人脸识别损失函数综述(附开源实现)

2019 年 3 月 12 日 极市平台

加入极市专业CV交流群,与6000+来自腾讯,华为,百度,北大,清华,中科院等名企名校视觉开发者互动交流!更有机会与李开复老师等大牛群内互动!

同时提供每月大咖直播分享、真实项目需求对接、干货资讯汇总,行业技术交流点击文末“阅读原文”立刻申请入群~


作者 | Slumbers

来源 | https://zhuanlan.zhihu.com/p/51324547


Softmax

softmax是最常见的人脸识别函数,其原理是去掉最后的分类层,作为解特征网络导出特征向量用于人脸识别。softmax训练的时候收敛得很快,但是精确度一般达到0.9左右就不会再上升了,一方面是作为分类网络,softmax不能像metric learning一样显式的优化类间和类内距离,所以性能不会特别好,另外,人脸识别的关键在于得到泛化能力强的feature,与分类能力并不是完全等价的。



公式中N是batch size的大小,n是类别数目。如果训练进行了停滞,可以采用挑选hard sample(即那个些预测错误但是预测值较高的样本)的办法进行帮助训练


Triplet Loss

Triplet loss属于Metric Learning, 相比起softmax, 它可以方便地训练大规模数据集,不受显存的限制。缺点是过于关注局部,导致难以训练且收敛时间长



这里提一下Metric Learning的概念,它是根据不同的任务来自主学习出针对某个特定任务的度量距离函数。通过计算两张图片之间的相似度,使得输入图片被归入到相似度大的图片类别中去。通常的目标是使同类样本之间的距离尽可能缩小,不同类样本之间的距离尽可能放大。


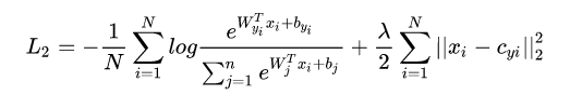
Center Loss

首先我们看一张图:



可以看到,在separable features中,类内距离有的时候甚至是比内间距离要大的,这也是上问题到softmax效果不好的原因之一,它具备分类能力但是不具备metric learning的特性,没法压缩同一类别。在这个基础上,center loss被提出来,用于压缩同一类别。center loss的核心是,为每一个类别提供一个类别中心,最小化每个样本与该中心的距离:


左边是softmax, 右边则是约束各个样本到样本中心的距离。


L-Softmax

cos函数在(0,π)内是单调递减的,乘上正整数m后内积会减小,这样可以加大类间的差别,如图所示:



由于L-softmax有一个更加难的实现目标,所以说它更能避免过拟合。同时L-softmax不仅在分类问题上有优势,同样在识别问题上也有优势,因为它使得类内的距离更加的紧凑。 通过控制m的大小,调整类间距离。m越大,类间距离就越大,类内更加紧凑。


不同m带来的分类效果


SphereFace( A-softmax)



SphereFace是在softmax的基础上将权重归一化,即使得  。它与前面提到的L-sofrmax最大的区别在于SphereFace将W权重归一化了。L-Softmax会同时从角度和权重长度上区分不同类别,而SphereFace只从角度上去区分不同类别,在数据集大小固定的条件下,L-softmax的精确度可能不如sphereFace。


在最近读的一篇论文https://arxiv.org/abs/1807.11649中,商汤认为A-Softmax使用在clean dataset的效果比之前描述的各种loss要好,但是在噪声极大的数据分布中,表现甚至不如Center Loss和Softmax。


CosFace( LMSL: Large Margin Cosine Loss)



CosFace的思想和SphereFace( A-softmax)的思想接近,其中主要做了以下三点的改进:

  • loss的形式做了稍微的改变,将超参数m由乘法运算变成了减法运算

  • 不仅对权重进行了正则化,还对特征进行了正则化

  • 再乘上一个scale参数,超球面过小时,分类映射到超球面上不好分类,这个scale参数可以扩大超球面体积,帮助分类


如下图所示,A-softmax存在一个问题,它的决策边界会随着  的变化而变化,当  为0的时候,margin=0, 而CosFace(即LMCL)克服了这个缺点,两个类别之间有一个明确的决策边界(margin>0), 相对来说有更好的鲁棒性


各大损失函数的决策边界


决策边界

这里插播一下决策边界( Decision Boundaries)的概念,它表示的是在需要分类的数据中,如何区分不同类别的边界。



那么这么决策边界怎么计算呢,以二分类为例做一个简单说明。对于二分类而言,分类边界就是样本属于两个类别的概率相等。以softmax来距离,假设某个样属于类别1的概率是  中log函数的输入,那么属于类别2的概率只是将log函数输入的分子换成类别2而已,分母是不变的,又因为以e为底的指数函数又是递增函数,所以直接让两个类别的指数相等就能得到softmax的分类边界函数:


ArcFace

Arcface的思想和CosFace类似,主要区别是将m放入了cos中,角度距离比余弦距离对角度的影响更加直接:



论文中提供了大量对照实验:



开源实现

想要研究softmax和triplet loss,可以参照google facenet的开源实现:

https://github.com/davidsandberg/facenet


想要研究各种ArcFace、CosineFace等,可以参照deepinsight洞见实验室的开源代码:

https://github.com/deepinsight/insightface


从在数据集表现上来说,ArcFace优于其他几种loss, 著名的megaface赛事,在很长一段时间都停留在91%左右,在洞见实验室使用ArcFace提交后,准确率哗哗就提到了98%,之后再刷的团队也大同小异,多使用ArcFace, CosineFace等损失函数。

这两个开源算法我也都跑过,粗略地比较了一下,可以见insightface和facenet效果+性能比较:

https://zhuanlan.zhihu.com/p/52560499


参考文献

https://zhuanlan.zhihu.com/p/34717205

https://blog.csdn.net/u014380165/article/details/80645489

https://zhuanlan.zhihu.com/p/38235452

https://arxiv.org/abs/1801.07698




*延伸阅读

人脸识别技术全面总结:从传统方法到深度学习

人脸识别|人证比对《DocFace+: ID Document to Selfie Matching》论文解读(附代码)

从最优化的角度看待 Softmax 损失函数


小Tips:如何查看和检索历史文章?

有不少小伙伴提问如何号内搜文章,其实很简单,在“极市平台”公众号后台菜单点击极市干货-历史文章,或直接搜索“极市平台”公众号查看全部消息,即可在如下搜索框查找往期文章哦~



ps.可以输入CVPR2019/目标检测/语义分割等等,快去探索宝藏吧~~


每月大咖直播分享、真实项目需求对接、干货资讯汇总,行业技术交流点击左下角“阅读原文”立刻申请入群~

觉得有用麻烦给个好看啦~  

登录查看更多
29

相关内容

专知会员服务
50+阅读 · 2020年6月14日
【新书】Pro 机器学习算法Python实现,379页pdf
专知会员服务
204+阅读 · 2020年2月11日
NLP基础任务:文本分类近年发展汇总,68页超详细解析
专知会员服务
58+阅读 · 2020年1月3日
2019->2020必看的十篇「深度学习领域综述」论文
专知会员服务
275+阅读 · 2020年1月1日
注意力机制模型最新综述
专知会员服务
271+阅读 · 2019年10月20日
中文知识图谱构建技术以及应用的综述
专知会员服务
317+阅读 · 2019年10月19日
港中文开源基于PyTorch的多任务人脸识别框架
极市平台
17+阅读 · 2019年8月31日
度量学习中的pair-based loss
极市平台
65+阅读 · 2019年7月17日
CVPR2019 | ArcFace:构建高效的人脸识别系统(已开源)
极市平台
11+阅读 · 2019年5月28日
再谈人脸识别损失函数综述
人工智能前沿讲习班
14+阅读 · 2019年5月7日
判别特征的学习方法用于人脸识别(文末源码)
计算机视觉战队
7+阅读 · 2019年3月28日
CVPR2019目标检测方法进展综述
极市平台
45+阅读 · 2019年3月20日
详解常见的损失函数
七月在线实验室
20+阅读 · 2018年7月12日
中国团以98%精度夺得MegaFace人脸识别冠军(开源)
全球人工智能
5+阅读 · 2018年3月12日
机器学习(15)之支持向量机原理(一)线性支持向量机
机器学习算法与Python学习
6+阅读 · 2017年9月1日
A Survey on Bayesian Deep Learning
Arxiv
64+阅读 · 2020年7月2日
Accelerated Methods for Deep Reinforcement Learning
Arxiv
6+阅读 · 2019年1月10日
Parsimonious Bayesian deep networks
Arxiv
5+阅读 · 2018年10月17日
Deep Learning for Generic Object Detection: A Survey
Arxiv
14+阅读 · 2018年9月6日
Arxiv
8+阅读 · 2018年5月15日
Arxiv
17+阅读 · 2018年4月2日
VIP会员
相关VIP内容
专知会员服务
50+阅读 · 2020年6月14日
【新书】Pro 机器学习算法Python实现,379页pdf
专知会员服务
204+阅读 · 2020年2月11日
NLP基础任务:文本分类近年发展汇总,68页超详细解析
专知会员服务
58+阅读 · 2020年1月3日
2019->2020必看的十篇「深度学习领域综述」论文
专知会员服务
275+阅读 · 2020年1月1日
注意力机制模型最新综述
专知会员服务
271+阅读 · 2019年10月20日
中文知识图谱构建技术以及应用的综述
专知会员服务
317+阅读 · 2019年10月19日
相关资讯
港中文开源基于PyTorch的多任务人脸识别框架
极市平台
17+阅读 · 2019年8月31日
度量学习中的pair-based loss
极市平台
65+阅读 · 2019年7月17日
CVPR2019 | ArcFace:构建高效的人脸识别系统(已开源)
极市平台
11+阅读 · 2019年5月28日
再谈人脸识别损失函数综述
人工智能前沿讲习班
14+阅读 · 2019年5月7日
判别特征的学习方法用于人脸识别(文末源码)
计算机视觉战队
7+阅读 · 2019年3月28日
CVPR2019目标检测方法进展综述
极市平台
45+阅读 · 2019年3月20日
详解常见的损失函数
七月在线实验室
20+阅读 · 2018年7月12日
中国团以98%精度夺得MegaFace人脸识别冠军(开源)
全球人工智能
5+阅读 · 2018年3月12日
机器学习(15)之支持向量机原理(一)线性支持向量机
机器学习算法与Python学习
6+阅读 · 2017年9月1日
相关论文
A Survey on Bayesian Deep Learning
Arxiv
64+阅读 · 2020年7月2日
Accelerated Methods for Deep Reinforcement Learning
Arxiv
6+阅读 · 2019年1月10日
Parsimonious Bayesian deep networks
Arxiv
5+阅读 · 2018年10月17日
Deep Learning for Generic Object Detection: A Survey
Arxiv
14+阅读 · 2018年9月6日
Arxiv
8+阅读 · 2018年5月15日
Arxiv
17+阅读 · 2018年4月2日
Top
微信扫码咨询专知VIP会员