KDD21 | 如何纠正推荐系统中的流行度偏差

2021 年 11 月 25 日 图与推荐


题目:Model-Agnostic Counterfactual Reasoning for Eliminating Popularity Bias in Recommender System


发表地:KDD 2021


论文解读人:中国科大 魏天心


一、摘要


推荐系统的总体目标是为用户提供个性化的建议,而不是推荐热门物品,然而正常的训练范式,即拟合一个推荐模型来重建观测到的用户行为数据,会使得训练模型偏向于推荐流行商品,从而导致马太效应,即流行的物品被更频繁地推荐,并变得更加流行。


该论文从一个全新的视角——因果关系的角度来探讨推荐系统中的流行度偏差问题。该文章指出,流行度偏差存在于因果图中物品节点对排名分数的直接影响之中,也就是说物品的内在属性是错误地赋予某些物品过高排名分数的原因。文章认为为了纠正这种偏差,有必要考虑一个反事实的问题,即如果推荐模型只输入物品相关信息,那么它的排名分数将是多少。为此,该论文用因果图来描述推荐过程中的重要因果关系,在模型训练过程中,论文采行多任务学习的方式,建模每一项因果关系对于推荐得分的贡献,并在模型测试过程中采用反事实推理的方法来消除流行度对于推荐的影响。


二、研究背景


个性化推荐改变了无数的在线应用程序,大量不同的推荐算法也都被设计和部署,这些算法的默认优化选择都是重建历史中的用户-物品交互,然而在真实数据中,物品的分布频率并不均匀,它受到曝光度机制、口碑效应、促销活动、物品质量等诸多因素的影响,从而造成在绝大多数情况下,物品的分布频率是长尾的,即少数的流行物品包含了大多数的交互。这使得模型发现频繁地推荐流行物品可以简单地拟合训练数据,从而向该方向更新参数并更倾向于推荐流行的物品,这种流行度偏差会阻碍推荐系统准确理解用户的偏好,减少推荐的多样性。


目前针对这个问题的去偏算法主要可以分成三类:(1)逆权重分数:估计物品流行度的倾向性权重,并对每条数据样本利用逆权重分数进行加权。(2)加入无偏数据:通过从额外的无偏数据中学习来纠正流行度偏差。(3)分解嵌入表示:将兴趣和流行度分解为两套嵌入模型,并调整使得模型学习到更鲁棒的模式。


这些方法能起到一定的去偏效果,但也有一定的局限性,这些方法缺乏对物品流行度如何影响每个特定交互的细粒度考虑,也缺乏对流行度偏差机制的系统理解。文章认为,消除流行度偏差的关键是了解物品流行如何影响每次交互,而不是盲目地将增加长尾物品的权重。


三、方法介绍


方法介绍共分为三部分:因果图的建立、建模因果效应、消除流行度影响。


【因果图的建立】


图1:因果图的例子


文章首先介绍了因果图和因果效应的概念,因果图是有向无环图,其中包含随机变量集合,和随机变量之间的因果关系。在因果图中,用大写字母表示变量,小写字母表示其观测值。因果图中的有向边意味着其祖先节点是一个原因,后继节点是一个结果。以图1为例,   表示存在从   到   的直接影响。此外,路径   意味着   通过一个中介   对   有间接影响。根据因果图,一个节点的观测值可以从其的祖先节点的值中计算得出,例如   的值可以如下表示:


 

   对   的因果效应是指目标变量   因祖先变量   的单位变化而产生的变化幅度,例如对的总因果效应(   )为:

  这可以被理解为两个假象情况   和   下的差异。其中   表示一种假象情况,其中   的值被消除掉,通常将其值设为无,如图1中灰色节点。更进一步,总因果效应可以被分解为自然直接效应(   )和总间接效应(   ),分别表示通过直接路径(   )和间接路径(   )产生的因果效应:



 

图2:推荐系统中的因果图


介绍完因果图的概念,接下来就可以为推荐系统来构建因果图,它代表着历史交互数据的生成过程,其中   、   、   、   分别代表用户嵌入特征、物品嵌入特征、用户-物品匹配特征和排名得分,当前的大部分推荐系统主要关注图2(a)中的用户-物品匹配因素,而忽略了物品流行度如何影响交互概率,如果两个物品对于一个用户的匹配度相同,流行程度越大的物品越有可能被该用户知道并消费,因此文章在因果图中加入   的因果关系,如图2(b)所示; 另一方面,流行物品对不同用户的影响可能有所不同,例如,有些用户更喜欢使用受欢迎的物品,而有些用户则不喜欢,因此文章在因果图中加入   的因果关系,如图2(c)所示。综上可知,我们认为消除流行度偏差的关键是消除从   和   到   的直接影响,使推荐系统能关注于学习用户-物品之间的匹配程度特征(   )来进行推荐。


【建模因果效应】


图3:MACR模型框架


大多数的推荐系统模型之所以受到流行偏见的影响,是因为这些模型建模了用户和物品之间的交互,而这些交互是从训练数据估计出的,从而会导致模型不可避免地偏向流行物品。从因果关系的角度来看,物品的流行程度直接影响推荐得分,因此消除了从物品流行程度到推荐得分的直接影响就可以消除流行度偏差,为此首先需要在训练时建模因果图中的因果效应。


文章设计了一种消除推荐系统中流行度偏差的反事实推理方法框架(   ),其中的三个模块分别建模因果图中   ,   和   的因果路径对推荐的影响,并执行多任务学习来进行模型训练。这个框架与模型无关,可以实现在现有的协同过滤推荐系统之上,只需添加一个用户模块   和一个项目模块   。这些模块将用户和物品融入到推荐分数中,在这里文章使用简单的全连接网络实现。


首先是用户-物品匹配模块:这代表着传统推荐系统,   是现有的推荐系统中使用的排名得分,它用物品和用户表示作为输入,并反映了项目在多大程度上   匹配用户   的偏好。


物品建模模块:   用来建模物品受欢迎程度的影响,通常越受欢迎的物品对推荐的影响越大。


用户建模模块:   显示了在不管用户物品是否匹配的情况下,用户   将会在多大程度上与物品交互。考虑到两个用户被随机推荐相同数量的视频,一个用户可能会因为更广泛的偏好或更强的活动而点击更多的视频。这种兴趣广泛的用户将获得更高的   。


模型训练目标是拟合真实历史交互   ,根据因果图的表示,三个模块的预测结果聚合为最终预测评分:


 

   表示sigmoid函数,通过这个函数文章把   和   变化为在[0,1]的范围的点击概率,去调整依赖用户-物品匹配的程度。


在模型训练过程中,文章应用   作为预测的推荐分数并优化推荐系统的损失函数。为了实现用户和项目模块对因果效应的建模,文章设计了一个多任务学习模式,对于   和   增加相应的约束。在形式上,训练损失函数为:


 

其中   和   超参数用来调整不同任务之间的平衡。    为传统推荐系统的优化目标,   和   为针对物品(   )和用户(   )模块的损失函数,   旨在建模物品信息(流行度)对于推荐的单独影响,而   建模用户信息对于推荐的单独影响,用以达成建模因果关系的优化目标:

         

其中   是数据集中真实的交互数据,数值为1代表   和   之间存在交互。


【消除流行度影响】


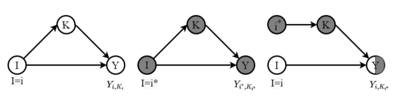
消除流行偏见的关键是通过消除物品对于模型的直接影响,因此文章将训练时的预测分数(总因果效应   )减去因果图中偏差造成的直接影响(自然直接影响   )即为最终去偏差的预测分数:


 

其中   是超参数,表示   的反事实状态,反事实因果图如图4中所示。


图4:反事实推理消除偏差


四、实验结果


表1: 数据集统计


【整体效果】表1展示了五个公开数据集的数据统计情况,图1展示了这些数据集下因果去偏算法和当前最先进的算法的对比,可以看出在无偏的用户物品交互场景中,因果去偏算法的性能显著优于最先进的基线,在两个经典基准模型(   ,    )上都取得了巨大提升。


图5:整体推荐效果


【消融实验】图6使用在   数据集展示了训练过程中采用因果图方式建模的不同模块的效果,最终发现多任务学习和预测分数聚合的方法均取得了明显的提升。


图6:消融实验


图7:不同物品分组上的推荐效果


【推荐结果分析】文章将物品根据在训练集中的流行度划分成不同的分组图,并计算这些物品在测试时的平均推荐准确度,从图7中可以发现对于不同分组,因果去偏的方法均取得较大提升,并且流行度越高,提升越大,说明了因果去偏的有效性。


五、实验结果


该文从因果推理的角度去消除推荐系统中的流行度偏差,设计出了模型无关的去偏框架   ,该方法根据因果图进行多任务训练,评估不同因素对排名分数的贡献,并采用反事实推理的方法来估计从物品信息到排名分数的直接影响,最后将其去除以消除流行度偏差。该方法是利用因果推理进行推荐的初步尝试之一,且通过在五个真实推荐数据集上的大量实验证明了其有效性。


六、往期推荐


ACM TOIS | 社交关系感知的多模态视频人物检索


AAAI 2021 | 由时空轨迹预训练上下文与时间敏感的地点嵌入


国内数十位NLP大佬合作,综述预训练模型的过去、现在与未来



编辑: 杜佳豪
登录查看更多
1

相关内容

细节决定成败:推荐系统实验反思与讨论
专知会员服务
19+阅读 · 2021年12月10日
图嵌入推荐系统技术综述,64页pdf422篇文献
专知会员服务
65+阅读 · 2021年9月22日
专知会员服务
37+阅读 · 2021年4月18日
【WWW2020-华为诺亚方舟论文】元学习推荐系统MetaSelector
专知会员服务
56+阅读 · 2020年2月10日
专知会员服务
88+阅读 · 2020年1月20日
ICML'21:剑指开放世界的推荐系统
图与推荐
2+阅读 · 2021年12月30日
细节决定成败: 推荐系统实验反思与讨论
机器学习与推荐算法
0+阅读 · 2021年12月17日
WWW'21 | 基于图的视角学习推荐系统的公平表征
图与推荐
0+阅读 · 2021年12月11日
【KDD2021】双重图强化神经推荐模型
专知
0+阅读 · 2021年11月10日
推荐系统之矩阵分解家族
图与推荐
13+阅读 · 2020年3月28日
如何将知识图谱特征学习应用到推荐系统?
人工智能头条
12+阅读 · 2018年6月10日
推荐系统经典技术:矩阵分解
机器学习研究会
10+阅读 · 2017年10月10日
国家自然科学基金
5+阅读 · 2014年12月31日
国家自然科学基金
6+阅读 · 2014年12月31日
国家自然科学基金
1+阅读 · 2013年12月31日
国家自然科学基金
5+阅读 · 2013年12月31日
国家自然科学基金
0+阅读 · 2013年12月31日
国家自然科学基金
0+阅读 · 2012年12月31日
国家自然科学基金
2+阅读 · 2012年12月31日
国家自然科学基金
2+阅读 · 2012年12月31日
国家自然科学基金
0+阅读 · 2012年12月31日
国家自然科学基金
0+阅读 · 2012年12月31日
Domain Representation for Knowledge Graph Embedding
Arxiv
14+阅读 · 2019年9月11日
VIP会员
相关资讯
ICML'21:剑指开放世界的推荐系统
图与推荐
2+阅读 · 2021年12月30日
细节决定成败: 推荐系统实验反思与讨论
机器学习与推荐算法
0+阅读 · 2021年12月17日
WWW'21 | 基于图的视角学习推荐系统的公平表征
图与推荐
0+阅读 · 2021年12月11日
【KDD2021】双重图强化神经推荐模型
专知
0+阅读 · 2021年11月10日
推荐系统之矩阵分解家族
图与推荐
13+阅读 · 2020年3月28日
如何将知识图谱特征学习应用到推荐系统?
人工智能头条
12+阅读 · 2018年6月10日
推荐系统经典技术:矩阵分解
机器学习研究会
10+阅读 · 2017年10月10日
相关基金
国家自然科学基金
5+阅读 · 2014年12月31日
国家自然科学基金
6+阅读 · 2014年12月31日
国家自然科学基金
1+阅读 · 2013年12月31日
国家自然科学基金
5+阅读 · 2013年12月31日
国家自然科学基金
0+阅读 · 2013年12月31日
国家自然科学基金
0+阅读 · 2012年12月31日
国家自然科学基金
2+阅读 · 2012年12月31日
国家自然科学基金
2+阅读 · 2012年12月31日
国家自然科学基金
0+阅读 · 2012年12月31日
国家自然科学基金
0+阅读 · 2012年12月31日
Top
微信扫码咨询专知VIP会员