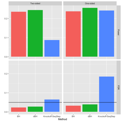
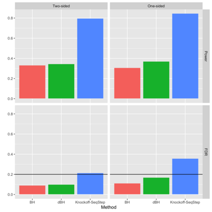
Online controlled experiments (also known as A/B Testing) have been viewed as a golden standard for large data-driven companies since the last few decades. The most common A/B testing framework adopted by many companies use "average treatment effect" (ATE) as statistics. However, it remains a difficult problem for companies to improve the power of detecting ATE while controlling "false discovery rate" (FDR) at a predetermined level. One of the most popular FDR-control algorithms is BH method, but BH method is only known to control FDR under restrictive positive dependence assumptions with a conservative bound. In this paper, we propose statistical methods that can systematically and accurately identify ATE, and demonstrate how they can work robustly with controlled low FDR but a higher power using both simulation and real-world experimentation data. Moreover, we discuss the scalability problem in detail and offer comparison of our paradigm to other more recent FDR control methods, e.g., knockoff, AdaPT procedure, etc.


翻译:自过去几十年以来,对大型数据驱动公司来说,在线控制实验(又称A/B测试)一直被视为一个黄金标准。许多公司采用的最常见A/B测试框架使用“平均处理效果”作为统计数据。然而,对于公司来说,在预先控制“假发现率”的同时,提高检测ATE的能力仍然是一个困难的问题。最受欢迎的FDR控制算法之一是BH方法,但BH方法只知道在限制性的正面依赖假设下,以保守约束控制FDR。在本文件中,我们提出了能够系统和准确地识别ATE的统计方法,并表明它们如何用模拟和现实实验数据与受控的低FDR(平均处理效果)进行强有力的工作,但能以更高的功率进行模拟和现实实验数据。此外,我们详细讨论了可扩缩性问题,并将我们的范式与其他最新的FDR控制方法(如敲门、ADPT程序等)进行比较。

0
下载
关闭预览

相关内容

专知会员服务
54+阅读 · 2020年9月7日
Linux导论,Introduction to Linux,96页ppt
专知会员服务
82+阅读 · 2020年7月26日
Keras François Chollet 《Deep Learning with Python 》, 386页pdf
专知会员服务
163+阅读 · 2019年10月12日
强化学习最新教程,17页pdf
专知会员服务
182+阅读 · 2019年10月11日
[综述]深度学习下的场景文本检测与识别
专知会员服务
78+阅读 · 2019年10月10日
【SIGGRAPH2019】TensorFlow 2.0深度学习计算机图形学应用
专知会员服务
41+阅读 · 2019年10月9日
最新BERT相关论文清单,BERT-related Papers
专知会员服务
53+阅读 · 2019年9月29日
强化学习三篇论文 避免遗忘等
CreateAMind
20+阅读 · 2019年5月24日
Hierarchically Structured Meta-learning
CreateAMind
27+阅读 · 2019年5月22日
强化学习的Unsupervised Meta-Learning
CreateAMind
18+阅读 · 2019年1月7日
Unsupervised Learning via Meta-Learning
CreateAMind
43+阅读 · 2019年1月3日
meta learning 17年:MAML SNAIL
CreateAMind
11+阅读 · 2019年1月2日
A Technical Overview of AI & ML in 2018 & Trends for 2019
待字闺中
18+阅读 · 2018年12月24日
Disentangled的假设的探讨
CreateAMind
9+阅读 · 2018年12月10日
disentangled-representation-papers
CreateAMind
26+阅读 · 2018年9月12日
Hierarchical Disentangled Representations
CreateAMind
4+阅读 · 2018年4月15日
【学习】Hierarchical Softmax
机器学习研究会
4+阅读 · 2017年8月6日
Arxiv
7+阅读 · 2020年10月9日
Arxiv
3+阅读 · 2016年2月24日
VIP会员
相关资讯
强化学习三篇论文 避免遗忘等
CreateAMind
20+阅读 · 2019年5月24日
Hierarchically Structured Meta-learning
CreateAMind
27+阅读 · 2019年5月22日
强化学习的Unsupervised Meta-Learning
CreateAMind
18+阅读 · 2019年1月7日
Unsupervised Learning via Meta-Learning
CreateAMind
43+阅读 · 2019年1月3日
meta learning 17年:MAML SNAIL
CreateAMind
11+阅读 · 2019年1月2日
A Technical Overview of AI & ML in 2018 & Trends for 2019
待字闺中
18+阅读 · 2018年12月24日
Disentangled的假设的探讨
CreateAMind
9+阅读 · 2018年12月10日
disentangled-representation-papers
CreateAMind
26+阅读 · 2018年9月12日
Hierarchical Disentangled Representations
CreateAMind
4+阅读 · 2018年4月15日
【学习】Hierarchical Softmax
机器学习研究会
4+阅读 · 2017年8月6日
Top
微信扫码咨询专知VIP会员