大学数学(高数线代)直观理解(一)

2017 年 6 月 27 日 算法与数学之美 Genius

大学数学(高数线代)直观理解

来源:Genius

编辑:Gemini


日前看到有个初中数学问题推到了我的Timeline上,问:系数为啥叫系数?

我脑洞炸裂灵感迭起,心情如电火花一般激灵四射,又为见到这么古老的问题痛哭流涕——想我有多久没有问过这种问题了,从小到大,问出来也得不到满意的解答吧。

那么现在我就从回答这个问题开始,谈谈直观理解《高等数学》《微积分》的相关知识。但必须提的是,直观是不严谨的,千万不要看了这篇文章后脑洞大开搞出什么数学民科来,那可就糟了。

系数,你可以认为这里是“万千变化系于一数”的用法。一个函数就是一个变化,这个变化系于此数,简称系数。又可以说,一个函数是一个对应关系,关系数,简称系数。

其实能问出“系数为什么叫系数”的人肯定也能问出“函数为什么叫函数”。后面这个问题其实更了不起,因为可以引出“泛函”的概念来,也许以后我会试着仔细写写这个。

1

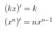
y=2x,你告诉我,这个函数的变化快慢是由什么决定的?

没错,2.

呢?这里有两个x,每个x的变化的快慢都是由对方决定的,第一个x的变化快慢是x倍,第二个x的变化快慢是x倍,一共是?

2x倍。

呢?这里有三个x,每个x的变化快慢都是,所以总变化快慢是?

嗯…….

于是我们推出来两个规律:

的变化率就是它自己,要理解的话得花大篇幅解释e这个东西,在这里就不提了,反正记下来也挺简单的。

至于三角函数的变化率,你画个单位圆看看就能明白为什么sin的变化率就是cos,cos的变化率是-sin。如果不记得单位圆定义的……跳过。

2

有的时候我们会需要这样的情况:,现在我问你,这个函数里,x的变化快慢被什么决定?

你很快可以得到答案,第一项有3个x,每个x的变化都是,第二项里有两个x,每个x的变化都是2xy,所以总变化是,同样的,我们其实也可以问,在这个函数里,y的变化快慢被什么决定?显然是。然后函数总的变化快慢是多少呢?

写到这里莫名其妙就得出了偏导数和全微分公式。用表示x的偏导数(变化率),表示y的偏导数(变化率),在处的全微分公式写做。就是说这个函数的增量等于x的增量加y的增量。好吧,一个知识点就这么完了,是不是有种感觉什么也没说的感觉?没错你相信我,真的就只是造出了几个术语,搞出了几个符号,内容就是我们说的那样,那么的……废话。其实我一直不喜欢这种写法,但我没有发明符号的闲心了,就姑且这么用,反正听他们那些前辈说用多了还觉得挺美。

3

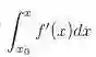
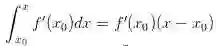
有的时候我们常常做这么一件事。那就是,一个量根据一个法则在变化, 从某处到某处这个量变了多少。

比如f(x)从a到b一直在连续变化,问从a到b一共变化了多少?

你也许会说,这不是废话么,用f(b)-f(a)不就求出来了吗?

那么恭喜你,你以一人之力,发明了牛顿莱布尼兹公式。

牛顿莱布尼兹公式是怎么说的?它说从a到b每一处的变化累积起来,就是f(b)-f(a)。

那由此还可以想到什么“废话”吗?

当然还可以,这种废话简直无穷无尽,比如。

u的变化使得v变化的量,加上v的变化使得u变化的量,不就是变化的u和v彼此使得对方变化的总量吗?很自然的有

我推出这个公式后的第二天,老师教了我们分部积分法。

我:……

4

至于无穷小量,极限,微元这些,我是不太想在文章里提的。一来我没有能力换一种完全不同的方式等价地表达出来,总觉得有这样那样的问题。二来我如果按书上的在这里写一遍,那我这篇文章还不如不写。那么问题来了,如果不谈极限,我们怎么讨论极限的相关知识?

伯努利说,对对对,你不讲极限,怎么跟别人讲我的法则?

这个法则现在我们叫洛必达法则,充分说明我们如果足够重视每一句废话,在严谨地证明后早早发表,很可能就能冠名一个东西。单单从直觉上来说,洛必达法则是在反着说这么一件事情,两个量从0开始变化的那一瞬间,速度的比例是多大,那么变化的比例就是多大。如果他们变得无穷大,亦同。我们对照着看一下:

如果,在点a的某去心邻域内两者都可导,且存在,那么有

翻译:如果两个变化在某处都趋向于0了,而这个时候他们是光滑地变化着(不是突兀地变化),那么在最后到0的前一瞬间,它们的比例就是他们速度的比例。

这种描述其实很原始,有点像牛顿时代的描述。从这个例子其实可以看出,极限的提出还是很重要的。

5

说起变化,我不由得就想起了我们小时候经常会思考的一个问题。

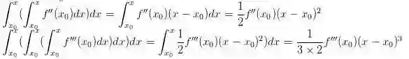
如果我们知道某一点的变化率,知道这一点变化率的变化率,又知道这一点变化率的变化率的变化率……那我们是否可以知道这个点经过一段时间后变到了多少?

换个表达,假设我们要知道x时的情况,但我们只知道时候的,然后我们还知道时候的变化,变化的变化……直到任意阶变化我们都知道,那么x的情况我们有理由不知道吗?

试试看好了,首先,已经有了,这一点的变化率是f'(x0),到x一共是变化了,然而,f'(x)并不总是f'(x0),它是在变的,在处变化率是f(x0)'',这个变化率使得f(x0)'一共变化了,同样,f(x0)''也是变化的,f(x0)''一共变化了。总的来说会写出这样的式子:

算一下,

……

这不就是泰勒公式么!

这个东西在写这篇文章的时候写着写着就写出来了,我看了看应该是没错,有错请尽快告知……这种写法你可以理解为泰勒公式的另一种形式。其实自己能推理出来的话,这个形式是很亲切而自然。

最后,为了能写出对大家更有帮助的文章,大家可以在评论区多留言给我提出意见和建议。



欢迎大家交流


长按图片识别二维码

欢迎大家把独特见解分享出来,投稿邮箱:

math_alg@163.com

登录查看更多
0

相关内容

数学是关于数量、结构、变化等主题的探索。
【纽约大学】最新《离散数学》笔记,451页pdf
专知会员服务
131+阅读 · 2020年5月26日
最新《机器学习理论初探》概述
专知会员服务
48+阅读 · 2020年5月19日
干货书《数据科学数学系基础》2020最新版,266页pdf
专知会员服务
322+阅读 · 2020年3月23日
机器学习速查手册,135页pdf
专知会员服务
345+阅读 · 2020年3月15日
机器学习入门 | 刷新你三观的高数和线代教程
大数据技术
21+阅读 · 2019年3月22日
【机器学习数学基础】动图解释泰勒级数(一)
机器学习研究会
6+阅读 · 2018年2月25日
傅里叶变换和拉普拉斯变换的物理解释及区别
算法与数学之美
11+阅读 · 2018年2月5日
图解高等数学|线性代数
遇见数学
39+阅读 · 2017年10月18日
GAN的数学原理
算法与数学之美
16+阅读 · 2017年9月2日
大学数学不好,或许是数学教材的锅?
算法与数学之美
15+阅读 · 2017年8月1日
【基础数学】- 01
遇见数学
20+阅读 · 2017年7月25日
[有意思的数学] 参数估计
机器学习和数学
15+阅读 · 2017年6月4日
Arxiv
10+阅读 · 2020年2月15日
Augmentation for small object detection
Arxiv
13+阅读 · 2019年2月19日
Arxiv
11+阅读 · 2018年3月23日
Arxiv
7+阅读 · 2018年1月24日
VIP会员
相关资讯
机器学习入门 | 刷新你三观的高数和线代教程
大数据技术
21+阅读 · 2019年3月22日
【机器学习数学基础】动图解释泰勒级数(一)
机器学习研究会
6+阅读 · 2018年2月25日
傅里叶变换和拉普拉斯变换的物理解释及区别
算法与数学之美
11+阅读 · 2018年2月5日
图解高等数学|线性代数
遇见数学
39+阅读 · 2017年10月18日
GAN的数学原理
算法与数学之美
16+阅读 · 2017年9月2日
大学数学不好,或许是数学教材的锅?
算法与数学之美
15+阅读 · 2017年8月1日
【基础数学】- 01
遇见数学
20+阅读 · 2017年7月25日
[有意思的数学] 参数估计
机器学习和数学
15+阅读 · 2017年6月4日
相关论文
Arxiv
10+阅读 · 2020年2月15日
Augmentation for small object detection
Arxiv
13+阅读 · 2019年2月19日
Arxiv
11+阅读 · 2018年3月23日
Arxiv
7+阅读 · 2018年1月24日
Top
微信扫码咨询专知VIP会员