从GAN到WGAN:生成对抗网络背后的数学原理(一)

2018 年 2 月 14 日 论智 Lilian Weng
作者: Lilian Weng
编译:Bot


本文解释了生成对抗网络(GAN)背后的数学原理及其难以训练的原因,并指出Wasserstein GAN是通过测量两个概率分部之间的平滑度来改进GAN训练的。

如今,生成对抗网络(GAN)已经取得了不少大型成果,它可以复制真实世界的丰富内容,如图像、语言和音乐等。它受博弈论启发:两个模型,一个生成器,一个判别器,两者在相互竞争的同时又相互扶持、共同进步。但是训练GAN并不是一件容易的事,因为自Ian Goodfellow提出这个概念以来,它就一直存在训练不稳定、容易崩溃的问题。

在这里,我想介绍一下GAN背后的数学原理及其难以训练的原因,并引入2017年FAIR提出的Wasserstein GAN,谈谈它是怎么在数学上实现突破性改进的。

  • KL散度和JS散度

  • 生成对抗网络(GAN)

    • D的最佳值

    • 什么是全局最优

    • 损失函数代表什么

  • GAN的问题

    • 很难达成纳什均衡

    • 低维支持

    • 消失的渐变

    • 模式崩溃

    • 缺乏一个适当的评估指标

  • 改进GAN的训练

  • Wasserstein GAN(WGAN)

    • 什么是Wasserstein距离

    • 为什么Wasserstein比JS、KL发散更好

    • 把Wasserstein距离作为GAN的损失函数

  • 示例:用GAN生成新的宠物小精灵(pokemon)

  • 参考文献

KL散度和JS散度

在开始介绍GAN之前,我们先来回顾这两个描述概率分布差异的概念:KL散度和JS散度。

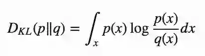
KL(Kullback-Leibler)散度

KL散度又称相对熵、信息增益,它衡量的是概率分布P和概率分布Q之间的差异。

p(x) == q(x)时,DKL达到最小值,也就是0。

从上述公式可以看出,KL散度是不对称的。当p(x)接近0,而q(x)一定不是0时,这个公式会“忽视”q(x)的作用。这导致的结果就是如果概率分布PQ是两个同等重要的概率分布,KL散度可能会在计算相似性时出现错误。

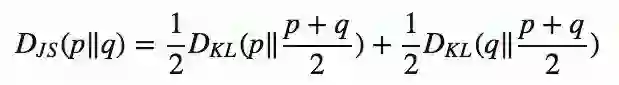
JS( Jensen–Shannon)散度

JS散度是另一种衡量概率分布相似度的方式,它基于KL散度的变体,解决了不对称的问题,而且更加平滑。它的计算结果在0—1之间:如果p(x)q(x)完全相同,那么DJS等于0;如果完全不同,那就等于1。

图1 给定两个高斯分布,其中p的mean=0,std=1;q的mean=1,std=1。m=(p+q)/2。可以发现DKL是不对称的,DJS是对称的

注:当然JS散度也存在缺陷,就是当P和Q距离过远时,DJS等于0,是个常数,这时梯度消失了。

一些人(Huszar,2015)认为,GAN取得巨大成功的原因之一是把损失函数从KL散度换成了JS散度。对于这个观点,我们会在下一节讨论。

生成对抗网络(GAN)

GAN由两个模型组成:

  • 判别器D。这个模型负责预测样本来自真实数据集的概率,它在真实数据上训练,学习真实的数据分布,因此能指出生成样本的不足。从某种意义上来说,它像一个批评家;

  • 生成器G。这个模型负责将输入的可变噪声信号z合成为新的样本(z包含潜在的真实数据分布),然后输入判别器做判断。它的目标是基于判别器的输出捕捉真实数据分布,使自己生成的样本尽可能逼真。换言之,就是让判别器D输出高概率。

图2 GAN的架构

这两个模型在训练过程中互相竞争:生成器G一直在努力“欺骗”判别器D,判别器则在不断提升自我,避免被骗。正是这种有趣的零和博弈激发了GAN的潜力。

我们设:

符号 含义
pz 噪声数据z(输入)的分布 通常是均一的
pg 生成器中数据x的分布 -
pr 真实样本x的分布 -

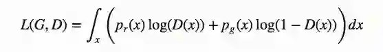
一方面,我们希望输入真实数据后,判别器D输出的概率尽可能地大,即𝔼x∼pr(x)[logD(x)]最大;同时,输入生成样本G(z),z∼pz(z)后,判别器的𝔼z∼pz(z)[log(1−D(G(z)))]能最大,也就是D(G(z))接近0。

另一方面,我们也希望生成器生成的假样本能使判别器输出高概率,即D𝔼z∼pz(z)[log(1−D(G(z)))]最小化。

当把这些想法综合到一起,我们就可以发现,其实生成器G和判别器D构成了极大极小博弈,从数学角度看,就是我们要优化这个损失函数:

在梯度下降过程中,(𝔼x∼pr(x)[logD(x)]对G没有任何影响。

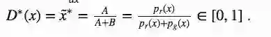
D的最佳值是多少?

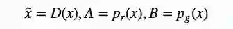
现在我们有了一个明确的损失函数。我们先来研究一下D的最佳值:

因为我们要求L(G,D)极大情况下D(x)的最佳值,我们先设定义:

之后是求导(因为x可对所有可能的值采样,所以可以忽略积分):

df(x̃)/dx̃=0,我们就能得到D的最佳值:

一旦生成器被训练到最佳状态,pg就会无限接近pr,当pg=pr,D∗(x)的值就是1/2。

什么是全局最优?

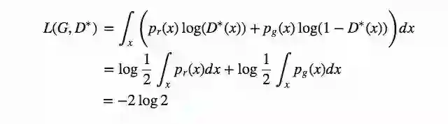
当生成器和判别器都被训练到最佳状态时,pg=pr,D∗(x)=1/2,这时我们的损失函数就变成:

损失函数代表什么?

正如我们在第一节中介绍的,pg和pr之间的JS散度可以这么算:

也就是:

从本质上来说,当生成器最优时,GAN的损失函数会通过JS散度来量化生成数据分布pg和实际样本分布pr之间的相似性。能复现真实样本数据分布的最佳生成器G∗可以使L(G∗,D∗)=−2log2的值最小。

GAN的其他变体:在不同情况下GAN有许多变体,或者设计用于不同的任务。例如,对于半监督学习任务,一个想法是更新判别器以输出实际类别标签:1,...,K-11,...,K-1以及一个假类别标签KK。生成器模型的目标则是欺骗鉴别器,让它输出小于KK的分类标签。

(未完待续……)

登录查看更多
28

相关内容

最新《生成式对抗网络》简介,25页ppt
专知会员服务
176+阅读 · 2020年6月28日
专知会员服务
109+阅读 · 2020年5月21日
图神经网络表达能力的研究综述,41页pdf
专知会员服务
173+阅读 · 2020年3月10日
生成式对抗网络GAN异常检测
专知会员服务
118+阅读 · 2019年10月13日
提高GAN训练稳定性的9大tricks
人工智能前沿讲习班
13+阅读 · 2019年3月19日
万字综述之生成对抗网络(GAN)
PaperWeekly
43+阅读 · 2019年3月19日
一文详解生成对抗网络(GAN)的原理,通俗易懂
人工智能头条
6+阅读 · 2018年5月6日
从零学习:生成敌对网络(GAN)入门指南
论智
8+阅读 · 2017年12月23日
【原理】学懂GAN的数学原理,让它不再神秘
GAN生成式对抗网络
3+阅读 · 2017年11月26日
【干货】强化学习在生成对抗网络文本生成中扮演的角色(下)
GAN的数学原理
算法与数学之美
16+阅读 · 2017年9月2日
【原理】GAN的数学原理
GAN生成式对抗网络
8+阅读 · 2017年8月30日
深入浅出:GAN原理与应用入门介绍
深度学习世界
6+阅读 · 2017年8月23日
GAN猫的脸
机械鸡
11+阅读 · 2017年7月8日
Seeing What a GAN Cannot Generate
Arxiv
8+阅读 · 2019年10月24日
Arxiv
8+阅读 · 2019年2月15日
A Probe into Understanding GAN and VAE models
Arxiv
9+阅读 · 2018年12月13日
Arxiv
5+阅读 · 2018年5月1日
Arxiv
11+阅读 · 2018年3月23日
Arxiv
7+阅读 · 2018年3月12日
Arxiv
12+阅读 · 2018年1月12日
VIP会员
相关资讯
提高GAN训练稳定性的9大tricks
人工智能前沿讲习班
13+阅读 · 2019年3月19日
万字综述之生成对抗网络(GAN)
PaperWeekly
43+阅读 · 2019年3月19日
一文详解生成对抗网络(GAN)的原理,通俗易懂
人工智能头条
6+阅读 · 2018年5月6日
从零学习:生成敌对网络(GAN)入门指南
论智
8+阅读 · 2017年12月23日
【原理】学懂GAN的数学原理,让它不再神秘
GAN生成式对抗网络
3+阅读 · 2017年11月26日
【干货】强化学习在生成对抗网络文本生成中扮演的角色(下)
GAN的数学原理
算法与数学之美
16+阅读 · 2017年9月2日
【原理】GAN的数学原理
GAN生成式对抗网络
8+阅读 · 2017年8月30日
深入浅出:GAN原理与应用入门介绍
深度学习世界
6+阅读 · 2017年8月23日
GAN猫的脸
机械鸡
11+阅读 · 2017年7月8日
相关论文
Seeing What a GAN Cannot Generate
Arxiv
8+阅读 · 2019年10月24日
Arxiv
8+阅读 · 2019年2月15日
A Probe into Understanding GAN and VAE models
Arxiv
9+阅读 · 2018年12月13日
Arxiv
5+阅读 · 2018年5月1日
Arxiv
11+阅读 · 2018年3月23日
Arxiv
7+阅读 · 2018年3月12日
Arxiv
12+阅读 · 2018年1月12日
Top
微信扫码咨询专知VIP会员