为什么说静止质量和运动质量的说法是错的——兼论相对论4-矢量形式表述

2019 年 8 月 17 日 中科院物理所

狭义相对论的核心是洛伦兹变换


撰文 | 曹则贤中国科学院物理研究所)


1

引  子  


笔者自己在中国科技大学上学时所学的相对论,是《电动力学》课本后面不知所云的一章。1987年笔者读研时当助教,首开记录的辅导课竟然是84级科大少年班的电动力学。同学们是神童,但那课本莫名其妙,主讲教师对相对论也茫然无知。各位看官,你可以想象我这个助教上相对论习题课时得有多么煎熬这段经历给我幼小的心灵留下了难以愈合的创伤(我身高至今不足1米8),我那时也是黄口才退、乳臭刚干啊。那些心灵的创伤时常在夜深人静时猖狂作痛,让我在接下来的30年里虽然不得不为谋生四处奔波,但总不忘偶尔去读读相对论的原始文献。Galileo, de Pretto, Lorentz, Poincaré, Einstein, Planck, Laue, Pauli, Eddington, Hilbert, Levi-Civita,Dirac (to name just a few)等人的文章连蒙带猜地看了一点,后来的Penrose, Weinberg, Wilczek (to name just a few) 等诺奖得主的书也粗略翻过几页——为此我甚至把自己弄成了爱因斯坦粉丝,连爱因斯坦1924年帮玻色翻译文章从而有了玻色-爱因斯坦统计和玻色-爱因斯坦凝聚(玻色的那个推导引入了化学势的概念且能让人明白为什么光子气的化学势为零)这种小事我都知道呢。我发现,因为相对论太fancy了,太fantastic了,吸引了太多人的关注(据说玛丽莲·梦露同志都和爱因斯坦谈相对论),所以产生了海量的、非常糟糕的介绍文章,也有意无意地带来了大量的误解与讹错。这为人们学习相对论带来了很多麻烦。欲学习相对论,第一要务是防止被外行的文艺化表述给带到沟里。阅读那些相对论创造者的原文,坚持遵循严格的数学表述,或许才是轻松的捷径。


图1. 玛丽莲·梦露与爱因斯坦在讨论相对论


2

关于狭义相对论质能关系的一个误理


狭义相对性要求物理定律相对任何惯性参考框架(inertial reference frames)具有相同的形式。按照这个要求(狭义相对论语境下的postulate理解为要求比理解为公设要恰当一些),狭义相对论有如下结果:一个质量为m, (相对于观察者)速度为v的粒子,其能量为。这样,速度为零时粒子也具有 E=mc2 那么多的能量,这个和此前人们基于以太振动所猜想的结果是一致的。这个公式是相对论的标志性公式。爱因斯坦1905年的推导根据的是粒子自静止被加速到速度v,外力所做的功就是它的动能, ,表达式为两项之差。这个结果可理解粒子运动时的能量为 E= γmc,粒子静止时能量为 E0=mc,两者之差就是动能 Ek=mc2(γ-1) 。普朗克1906年文章认为相对论协变性要求牛顿第二定律为  ,也即粒子动量的定义应修订为  。如果从要求两粒子弹性碰撞在两个相对速度为u的参照框架内满足动量守恒和能量守恒,会发现对于在给定框架内以速度v运动的粒子,合适的动量和动能形式是,P= γmv ,E= γmc2 。


有人根据  和 E= mc就便编故事了。这种观点认为,粒子静止时的能量是 E= m0c,粒子运动时能量是  (这一步已经是错的了),m0是静止质量,而m是运动质量,   。速度越大,粒子的运动质量就越大。更文艺一点的物理学家的表述是,速度越大粒子就越胖。这个对  的诠释发生在狭义相对论出现后不久,始作俑者是Richard C. Tolman, 参见Richard C. Tolman, Non-Newtonian Mechanics, The Mass of a Moving Body, Philosophical Magazine 23, 375–381(1912). 有个Kaufmann 先生宣称他的测量证明了这一点,连爱因斯坦本人都信了。当然,这个误解在相对论之前构造电动力学时就有了,在电动力学里甚至还分为横向运动质量和纵向运动质量。关于这个误解一直有澄清的努力,权威的澄清可阅Lev B. Okun, The Concept of Mass, Physics Today 42(6), 31 (1989), 那里有一些重要文献。拙作《物理学咬文嚼字》011:质量与质量的起源,《物理》,37卷5期,355-358(2008),从质量概念的角度提供了一些说明。


本文对质能关系的误解再补充一些说明,希望能更有说服力一些。1. 请大家注意,表达式  是关于一个质量为m, (相对于观察者)速度为v的粒子的能量,从纯数学的角度来说,它是个 E=E(v) 函数,静止时 E= mc不过就是 E(v=0) 。这个函数的变量始终是速度v,而m只是个参数(para-meter),测量时的旁观者!这个物理图像里就没有函数 m=m(v) 这档子事儿!2. 在更多的相对论内容中,质量m是粒子的特征标签(tag. 如同电荷q),是时空变换庞加莱群的指标(index), 是一个标量(scalar, 0-order tensor), 是洛伦兹变换不变量(invariant)。在所有这些表述里,都明确指出粒子的质量是个有独立人格的量,它不是粒子速度的函数!


现在,请允许我补充一些相对论力学的内容。这些内容会利用粒子质量是标量、是洛伦兹变换不变量的事实。粒子质量是不变量是相对论动力学的基石。


3

相对论动力学的4-矢量表述


狭义相对论中,时间和空间坐标合并组成了时空的4-矢量 R=(x, y, z, ct)  ,其内积定义为 R1·R2=x1x2+y1y2+z1z2-c2t1t。4-矢量内积是洛伦兹变换不变量,即经过变换R'=(u)R 变换后,内积不变, R'1·R'2=R1·R。洛伦兹变换(θ)具体地可表示为


ct'=ct coshθ-x sinhθ

x'=-csinhθ+x coshθ

y'=y

z'=z


其中 tanhθ=u/c。这个变换和空间中的转动很相似,闵可夫斯基称之为赝转动(pseudorotation)


洛伦兹变换是狭义相对论的核心,相对性原理就体现在物理规律的洛伦兹变换不变性上。狭义相对论语境下的物理学应该使用时空中的标量、矢量、高阶张量来构造独立于惯性参照框架的不变量。谈及狭义相对论的动力学,应严格使用洛伦兹变换来理解相应的内容。太多的误解、错误以及困惑都是由于不坚持原则和不使用严格数学造成的。撇开洛伦兹变换讨论狭义相对论,徒增误解而已


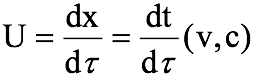
按照闵可夫斯基时空的度规, 

,其中的固有时是个标量,不变量。故用时空的位移4-矢量除以得到的是时空的速度4-矢量,  ,即 U=γ(v)(vx, vy, vz, c) ,满足洛伦兹变换,且内积 U·U=c2 是个不变量,还是个普适的常数!所以说,在时空中,任何事物都以同样的速度4-矢量在运动。注意这里的速度3-矢量 (vx, vy, vz) 是观察者参照框架内看到的物体运动的速度。设想,有两个参照框架S和S',相对速度为u,故变换因子为 tanhθ=u/c ;则S中的粒子速度4-矢量 γ(v)(vx, vy, vz, c) 和S'中的速度4-矢量 γ(v')(c, v'x, v'y, v'z, c) 之间满足洛伦兹变换 γ(v)(vx, vy, vz, c)(u)γ(v')(v'x, v'y, v'z, c) 


由速度4-矢量 U=γ(v)(vx, vy, vz, c) ,可以构造动量4-矢量 P=mγ(v)(vx, vy, vz, c) 。 这样得到的表达式是动量 4-矢量,因为m是个标量。再强调一遍,质量是个粒子的标签,是个不变量!动量4-矢量遵从洛伦兹变换,其内积是洛伦兹变换不变量。有质量粒子在静止的参照框架中 E= mc2 ,故对有质量粒子,任意参照框架下的动量4-矢量满足关系式  ,即 E2=m2c4+p2c。这意思是说,在某参照框架内动量为p的有质量粒子,其能量-动量关系为 E2=m2c4+p2c。这个公式1928年成了狄拉克构造相对论量子力学的出发点。哦,对了,你看相对论量子力学方程中质量m始终是个不变量!


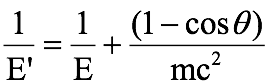
相对论4-矢量形式的表达,给许多问题的理解都带来了方便,过程也更加优雅。就动量4-矢量而言,P·P 是个不变量,当这个不变量内积还是个普适常量的时候,洛伦兹变换的威力就显出来了。对于有质量粒子,P=(p, E/c) ,其中 p=mγ(u)u ,则有 P·P=E2-p2c2=m2c;对于光子,Pγ=(E/c, 0, 0, E/c),Pγ·Pγ=0 。现在考察著名的康普顿散射问题,即光子被电子散射的过程。散射前 Pγ=(E/c, 0, 0, E/c);电子静止,有 Pe=(0, 0, 0, mc);散射后,P'γ= (E'cosθ/c, E'sinθ/c, 0, E'/c,),散射后电子的动量 P'不用显式地解出来。由动量守恒 P'e+P'γ=Pe+Pγ ,有 m2c2=(Pe+Pγ-P'γ,即 m2c2+2Em-2E'm-2EE'(1-cosθ)/c2=m2c,化简得   。未来若知道光能量量子为 E=hc/λ ,此公式可改写为 λ'=λ+λe(1-cosθ) ,其中 λe=h/mc 为电子的康普顿波长。你看,康普顿散射公式就可以这么轻松地得到。在物理学史上,康普顿1923年研究光的电子散射问题时,在光能量量子上又加了动量量子 p=h/λ 的概念,最终导致了1926年光子概念的形成。上述推导绕过了必须假设光子有动量的问题。漂亮!


说了这么多,意思就一个,讨论相对论动力学时,请使用严格的4-矢量形式加洛伦兹变换来讨论。既然有意学物理,那就请养成好的习惯:“图像要清晰,数学要严格!


4

结  语


根据  和 E= mc就编出静止质量、运动质量的故事,是执一点而任意发挥带来的误解,也是对理论发展过程中出现的不正确理解的执着。只要再看看相对论其它部分的内容,就知道质量始终是作为一个不变量出现的——它是个基本物理量,不是运动状态的函数。其实,消除误解,只需往前多跨一步就行。物理学是一个宏大的知识体系,类似电荷、质量这种基础概念,应该放到整个背景上去获得一个一致的、自洽的理解。


本文摘自曹则贤著《相对论-少年版》(科学出版社),预计2019年11月出版


来源:返朴

编辑:重光


近期热门文章Top10

↓ 点击标题即可查看 ↓

1. 如果太阳biu的一声熄灭了,地球上会发生什么事情?

2. 每个摊煎饼的大妈,都是隐藏的流体力学专家

3. 你看的是《长安十二时辰》,我看的却是一部黑科技科普剧

4. 数学的深渊

5. 掉入海底一万米

6. 别人用脚、用声波都能打开瓶盖,为啥有的女生却拧不开?

7. 这是一篇理工男写的口红科普文

8. 声音最大能有多大?

9. 盲人看到的世界真是黑漆漆一片吗?

10. 用过的吸管不要扔,在火上烤一下,隔壁的小孩都...

点此查看以往全部热门文章


登录查看更多
0

相关内容

电动力学(Electrodynamics),电磁现象的经典的动力学理论。通常也称为经典电动力学,电动力学是它的简称。它研究电磁场的基本属性、运动规律以及电磁场和带电物质的相互作用。
【纽约大学】最新《离散数学》笔记,451页pdf
专知会员服务
131+阅读 · 2020年5月26日
从动力学角度看优化算法:GAN的第三个阶段
PaperWeekly
11+阅读 · 2019年5月13日
清华美女学霸数学笔记曝光, 精美程度无与伦比
算法与数学之美
7+阅读 · 2019年3月22日
10000个科学难题 • 制造科学卷
科学出版社
13+阅读 · 2018年11月29日
丘成桐:攻克物理难题的数学大师
科技导报
5+阅读 · 2018年7月23日
一杯咖啡背后的拓扑 | 顾险峰
中国物理学会期刊网
7+阅读 · 2018年2月2日
Viewpoint Estimation-Insights & Model
Arxiv
3+阅读 · 2018年7月3日
Arxiv
3+阅读 · 2018年5月21日
VIP会员
相关资讯
从动力学角度看优化算法:GAN的第三个阶段
PaperWeekly
11+阅读 · 2019年5月13日
清华美女学霸数学笔记曝光, 精美程度无与伦比
算法与数学之美
7+阅读 · 2019年3月22日
10000个科学难题 • 制造科学卷
科学出版社
13+阅读 · 2018年11月29日
丘成桐:攻克物理难题的数学大师
科技导报
5+阅读 · 2018年7月23日
一杯咖啡背后的拓扑 | 顾险峰
中国物理学会期刊网
7+阅读 · 2018年2月2日
Top
微信扫码咨询专知VIP会员