54.53 FPS!基于实例分割和注意力投票的多车道线检测

2020 年 3 月 16 日 CVer

点击上方“CVer”,选择加"星标"或“置顶”

重磅干货,第一时间送达

本文授权转载自:AI深度视线

精彩内容

本文提出了一种新颖的多车道线检测解决方案,该解决方案在准确性和速度方面均优于最新方法。为此,我们还提供了一个与其他基准数据集相比更直观的标注方案的数据集。使用我们的方法,能够以54.53 FPS(平均)的速度获得99.87%的车道线分割精度


Multi-lane Detection Using Instance Segmentation and Attentive Voting



链接:https://arxiv.org/abs/2001.00236


1
摘要

自动驾驶正成为领先的工业研究领域之一,许多汽车公司提出了半自动驾驶解决方案。其中,车道线检测是至关重要的驾驶员辅助功能之一,在自动驾驶汽车的决策过程中起着至关重要的作用。在本文中,我们提出了一种新颖的多车道线检测解决方案,该解决方案在准确性和速度方面均优于最新方法。为此,我们还提供了一个与其他基准数据集相比更直观的标注方案的数据集。使用我们的方法能够以54.53 FPS(平均)的速度获得99.87%的车道线分割精度。


主要思路


1. 车道分割


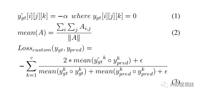
遵循基于CNN的方法,在隐蔽单元中创建具有大步卷积和大步反卷积并带有relu 激活的车道分割网络,大步卷积用于增加感受野。并提出定制的soft dice loss以通过修改地面来惩罚误报Loss。损失函数如下所示:


显示了用作评估指标的准确性,损失图和softmax损失。下表显示了车道分段网络架构。我们利用了车道标记大小的上限,编码器的最后一层在原始输入上捕获了63x63 pixel2的接收场。

2. 实例检测和鸟瞰图

 使用定制的广度优先搜索来检测车道分段网络输出中车道标记的所有不同实例。然后应用透视变换,以简化聚类和曲线拟合中的投票过程,因为鸟瞰图减少了多项式的次数。 这很重要,因为在许多情况下,某些车道标记(例如,道路边界上的车道标记)只能获得几个像素,而更高次多项式需要成比例地容纳更多像素; 因此,即使实例像素数量较少,较低次数的多项式也有助于执行更好的曲线拟合。

 

3. 无监督的专注投票和曲线拟合

在鸟瞰图中,所有实例都会根据实例的坡度和空间位置投票选出最接近的实例。实例的坡度和空间定位(即车道标记)被用作空间关注度,以投票为其实例的最接近车道标记,该车道标记属于同一车道分隔线


上图通过给出一对车道标记实例之间的专注投票示例,显示了如何使用注意力来计算投票。 Li代表车道标记实例。 →Limin→Limax分别是车道标记Li的最底像素和最顶像素。通过取d1和d2的总和来计算两个车道构成LiLj之间的投票(LiLj),其中di(对于图4中的i∈{1,2})表示点P的垂直距离,使用法线方程将线拟合到车道标记Li的像素上。如果该投票小于某个阈值η,则这两个实例属于同一车道划分器。这种无监督的聚类方法可以解决车道标记L1和L2的一些误例。通过认真投票将属于同一车道划分器的实例分类为车道标记像素,将其正确分组在一起,这是预期结果。二阶多项式的曲线拟合是在每个实例群集的同一鸟瞰空间中执行的,并将此输出投影回原始空间可提供所需的结果。

 

实验和结果

  • 推断时间计算



  • 视频结果



  • Baseline算法对比结果Towards End-to-End Lane Detection: an Instance Segmentation Approach2018

推荐阅读


2020年AI算法岗求职群来了(含准备攻略、面试经验、内推和学习资料等)


重磅!CVer-车道线检测 交流群已成立


扫码添加CVer助手,可申请加入CVer-车道线检测 微信交流


一定要备注:研究方向+地点+学校/公司+昵称(如车道线检测+上海+上交+卡卡),根据格式备注,可更快被通过且邀请进群

▲长按加群


▲长按关注我们

麻烦给我一个在看!

登录查看更多
1

相关内容

【CVPR2020】时序分组注意力视频超分
专知会员服务
31+阅读 · 2020年7月1日
3D目标检测进展综述
专知会员服务
193+阅读 · 2020年4月24日
专知会员服务
32+阅读 · 2020年4月24日
ICCV 2019 | 精确的端到端的弱监督目标检测网络
AI科技评论
11+阅读 · 2019年12月9日
CVPR 2019:精确目标检测的不确定边界框回归
AI科技评论
13+阅读 · 2019年9月16日
【泡泡点云时空】基于分割方法的物体六维姿态估计
泡泡机器人SLAM
18+阅读 · 2019年9月15日
【泡泡图灵智库】用于单目深度估计的深度有序回归网络
基于几何特征的激光雷达地面点云分割
泡泡机器人SLAM
15+阅读 · 2018年4月1日
S4Net: Single Stage Salient-Instance Segmentation
Arxiv
10+阅读 · 2019年4月10日
DPOD: Dense 6D Pose Object Detector in RGB images
Arxiv
5+阅读 · 2019年2月28日
SlowFast Networks for Video Recognition
Arxiv
19+阅读 · 2018年12月10日
Arxiv
5+阅读 · 2018年5月16日
Arxiv
5+阅读 · 2018年4月17日
Arxiv
3+阅读 · 2018年3月5日
Arxiv
4+阅读 · 2017年11月14日
VIP会员
相关论文
S4Net: Single Stage Salient-Instance Segmentation
Arxiv
10+阅读 · 2019年4月10日
DPOD: Dense 6D Pose Object Detector in RGB images
Arxiv
5+阅读 · 2019年2月28日
SlowFast Networks for Video Recognition
Arxiv
19+阅读 · 2018年12月10日
Arxiv
5+阅读 · 2018年5月16日
Arxiv
5+阅读 · 2018年4月17日
Arxiv
3+阅读 · 2018年3月5日
Arxiv
4+阅读 · 2017年11月14日
Top
微信扫码咨询专知VIP会员