成为VIP会员查看完整内容
VIP会员码认证
首页
主题
发现
会员
服务
注册
·
登录
0
命名实体识别新SOTA:改进Transformer模型
2019 年 11 月 26 日
AI科技评论
作者 | 刘旺旺
编辑 | 唐里
TENER: Adapting Transformer Encoder for Name Entity Recognition
链接:
https://arxiv.org/pdf/1911.04474.pdf
代码:暂无
一.动机
Transformer 模型以其良好的并行性能力以及出色的效果,被广泛应用于nlp领域的各大任务,例如机器翻译,预训练语言模型等。博客(
https://zhuanlan.zhihu.com/p/54743941)也从多个方面,实验论证Transformer 模型优于CNN和RNN模型。然而,在NER任务上,Transformer的效果远不如BiLSTM。
二.预备知识
NER
命名实体识别, 简称NER,是指识别文本中具有特定意义的实体,主要包括人名、地名、机构名、专有名词等,以及时间、数量、货币、比例数值等文字,通常被看做是序列标注任务,现有主流的方法是使用神经网络来做,包括三个部分:词向量层,上下文编码层,解码层。
Transformer
Transformer layer包含两个部分:Multi-Head Attention (MHA) 和Position-wise Feed-Forward Network (FFN)。
MHA:
单个attention head计算方式:
多个attention head计算方式:
FFN:
MHA层和FFN层之间,以及FFN层之后还包含一个残差连接和norm层。详细可见论文 https://arxiv.org/pdf/1706.03762.pdf
三.解决方法
论文分析了Transformer在NER任务上效果不好的原因,并提出了改进方法TENER (Transformer Encoder for NER)。
Transformer在NER任务上效果不好的原因
如Figure1所示,方向信息以及相对位置,对于NER任务是重要的。
例如,“Inc”单词之前的词很有可能就是机构组织(ORG),“in”单词之后的词,很有可能是时间地点(TIME);并且一个实体应该是连续的单词组成,标红的“Louis Vuitton”不会和标蓝的“Inc”组成一个实体。但是原始的Transformer无法捕获这些信息
。
针对上述问题,论文提出了两点改进:
(1)提出带有方向与相对位置信息的 atteniton 机制;
(2)丢弃了原有 Transformerself-attention 的 scale factor,scale factor的引入是为了得到分布相对均匀的attention权重,但是在NER中,并不需要关注所有词。
另外,除了使用 Transformer 来建模词级别的上下文信息,还使用 Transformer 来建模 character 级别信息。
论文改进的TENER 模型
1. 词向量层
为了改善数据的稀疏性以及 oov 问题,NER任务通常使用 CNN 编码 character 序列来表示单词。与 Bilstm 相比,CNN在编码 character 序列上更有效,论文也探索了使用 Transformer 来编码 character 序列得到单词表征。最后的词向量表示,是 character 序列表征的单词与外部预训练词向量的拼接。
2. 带
有方向与相对位置信息的 atteniton 机制
原始transformer encoder使用如下公式来获得位置向量:
t是单词在文本中的位置,d是位置向量的维度,也是词向量的维度,
。根据公式,分别计算位置向量中奇数维度和偶数维度的值。
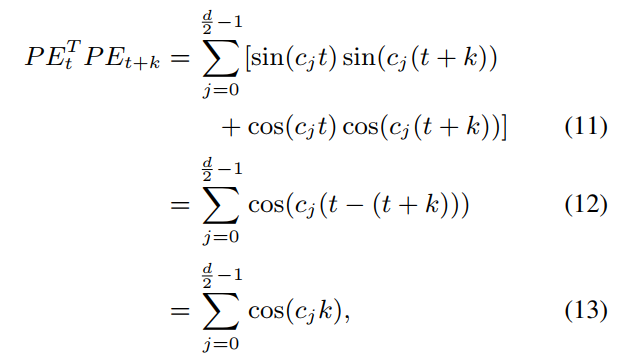
论文指出,根据公式(8)(9)得到的位置向量仅仅带有相对位置信息,而不包括方向信息
,
证明如下:
其中,
是一个常量
;公式(11)到公式(12)由公式
得到。由公式(13)可知,第t个位置的位置向
与第t+k个位置的位置向量
相乘,得到的结果只与相对位置k有关。并且,令
,可得:
公式(14)(15)更进一步说明了,根据公式(8)(9)得到的位置向量仅仅带有相对位置信息,而不包括方向信息,fingure3也证明了这个结论。
更重要的是,在计算self-attention时,仅能捕获的相对位置信息这一特性,也会消失。
由公式(1)可知,在进行self-attention时,首先需要经过矩阵
,
将H(位置向量和词向量的组合)转化到相应的空间。实际上,两个位置向量
,
进行的运算为
(
被看成一个矩阵,可得
)。随机采样得到两个W,绘出
结果图,如fingure4所示,在没有进行矩阵转换时,位置向量可以捕获相对位置信息,经过矩阵转换后,即进行self-attention时,相对位置信息被破坏。
论文使用如下公式代替公式(1)-(3)以及公式(8)(9),来计算self-attention,同时捕获相对位置信息和方向信息:公式(16)与公式(1)相比,K不再经过
映射的;t是目标token的索引,j是上下文token的索引,公式(17)在进行位置编码时,引入了相对位置以及方向信息,距离为t(j=0)与距离为-t(j=2t)的两个位置的位置向量在奇数维度上是不同的,偶数维度上是相同的,如公式(20)所示。公式(18)在计算attention权值时,将词向量与位置向量分开计算(位置对NER任务来说时及其重要的),并且加了偏置项。公式(19)相比公式(3)去掉了
。
问题是,K不再是经过
映射的,所以K的维度是和词向量维度一样为d,是无法与
(维度为
)进行矩阵相乘的运算的。论文作者也表示,这里存在一些笔误,想要表达的意思是,计算每一个attention head从K(也就是H)依次选取0到
维度,
到
维度,依此类推。
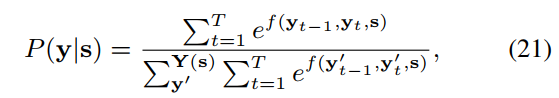
3. CRF layer解码
同先前Bilstm,主要是为了将不同tag之间的依赖信息引入。给定输入序列:
,以及标注
。
代表所有可能的标注序列。标注y的概率计算如下公式:
其中,
计算从标注
到标注
的转移分数以及的分数,优化的目标是最大化
。解码时,使用维特比算法,选择概率最大的y。
四.实验结果
数据集
在中文数据集上的结果(table1),中文的NER是直接基于字的:
1. TENER的效果不仅优于原有的Transformer模型,而且优于基于CNN的模型和基于Bilstm的模型. 其中因为CAN_NER使用了100维的预训练的字向量和bigram向量,所以效果较好。
2. Weibo数据集相对较小,因此不同的模型在这个数据集上的表现效果都比较差。TENER模型相比其他模型也提高了效果,这也表明,本论文提出的改进方法,对数据集的大小具有一定的鲁棒性
3. 带scale factor的 self-attention 会使得结果变差。
在英文数据集上的效果(table2):
1. TENER在英文数据集上的效果不仅优于原有的Transformer模型,而且优于基于Bilstm的模型,并取得了当前最好的结果。
2. 同样带scale factor的self-attention会使得结果变差。
不同的character编码器和word上下文编码器的组合结果(table4):
在两个英文数据集上,比较了不同的character编码器和word上下文编码器的组合结果,由table4可看出,在conll2013数据集上,基于CNN的character编码器+基于TENER的word上下文编码器取得了最好的效果;然而在OntoNote5.0上,全部使用TENER模型取得了最好的效果。但是无论使用什么样的character编码器甚至不使用character编码,换用TENER模型建模word上下文都可以提升效果。
收敛速度的比较(figure5):
TENER模型的收敛速度与Bilstm相等,比transformer和ID-CNN要快。
五.总结
1. 分析了Transformer 在NER任务上效果不好的原因
2. 改进了Transformer的位置编码及self-attention部分(TENER模型),用于NER,取得了较好的效果,在两个英文数据集上,达到了当前最好的效果。
3.
论文比较出彩的地方在于对Transformer 在NER任务上效果不好原因的分析
。对self-attention的改进有点类似Transformer XL。
点击“
阅读原文
”查看
Github项目推荐 | 命名实体识别或文本分类模型生成数据集!
登录查看更多
点赞并收藏
0
暂时没有读者
17
权益说明
本文档仅做收录索引使用,若发现您的权益受到侵害,请立即联系客服(微信: zhuanzhi02,邮箱:bd@zhuanzhi.ai),我们会尽快为您处理
相关内容
Transformer
关注
241
Transformer是谷歌发表的论文《Attention Is All You Need》提出一种完全基于Attention的翻译架构
知识荟萃
精品入门和进阶教程、论文和代码整理等
更多
查看相关VIP内容、论文、资讯等
【ICML2020-伯克利】反直觉!大模型重压缩提升Transformer的训练和推理效率,47页ppt
专知会员服务
70+阅读 · 2020年7月1日
【NeurIPS2020提交论文】通用表示Transformer层的小样本图像分类
专知会员服务
59+阅读 · 2020年6月29日
基于多头注意力胶囊网络的文本分类模型
专知会员服务
78+阅读 · 2020年5月24日
【伯克利】通过增大模型加速Transformer训练和推理
专知会员服务
45+阅读 · 2020年3月6日
【上海交大-ICASSP2020】Transformer端到端的多说话人语音识别
专知会员服务
51+阅读 · 2020年2月16日
Transformer文本分类代码
专知会员服务
118+阅读 · 2020年2月3日
BERT进展2019四篇必读论文
专知会员服务
69+阅读 · 2020年1月2日
【论文】使用编码器进行命名实体识别(TENER: Adapting Transformer Encoder for Named Entity Recognition)
专知会员服务
52+阅读 · 2019年12月28日
【MLA 2019】自然语言处理中的表示学习进展:从Transfomer到BERT,复旦大学邱锡鹏
专知会员服务
100+阅读 · 2019年11月15日
【Google论文】ALBERT:自我监督学习语言表达的精简BERT
专知会员服务
24+阅读 · 2019年11月4日
一文读懂最强中文NLP预训练模型ERNIE
AINLP
25+阅读 · 2019年10月22日
深度学习的下一步:Transformer和注意力机制
云头条
56+阅读 · 2019年9月14日
谷歌NIPS论文Transformer模型解读:只要Attention就够了
AI100
14+阅读 · 2019年9月9日
论文浅尝 | 基于微量资源的神经网络跨语言命名实体识别
开放知识图谱
6+阅读 · 2019年8月19日
最强NLP预训练模型库PyTorch-Transformers正式开源!支持6个预训练框架,27个预训练模型
AI前线
12+阅读 · 2019年7月22日
进一步改进GPT和BERT:使用Transformer的语言模型
机器之心
16+阅读 · 2019年5月1日
一文读懂命名实体识别
人工智能头条
33+阅读 · 2019年3月29日
CMU、谷歌提出Transformer-XL:学习超长上下文关系
机器之心
9+阅读 · 2019年1月18日
EMNLP2018论文解读 | 利用篇章信息提升机器翻译质量
PaperWeekly
6+阅读 · 2018年11月22日
基于Lattice LSTM的命名实体识别
微信AI
47+阅读 · 2018年10月19日
Question Generation by Transformers
Arxiv
5+阅读 · 2019年9月14日
Language Modeling with Deep Transformers
Arxiv
6+阅读 · 2019年7月11日
XLNet: Generalized Autoregressive Pretraining for Language Understanding
Arxiv
14+阅读 · 2019年6月19日
Cloze-driven Pretraining of Self-attention Networks
Arxiv
6+阅读 · 2019年3月19日
Universal Transformers
Arxiv
5+阅读 · 2019年3月5日
Star-Transformer
Arxiv
5+阅读 · 2019年2月28日
The Evolved Transformer
Arxiv
5+阅读 · 2019年1月30日
Transformer-XL: Attentive Language Models Beyond a Fixed-Length Context
Arxiv
4+阅读 · 2019年1月9日
Music Transformer
Arxiv
5+阅读 · 2018年12月12日
Doubly Attentive Transformer Machine Translation
Arxiv
4+阅读 · 2018年7月30日
VIP会员
自助开通(推荐)
客服开通
详情
相关主题
Transformer
命名实体识别
实体抽取
Transformer模型
注意力机制
词向量
相关VIP内容
【ICML2020-伯克利】反直觉!大模型重压缩提升Transformer的训练和推理效率,47页ppt
专知会员服务
70+阅读 · 2020年7月1日
【NeurIPS2020提交论文】通用表示Transformer层的小样本图像分类
专知会员服务
59+阅读 · 2020年6月29日
基于多头注意力胶囊网络的文本分类模型
专知会员服务
78+阅读 · 2020年5月24日
【伯克利】通过增大模型加速Transformer训练和推理
专知会员服务
45+阅读 · 2020年3月6日
【上海交大-ICASSP2020】Transformer端到端的多说话人语音识别
专知会员服务
51+阅读 · 2020年2月16日
Transformer文本分类代码
专知会员服务
118+阅读 · 2020年2月3日
BERT进展2019四篇必读论文
专知会员服务
69+阅读 · 2020年1月2日
【论文】使用编码器进行命名实体识别(TENER: Adapting Transformer Encoder for Named Entity Recognition)
专知会员服务
52+阅读 · 2019年12月28日
【MLA 2019】自然语言处理中的表示学习进展:从Transfomer到BERT,复旦大学邱锡鹏
专知会员服务
100+阅读 · 2019年11月15日
【Google论文】ALBERT:自我监督学习语言表达的精简BERT
专知会员服务
24+阅读 · 2019年11月4日
热门VIP内容
开通专知VIP会员 享更多权益服务
《利用射频传感器载荷增强无人机的侦察、监视与目标获取(ISR)能力》报告
《导航战》2025最新报告
人工智能驱动的国防战术通信与网络:提升现代战争中的态势感知、安全性与自主决策 | 万字长文
《有人-无人轻型驱逐舰与中型无人水面艇支队在第二与第一岛链作战中的部署概念(CONOPS)》56页报告
相关资讯
一文读懂最强中文NLP预训练模型ERNIE
AINLP
25+阅读 · 2019年10月22日
深度学习的下一步:Transformer和注意力机制
云头条
56+阅读 · 2019年9月14日
谷歌NIPS论文Transformer模型解读:只要Attention就够了
AI100
14+阅读 · 2019年9月9日
论文浅尝 | 基于微量资源的神经网络跨语言命名实体识别
开放知识图谱
6+阅读 · 2019年8月19日
最强NLP预训练模型库PyTorch-Transformers正式开源!支持6个预训练框架,27个预训练模型
AI前线
12+阅读 · 2019年7月22日
进一步改进GPT和BERT:使用Transformer的语言模型
机器之心
16+阅读 · 2019年5月1日
一文读懂命名实体识别
人工智能头条
33+阅读 · 2019年3月29日
CMU、谷歌提出Transformer-XL:学习超长上下文关系
机器之心
9+阅读 · 2019年1月18日
EMNLP2018论文解读 | 利用篇章信息提升机器翻译质量
PaperWeekly
6+阅读 · 2018年11月22日
基于Lattice LSTM的命名实体识别
微信AI
47+阅读 · 2018年10月19日
相关论文
Question Generation by Transformers
Arxiv
5+阅读 · 2019年9月14日
Language Modeling with Deep Transformers
Arxiv
6+阅读 · 2019年7月11日
XLNet: Generalized Autoregressive Pretraining for Language Understanding
Arxiv
14+阅读 · 2019年6月19日
Cloze-driven Pretraining of Self-attention Networks
Arxiv
6+阅读 · 2019年3月19日
Universal Transformers
Arxiv
5+阅读 · 2019年3月5日
Star-Transformer
Arxiv
5+阅读 · 2019年2月28日
The Evolved Transformer
Arxiv
5+阅读 · 2019年1月30日
Transformer-XL: Attentive Language Models Beyond a Fixed-Length Context
Arxiv
4+阅读 · 2019年1月9日
Music Transformer
Arxiv
5+阅读 · 2018年12月12日
Doubly Attentive Transformer Machine Translation
Arxiv
4+阅读 · 2018年7月30日
大家都在搜
PINN
朱克爱德华兹家族
2025最新报告
最新文献
NTU博士论文
事件相机
久别重逢话双塔
操作系统
军民融合
再见,TD-SCDMA!
Top
提示
微信扫码
咨询专知VIP会员与技术项目合作
(加微信请备注: "专知")
微信扫码咨询专知VIP会员
Top