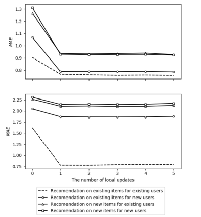
This paper proposes a recommender system to alleviate the cold-start problem that can estimate user preferences based on only a small number of items. To identify a user's preference in the cold state, existing recommender systems, such as Netflix, initially provide items to a user; we call those items evidence candidates. Recommendations are then made based on the items selected by the user. Previous recommendation studies have two limitations: (1) the users who consumed a few items have poor recommendations and (2) inadequate evidence candidates are used to identify user preferences. We propose a meta-learning-based recommender system called MeLU to overcome these two limitations. From meta-learning, which can rapidly adopt new task with a few examples, MeLU can estimate new user's preferences with a few consumed items. In addition, we provide an evidence candidate selection strategy that determines distinguishing items for customized preference estimation. We validate MeLU with two benchmark datasets, and the proposed model reduces at least 5.92% mean absolute error than two comparative models on the datasets. We also conduct a user study experiment to verify the evidence selection strategy.


翻译:本文提出一个减轻冷点启动问题的推荐系统,该系统只能根据少量项目来估计用户的偏好。为了确定用户在寒冷状态中的偏好,现有的推荐系统,如Netflix, 最初向用户提供项目;我们称这些项目为证据候选人;然后根据用户选定的项目提出建议。先前的建议研究有两个局限性:(1) 消费少数项目的用户建议不力,(2) 使用证据不足的证据候选人来确定用户的偏好。我们提出了一个基于元学习的推荐系统,称为MELU,以克服这两个限制。从元学习中可以快速采用几个例子的新任务中,MeLU可以对用户的新偏好用几个消耗的物品进行估算。此外,我们还提供了一个证据性候选人选择战略,确定按定制的偏好估计项目。我们用两个基准数据集来验证MELU,而拟议的模型比数据集的两个比较模型至少减少5.92%的绝对误差。我们还进行用户研究实验,以核实证据选择战略。

39
下载
关闭预览

相关内容

因果图,Causal Graphs,52页ppt
专知会员服务
253+阅读 · 2020年4月19日
强化学习最新教程,17页pdf
专知会员服务
182+阅读 · 2019年10月11日
LibRec 精选:AutoML for Contextual Bandits
LibRec智能推荐
7+阅读 · 2019年9月19日
Hierarchically Structured Meta-learning
CreateAMind
27+阅读 · 2019年5月22日
Transferring Knowledge across Learning Processes
CreateAMind
29+阅读 · 2019年5月18日
强化学习的Unsupervised Meta-Learning
CreateAMind
18+阅读 · 2019年1月7日
Unsupervised Learning via Meta-Learning
CreateAMind
43+阅读 · 2019年1月3日
LibRec 精选:推荐系统的论文与源码
LibRec智能推荐
14+阅读 · 2018年11月29日
【推荐】SVM实例教程
机器学习研究会
17+阅读 · 2017年8月26日
Auto-Encoding GAN
CreateAMind
7+阅读 · 2017年8月4日
Arxiv
23+阅读 · 2018年8月3日
Arxiv
6+阅读 · 2018年3月28日
Arxiv
8+阅读 · 2018年2月23日
VIP会员
相关VIP内容
因果图,Causal Graphs,52页ppt
专知会员服务
253+阅读 · 2020年4月19日
强化学习最新教程,17页pdf
专知会员服务
182+阅读 · 2019年10月11日
相关资讯
LibRec 精选:AutoML for Contextual Bandits
LibRec智能推荐
7+阅读 · 2019年9月19日
Hierarchically Structured Meta-learning
CreateAMind
27+阅读 · 2019年5月22日
Transferring Knowledge across Learning Processes
CreateAMind
29+阅读 · 2019年5月18日
强化学习的Unsupervised Meta-Learning
CreateAMind
18+阅读 · 2019年1月7日
Unsupervised Learning via Meta-Learning
CreateAMind
43+阅读 · 2019年1月3日
LibRec 精选:推荐系统的论文与源码
LibRec智能推荐
14+阅读 · 2018年11月29日
【推荐】SVM实例教程
机器学习研究会
17+阅读 · 2017年8月26日
Auto-Encoding GAN
CreateAMind
7+阅读 · 2017年8月4日
Top
微信扫码咨询专知VIP会员