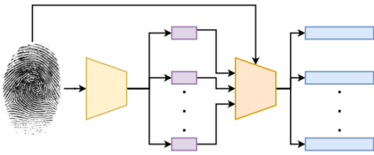
Fingerprint feature extraction is a task that is solved using either a global or a local representation. State-of-the-art global approaches use heavy deep learning models to process the full fingerprint image at once, which makes the corresponding approach memory intensive. On the other hand, local approaches involve minutiae based patch extraction, multiple feature extraction steps and an expensive matching stage, which make the corresponding approach time intensive. However, both these approaches provide useful and sometimes exclusive insights for solving the problem. Using both approaches together for extracting fingerprint representations is semantically useful but quite inefficient. Our convolutional transformer based approach with an in-built minutiae extractor provides a time and memory efficient solution to extract a global as well as a local representation of the fingerprint. The use of these representations along with a smart matching process gives us state-of-the-art performance across multiple databases. The project page can be found at https://saraansh1999.github.io/global-plus-local-fp-transformer.


翻译:指纹特征的提取是使用全球或当地代表方式解决的一项任务。 最先进的全球方法使用大量深层次的学习模型来同时处理完整的指纹图像,这使得相应方法的内存记忆力十分密集。 另一方面,地方方法涉及基于细小的补丁提取、多特征提取步骤和昂贵的匹配阶段,这使得相应方法的时间密集。但是,这两种方法都为解决问题提供了有用,有时是独家的洞察力。使用两种方法同时提取指纹的外观都具有语义作用,但效率相当低。我们基于革命的变异器和内建的微小提取器提供了时间和记忆高效的解决方案来提取指纹的全球和本地代表。使用这些表达方式以及智能匹配过程,使我们得以在多个数据库中取得最新的业绩。项目网页可在https://saraansh1999.github.io/global-plus-local-fp-transferferferf。

0
下载
关闭预览

相关内容

专知会员服务
61+阅读 · 2020年3月19日
Stabilizing Transformers for Reinforcement Learning
专知会员服务
60+阅读 · 2019年10月17日
强化学习最新教程,17页pdf
专知会员服务
182+阅读 · 2019年10月11日
[综述]深度学习下的场景文本检测与识别
专知会员服务
78+阅读 · 2019年10月10日
机器学习入门的经验与建议
专知会员服务
94+阅读 · 2019年10月10日
【SIGGRAPH2019】TensorFlow 2.0深度学习计算机图形学应用
专知会员服务
41+阅读 · 2019年10月9日
VCIP 2022 Call for Demos
CCF多媒体专委会
1+阅读 · 2022年6月6日
VCIP 2022 Call for Special Session Proposals
CCF多媒体专委会
1+阅读 · 2022年4月1日
【ICIG2021】Latest News & Announcements of the Plenary Talk1
中国图象图形学学会CSIG
0+阅读 · 2021年11月1日
【ICIG2021】Latest News & Announcements of the Industry Talk1
中国图象图形学学会CSIG
0+阅读 · 2021年7月28日
Transferring Knowledge across Learning Processes
CreateAMind
29+阅读 · 2019年5月18日
Unsupervised Learning via Meta-Learning
CreateAMind
43+阅读 · 2019年1月3日
A Technical Overview of AI & ML in 2018 & Trends for 2019
待字闺中
18+阅读 · 2018年12月24日
disentangled-representation-papers
CreateAMind
26+阅读 · 2018年9月12日
可解释的CNN
CreateAMind
17+阅读 · 2017年10月5日
国家自然科学基金
0+阅读 · 2015年12月31日
国家自然科学基金
2+阅读 · 2012年12月31日
国家自然科学基金
0+阅读 · 2012年12月31日
国家自然科学基金
1+阅读 · 2012年12月31日
国家自然科学基金
0+阅读 · 2012年12月31日
国家自然科学基金
0+阅读 · 2012年12月31日
国家自然科学基金
0+阅读 · 2011年12月31日
国家自然科学基金
0+阅读 · 2011年12月31日
国家自然科学基金
0+阅读 · 2008年12月31日
Arxiv
0+阅读 · 2022年10月20日
VIP会员
相关资讯
VCIP 2022 Call for Demos
CCF多媒体专委会
1+阅读 · 2022年6月6日
VCIP 2022 Call for Special Session Proposals
CCF多媒体专委会
1+阅读 · 2022年4月1日
【ICIG2021】Latest News & Announcements of the Plenary Talk1
中国图象图形学学会CSIG
0+阅读 · 2021年11月1日
【ICIG2021】Latest News & Announcements of the Industry Talk1
中国图象图形学学会CSIG
0+阅读 · 2021年7月28日
Transferring Knowledge across Learning Processes
CreateAMind
29+阅读 · 2019年5月18日
Unsupervised Learning via Meta-Learning
CreateAMind
43+阅读 · 2019年1月3日
A Technical Overview of AI & ML in 2018 & Trends for 2019
待字闺中
18+阅读 · 2018年12月24日
disentangled-representation-papers
CreateAMind
26+阅读 · 2018年9月12日
可解释的CNN
CreateAMind
17+阅读 · 2017年10月5日
相关基金
国家自然科学基金
0+阅读 · 2015年12月31日
国家自然科学基金
2+阅读 · 2012年12月31日
国家自然科学基金
0+阅读 · 2012年12月31日
国家自然科学基金
1+阅读 · 2012年12月31日
国家自然科学基金
0+阅读 · 2012年12月31日
国家自然科学基金
0+阅读 · 2012年12月31日
国家自然科学基金
0+阅读 · 2011年12月31日
国家自然科学基金
0+阅读 · 2011年12月31日
国家自然科学基金
0+阅读 · 2008年12月31日
Top
微信扫码咨询专知VIP会员