WSDM2022 | 跨领域推荐中的个性化迁移用户兴趣偏好

2021 年 11 月 3 日 机器学习与推荐算法
嘿,记得给“机器学习与推荐算法”添加星标


冷启动推荐一直是推荐系统中一个极具挑战的问题。跨领域推荐系统使用源领域中的交互数据来帮助目标领域的冷启动推荐。 这篇文章提出了一种个性化迁移用户兴趣偏好的跨领域推荐的方法,给目标领域冷启动用户进行更精准的推荐。

作者 | 朱勇椿

本文基于WSDM 2022论文《Personalized Transfer of User Preferences for Cross-domain Recommendation》,论文作者来自中科院计算所、腾讯微信、北航。

论文链接:https://arxiv.org/pdf/2110.11154.pdf

代码链接: https://github.com/easezyc/WSDM2022-PTUPCDR


1

背景介绍

随着个性化线上app的增长,推荐系统被线上服务广泛采用,比如电商、线上新闻等等。但是推荐系统无法给新(冷启动)用户提供精准的推荐服务。

跨领域推荐系统旨在从一个信息丰富的源领域向目标领域迁移知识来缓解冷启动问题[1,2,3]。这类方法的核心是如何连接用户在源领域的兴趣偏好和在目标领域的兴趣偏好。为了达到偏好迁移的效果,很多已有的跨领域推荐方法假设用户在源领域和目标领域的兴趣偏好存在一种联系,并且所有的用户共享这种联系。因此,这些方法学习一个所有用户共享的偏好桥,如图1(a)所示。

事实上,由于个体的差异,不同领域的偏好间的复杂关系是因人而异的。因此,很难用一个公共的偏好桥来抓获这样复杂多样的关系。为了解决现有方法的不足,有必要使用个性化的桥来建模不同用户的偏好关系。

因此,这篇文章提出了一种新的框架,个性化迁移用户偏好的方法用于跨领域推荐系统(PTUPCDR)。如图1(b)所示。使用一个元学习器,以从用户在源领域的交互历史中提取到的用户特质为输入,建模个性化的偏好桥。再将用户在源领域的偏好表示,输入这个预测得到的偏好桥,得到用户在目标领域的冷启动表示。通常来讲,元学习器是难以优化的[4,5],因此我们提出了一种目标导向的训练方法,直接以最终的rating作为优化目标。


2

方法

整体框架如上所示,主要包含两个部分,特质编码器,元网络。具体来讲,特征编码器使用一种注意力机制,将用户在源领域交互过的所有item聚合起来,表示用户在源领域的特质:

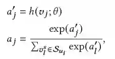
将得到的用户特质输入到元网络(meta network),输出个性化的偏好桥:

注意,元网络输出的是偏好桥的参数。再将用户在源领域的偏好表示送入预测得到的偏好桥,得到用户在目标领域的偏好表示:

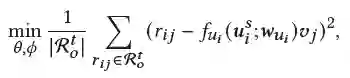
用得到的用户在目标领域的表示作为目标领域中该用户的初始化向量,即可进行冷启动推荐。为了学习这个网络,以前的方法采用映射导向的损失函数:

在两个领域重叠的用户上学习,使得映射后的用户表示尽量靠近目标领域中该用户的表示。但是目标领域中该用户的表示是通过交互数据学习得到,这个过程存在信息损失,因此我们希望跳过这个中间表示,直接以交互数据作为优化目标:

整个训练流程如下所示,先预训练得到源领域和目标领域的模型,再训练元网络,再映射用户兴趣偏好去初始化目标领域上的用户表示:


3

实验

我们在亚马逊的公开数据集上构造了三个跨领域推荐任务,具体任务如下表所示:

我们使用不同比例的数据量作为训练集,得到以下实验结果,可以看到我们的方法远远超过baselines。

此外我们还做了warm start实验,也就是基于这个映射得到向量表示作为初始化,使用后续交互数据微调,得到以下结果,可以看到,针对warm start场景,我们的方法也是很有效的,这也是第一篇同时验证跨领域推荐方法在cold-start和warm-start场景的文章。



4

总结

这篇文章我们研究了跨领域推荐中的冷启动问题,我们发现公共的用户偏好桥无法很好的建模不同用户在不同领域的偏好间的关系,因此我们提出了一种个性化迁移用户兴趣偏好的方法。实验证明我们的方法是一种高效且实用的方法。

参考文献:

[1] Man T, Shen H, Jin X, et al. Cross-Domain Recommendation: An Embedding and Mapping Approach[C]//IJCAI. 2017, 17: 2464-2470.

[2] Kang S K, Hwang J, Lee D, et al. Semi-supervised learning for cross-domain recommendation to cold-start users[C]// CIKM: 1563-1572.

[3] Zhu Y, Ge K, Zhuang F, et al. Transfer-Meta Framework for Cross-domain Recommendation to Cold-Start Users[C]. SIGIR, 2021.

[4] Zhu Y, Xie R, Zhuang F, et al. Learning to Warm Up Cold Item Embeddings for Cold-start Recommendation with Meta Scaling and Shifting Networks[C].SIGIR, 2021.

[5] Zhu Y, Liu Y, Xie R, et al. Learning to Expand Audience via Meta Hybrid Experts and Critics for Recommendation and Advertising[C]. KDD, 2021.

欢迎干货投稿 \ 论文宣传 \ 合作交流


公众号后台回复“ 入群 ”,一起参与交流讨论~

由于微信公众号试行乱序推送,您可能不再能准时收到机器学习与推荐算法的推送。为了第一时间收到干货内容, 请将本号设为星标,以及常点文末右下角的“在看”。

登录查看更多
1

相关内容

WSDM'22「百度」考虑行为多样性的对比元学习
专知会员服务
24+阅读 · 2022年2月21日
WSDM'22「京东」个性化会话推荐:异构全局图神经网络
专知会员服务
23+阅读 · 2022年1月7日
专知会员服务
26+阅读 · 2021年6月9日
【AAAI2021】预训练用户表示提升推荐
专知会员服务
44+阅读 · 2021年2月8日
【WSDM2021】多交互注意力网络细粒度特征学习的CTR预测
专知会员服务
25+阅读 · 2020年12月27日
专知会员服务
48+阅读 · 2020年10月20日
专知会员服务
88+阅读 · 2020年1月20日
WSDM2022 | 考虑行为多样性与对比元学习的推荐系统
机器学习与推荐算法
2+阅读 · 2022年2月24日
综述 | 推荐系统里预训练模型
图与推荐
1+阅读 · 2021年11月23日
SIGIR'21 | 推荐系统中的多关系图神经网络
图与推荐
3+阅读 · 2021年10月10日
SIGIR 2021 | 推荐系统中的多行为建模
PaperWeekly
1+阅读 · 2021年10月9日
一文梳理跨域推荐研究进展
机器学习与推荐算法
0+阅读 · 2021年8月30日
国家自然科学基金
6+阅读 · 2017年12月31日
国家自然科学基金
6+阅读 · 2014年12月31日
国家自然科学基金
2+阅读 · 2013年12月31日
国家自然科学基金
6+阅读 · 2012年12月31日
国家自然科学基金
3+阅读 · 2012年12月31日
国家自然科学基金
2+阅读 · 2012年12月31日
国家自然科学基金
0+阅读 · 2012年12月31日
国家自然科学基金
0+阅读 · 2011年12月31日
Cold-start Sequential Recommendation via Meta Learner
Arxiv
15+阅读 · 2020年12月10日
Arxiv
15+阅读 · 2019年11月26日
Arxiv
14+阅读 · 2018年4月18日
VIP会员
相关VIP内容
WSDM'22「百度」考虑行为多样性的对比元学习
专知会员服务
24+阅读 · 2022年2月21日
WSDM'22「京东」个性化会话推荐:异构全局图神经网络
专知会员服务
23+阅读 · 2022年1月7日
专知会员服务
26+阅读 · 2021年6月9日
【AAAI2021】预训练用户表示提升推荐
专知会员服务
44+阅读 · 2021年2月8日
【WSDM2021】多交互注意力网络细粒度特征学习的CTR预测
专知会员服务
25+阅读 · 2020年12月27日
专知会员服务
48+阅读 · 2020年10月20日
专知会员服务
88+阅读 · 2020年1月20日
相关资讯
WSDM2022 | 考虑行为多样性与对比元学习的推荐系统
机器学习与推荐算法
2+阅读 · 2022年2月24日
综述 | 推荐系统里预训练模型
图与推荐
1+阅读 · 2021年11月23日
SIGIR'21 | 推荐系统中的多关系图神经网络
图与推荐
3+阅读 · 2021年10月10日
SIGIR 2021 | 推荐系统中的多行为建模
PaperWeekly
1+阅读 · 2021年10月9日
一文梳理跨域推荐研究进展
机器学习与推荐算法
0+阅读 · 2021年8月30日
相关基金
国家自然科学基金
6+阅读 · 2017年12月31日
国家自然科学基金
6+阅读 · 2014年12月31日
国家自然科学基金
2+阅读 · 2013年12月31日
国家自然科学基金
6+阅读 · 2012年12月31日
国家自然科学基金
3+阅读 · 2012年12月31日
国家自然科学基金
2+阅读 · 2012年12月31日
国家自然科学基金
0+阅读 · 2012年12月31日
国家自然科学基金
0+阅读 · 2011年12月31日
Top
微信扫码咨询专知VIP会员