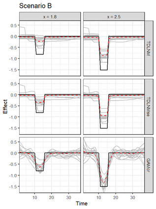
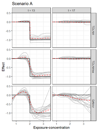
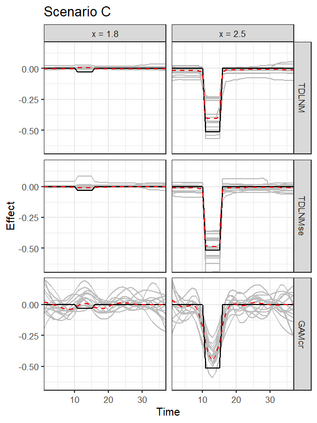
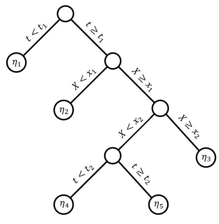
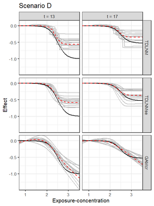
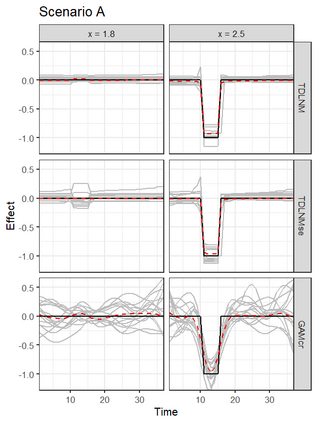
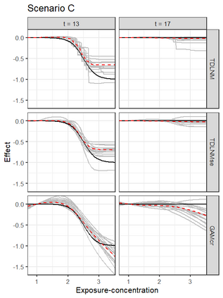
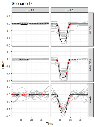
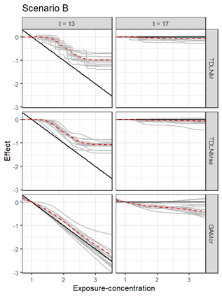
In studies of maternal exposure to air pollution a children's health outcome is regressed on exposures observed during pregnancy. The distributed lag nonlinear model (DLNM) is a statistical method commonly implemented to estimate an exposure-time-response function when it is postulated the exposure effect is nonlinear. Previous implementations of the DLNM estimate an exposure-time-response surface parameterized with a bivariate basis expansion. However, basis functions such as splines assume smoothness across the entire exposure-time-response surface, which may be unrealistic in settings where the exposure is associated with the outcome only in a specific time window. We propose a framework for estimating the DLNM based on Bayesian additive regression trees. Our method operates using a set of regression trees that each assume piecewise constant relationships across the exposure-time space. In a simulation, we show that our model outperforms spline-based models when the exposure-time surface is not smooth, while both methods perform similarly in settings where the true surface is smooth. Importantly, the proposed approach is lower variance and more precisely identifies critical windows during which exposure is associated with a future health outcome. We apply our method to estimate the association between maternal exposure to PM$_{2.5}$ and birth weight in a Colorado USA birth cohort.


翻译:在母亲接触空气污染的研究中,在怀孕期间观察到的接触情况中,儿童的健康结果会下降。分布式滞后非线性模型(DLNM)是一种统计方法,通常用于估算假定接触效应时的暴露时间反应功能。DLNM以前的实施估计了接触时间反应表面参数,以双轨基扩展为基础。但是,样条等基本功能在整个接触时间反应表面中都表现出平稳,这在接触仅与特定时间窗口中的结果有关的情况下可能是不现实的。我们建议了一个框架,用于估算基于贝叶西亚累加回归树的DLNM值。我们的方法使用一套回归树来操作,每棵树都假定在接触时间空间的接触持续关系是非线性。在模拟中,我们显示我们的模型在接触时间表不均匀时优于样条基模型,而这两种方法在真实表面平坦的环境中都表现得不相近。建议的方法是低差异,更准确地确定关键窗口,在接触期间以Bayesar Reclimtial 与未来生育结果之间。我们采用的方法。

0
下载
关闭预览

相关内容

【干货书】机器学习速查手册,135页pdf
专知会员服务
127+阅读 · 2020年11月20日
Python分布式计算,171页pdf,Distributed Computing with Python
专知会员服务
108+阅读 · 2020年5月3日
《DeepGCNs: Making GCNs Go as Deep as CNNs》
专知会员服务
31+阅读 · 2019年10月17日
Hierarchically Structured Meta-learning
CreateAMind
27+阅读 · 2019年5月22日
Transferring Knowledge across Learning Processes
CreateAMind
29+阅读 · 2019年5月18日
Call for Participation: Shared Tasks in NLPCC 2019
中国计算机学会
5+阅读 · 2019年3月22日
A Technical Overview of AI & ML in 2018 & Trends for 2019
待字闺中
18+阅读 · 2018年12月24日
Disentangled的假设的探讨
CreateAMind
9+阅读 · 2018年12月10日
disentangled-representation-papers
CreateAMind
26+阅读 · 2018年9月12日
Hierarchical Disentangled Representations
CreateAMind
4+阅读 · 2018年4月15日
【推荐】用Python/OpenCV实现增强现实
机器学习研究会
15+阅读 · 2017年11月16日
【推荐】SVM实例教程
机器学习研究会
17+阅读 · 2017年8月26日
【学习】Hierarchical Softmax
机器学习研究会
4+阅读 · 2017年8月6日
Arxiv
0+阅读 · 2021年2月12日
Arxiv
0+阅读 · 2021年2月11日
Arxiv
0+阅读 · 2021年2月11日
VIP会员
相关VIP内容
【干货书】机器学习速查手册,135页pdf
专知会员服务
127+阅读 · 2020年11月20日
Python分布式计算,171页pdf,Distributed Computing with Python
专知会员服务
108+阅读 · 2020年5月3日
《DeepGCNs: Making GCNs Go as Deep as CNNs》
专知会员服务
31+阅读 · 2019年10月17日
相关资讯
Hierarchically Structured Meta-learning
CreateAMind
27+阅读 · 2019年5月22日
Transferring Knowledge across Learning Processes
CreateAMind
29+阅读 · 2019年5月18日
Call for Participation: Shared Tasks in NLPCC 2019
中国计算机学会
5+阅读 · 2019年3月22日
A Technical Overview of AI & ML in 2018 & Trends for 2019
待字闺中
18+阅读 · 2018年12月24日
Disentangled的假设的探讨
CreateAMind
9+阅读 · 2018年12月10日
disentangled-representation-papers
CreateAMind
26+阅读 · 2018年9月12日
Hierarchical Disentangled Representations
CreateAMind
4+阅读 · 2018年4月15日
【推荐】用Python/OpenCV实现增强现实
机器学习研究会
15+阅读 · 2017年11月16日
【推荐】SVM实例教程
机器学习研究会
17+阅读 · 2017年8月26日
【学习】Hierarchical Softmax
机器学习研究会
4+阅读 · 2017年8月6日
Top
微信扫码咨询专知VIP会员