判别特征的学习方法用于人脸识别(文末源码)

2019 年 3 月 28 日 计算机视觉战队


最近因为比较繁忙,没有及时在“计算机视觉战队”平台更新,在此向所有关注的同学说一声抱歉!希望这段日子大家依然科研顺利,生活愉快,嘿嘿!

今天我来给大家讲讲人脸识别的一些小事,希望您能有些收获,谢谢!

主要内容

卷积神经网络(CNN)已广泛地用于计算机视觉领域,显著地提高了先进的方法。在大多数的CNNs中,Softmax损失函数被作为监督信号去训练深度模型。

为了增强深度学习特征的判别力,提出一种新的监督信号,称为中心损失,用于人脸识别任务。中心损失同时学习每一类深度特征的中心,并惩罚深度特征和它们相对应类别中心之间的距离。更重要的是,证明了提出的中心损失函数是可以训练的且非常容易在CNNs中优化。

Softmax损失和中心损失的联合监督,可以训练一个鲁棒的CNNs去获得两个关键学习目标的深度特征,尽可能的使类间分散和类内紧凑,在人脸识别中是非常必要的。提出的CNNs(联合监督)在一些重要的人脸基准数据集中(LFWYTFMegaFace)都可以获得很好的结果。

贡 献


  • 提出一个中心损失函数去最小化同类深度特征之间的距离。这也是第一次尝试去使用这样一个损失函数去协助CNNs的监督学习,在联合监督下,高判别力的特征被获得去鲁棒的识别人脸;

  • 证明了提出的损失函数在CNNs中很容易去实现,本文的CNN直接通过标准的SGD优化;

  • 做了广泛的实验,在基准数据集LFWYTFMegaFace上进行实验(其中MegaFace是最大的公共领域人脸数据库,有100万人脸去识别)。


主要方法

卷积神经网络的典型框架

在通常的目标,场景或行为识别中,测试样本可能的类别是在训练集内的,这也被称为闭集识别(close-set identification)。因此,Softmax损失可以直接解决分类问题。以这种方式,标签预测(最后全连接层)像一个线性分类器,并且深度学习的特征很容易被分离。

但是对于人脸识别任务,深度学习特征不仅需要可分离还需要判别性。因为它是不切实际的预收集所有可能的测试身份去训练,在CNN中的标签预测并不总是适用。深度学习特征被要求具有判别性,并且在没有标签预测情况下足够识别新的没有出现的类别。判别特征可以通过近邻(NN)或K最近邻(K-NN)算法很好的分类,其不需依赖标签预测。然而,Softmax损失只支持特征的分离,由此产生的特征是不够有效地人脸识别。

新技术就提出一个新的损失函数,称为中心损失,有效地增强了深度学习特征的判别力。它学习每类深度特征的一个中心,在训练过程中,同时更新中心和最小化深度特征和相对应类别中心的距离。直观地,Softmax损失使不同类别特征保持分离,中心损失有效地将同一类的深度特征拉到它们的中心。联合监督,不仅类间特征的差异增大,而且类内特征的变化减少。

实  验

深度特征分布,(a)是训练集,(b)是测试集

从上图中可以观察到:(1)在softmax损失的监督下,深度学习特征可分离;(2)深度特征判别性不够,由于它们仍然表现出显著的类内变化。

因此不适用直接使用这些特征去识别。

中心损失

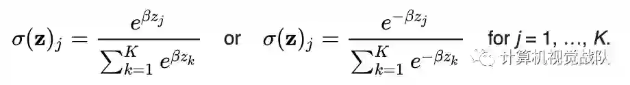
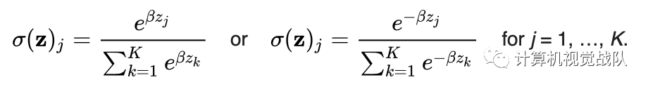
如何建立有效的损失函数提高深度学习特征的辨别力?最小化类内变化,同时保持不同类别的特征分离是关键。所以提出中心损失函数,如下:

为了解决这个问题,本文做了两个必要的修改。第一,基于mini-batch更新中心,在每次迭代中,通过平均相对应类别的特征去计算中心,这样有些中心就不必更新;第二,为了避免一些贴错标签样本的扰动,使用了一个标量a去控制中心的学习率。

其中如果condition满足则:

反之

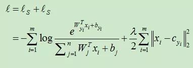
a被限制在[0,1],采用联合监督去训练CNNs用于判别特征学习。公式如下:

公式可以通过标准的SGD优化,λ是为了平衡两个损失函数。

之后,还进行了实验来说明λ的影响分布。图3显示了不同的λ导致不同的深度特征分布。适当的λ,深度特征的分类能力得到显著增强。

讨  论

1) 联合监督的必要性

如果只使用Softmax损失作为监控信号,导致深度学习特征将包含大的类内变化。简单的使用其中任何一个不能实现判别性特征学习,因此有必要将它们结合起来,共同监督CNNs,也通过实验证实。

2) 对比损失与三重损失的比较

最近,对比损失和三重损失也提出了去增强深度学习人脸特征的分类能力。然而,对比损失和三重损失遭受数据扩增,从训练集构成样本对或三重样本。新技术的中心损失不需要复杂的重组样本。

因此,学习新技术的CNNs是更有效和易于实施。此外,新技术的损失函数的目标更直接的去学习类内紧凑的目标,这是非常有益于判别性特征学习。

实验结果

LFWYTF数据集上的结果

不同方法的识别率在MegaFace数据集

总  结

新技术提出一种新的损失函数,称为中心损失。通过结合中心损失和Softmax损失去联合监督CNNs的学习,深度学习特征的判别力可以被很大的增强用于鲁棒的人脸识别。大量的实验在一些大规模的人脸基准进行,并证明了所提方法的有效性。


文章最后的提取密码:a0w2


如果想加入我们“计算机视觉战队”,请扫二维码加入学习群。计算机视觉战队主要涉及机器学习、深度学习等领域,由来自于各校的硕博研究生组成的团队,主要致力于人脸检测、人脸识别,多目标检测、目标跟踪、图像分割等研究方向。

登录查看更多
7

相关内容

【CVPR2020-北京大学】自适应间隔损失的提升小样本学习
专知会员服务
85+阅读 · 2020年6月9日
专知会员服务
164+阅读 · 2020年4月21日
【CVPR2020-旷视】DPGN:分布传播图网络的小样本学习
专知会员服务
28+阅读 · 2020年4月1日
近期必读的9篇 CVPR 2019【视觉目标跟踪】相关论文和代码
局部人脸识别的动态特征匹配(文末附文章及源码地址)
计算机视觉战队
9+阅读 · 2019年9月1日
CVPR 19系列2 | 强判别能力的深度人脸识别(文末附有源码)
TPAMI 2019 | 鲁棒RGB-D人脸识别
计算机视觉life
11+阅读 · 2019年6月8日
再谈人脸识别损失函数综述
人工智能前沿讲习班
14+阅读 · 2019年5月7日
人脸专集3 | 人脸关键点检测(下)—文末源码
计算机视觉战队
19+阅读 · 2019年4月8日
人脸识别研究取得进展
中科院之声
4+阅读 · 2019年3月26日
人脸识别损失函数综述(附开源实现)
极市平台
29+阅读 · 2019年3月12日
Arxiv
8+阅读 · 2019年2月15日
Few Shot Learning with Simplex
Arxiv
5+阅读 · 2018年7月27日
Arxiv
6+阅读 · 2018年3月29日
Arxiv
4+阅读 · 2018年3月19日
Arxiv
7+阅读 · 2018年1月10日
Arxiv
3+阅读 · 2017年7月6日
VIP会员
相关资讯
局部人脸识别的动态特征匹配(文末附文章及源码地址)
计算机视觉战队
9+阅读 · 2019年9月1日
CVPR 19系列2 | 强判别能力的深度人脸识别(文末附有源码)
TPAMI 2019 | 鲁棒RGB-D人脸识别
计算机视觉life
11+阅读 · 2019年6月8日
再谈人脸识别损失函数综述
人工智能前沿讲习班
14+阅读 · 2019年5月7日
人脸专集3 | 人脸关键点检测(下)—文末源码
计算机视觉战队
19+阅读 · 2019年4月8日
人脸识别研究取得进展
中科院之声
4+阅读 · 2019年3月26日
人脸识别损失函数综述(附开源实现)
极市平台
29+阅读 · 2019年3月12日
相关论文
Arxiv
8+阅读 · 2019年2月15日
Few Shot Learning with Simplex
Arxiv
5+阅读 · 2018年7月27日
Arxiv
6+阅读 · 2018年3月29日
Arxiv
4+阅读 · 2018年3月19日
Arxiv
7+阅读 · 2018年1月10日
Arxiv
3+阅读 · 2017年7月6日
Top
微信扫码咨询专知VIP会员