-representation-papers
CreateAMind
26+阅读 · 2018年9月12日
Hierarchical Disentangled Representations
CreateAMind
4+阅读 · 2018年4月15日
【论文】变分推断(Variational inference)的总结
机器学习研究会
39+阅读 · 2017年11月16日
Top
微信扫码咨询专知VIP会员