SIGIR2021 | 基于排序的推荐系统度量优化新视角

2021 年 12 月 6 日 机器学习与推荐算法
嘿,记得给“机器学习与推荐算法”添加星标

本文分享一篇SIGIR’21的推荐系统文章:基于排序的推荐系统度量优化新视角。

论文下载地址:https://arxiv.org/pdf/2106.02545.pdf

动机

直接优化信息检索常用指标已经成为设计基于排序的推荐系统的一种有前景的方式。现有的大多数方法认为直接优化评测所用指标会得到更好的性能。但是,另一部分研究认为这样一种假设存在问题。因此,本文中,作者针对优化指标的选取对于基于排序的推荐系统的性能影响进行研究。分别在pairwise和listwise learning to rank (LTR)场景下进行了大量的实验。通过四个数据集上的实验结果得到了以下观点:

  • 使用同样的指标进行优化和评测基于排序的推荐系统并不总能得到最好的推荐性能。

  • 基于RBP损失相较于其他评测指标总能获得最好的性能,RBP有望成为LTR推荐场景下可替代的损失。

  • 基于RBP的listwise优化对于活跃用户性能提升大于非活跃用户。

方法

预备知识

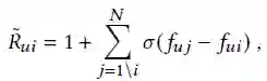
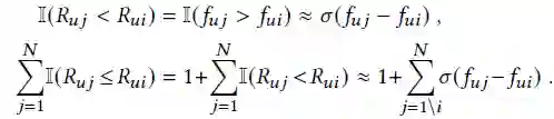
假设用户数目为 ,物品数目为 交互矩阵为 (本文考虑二元交互数据),任意一个用户 都有 个交互过的物品。本文采用矩阵分解模型作为推荐模型,其中用户和物品分别被隐因子矩阵 表示,其中 是隐因子维度。利用用户和物品的隐向量得到预测矩阵 ,其中 代表用户 对物品 的预测分数。因此排序位置 为指示函数。

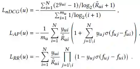
度量方式

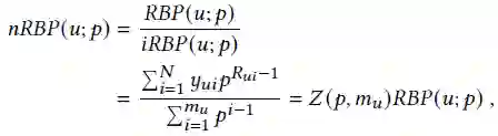
在详细描述算法之前,介绍信息检索中常用的四个评测指标:RR, nDCG, RBP, AP,定义如下:根据RBP的定义, 是一个常数, 越大说明用户更愿意挖掘排序列表中排名靠后的物品,反之,用户仅关注排名靠前的物品。为了与其他指标的范围对齐,作者对RBP进行归一化:其中 为归一化因子。

成对度量优化

对于pairwise指标优化方式,作者选择LambdaRank [1] 作为排序模型。对于RR, AP和nDCG的 优化,参考方法 [2],而使用LambdaRank优化RBP的方法之前从未有过,因此本文中详细介绍。

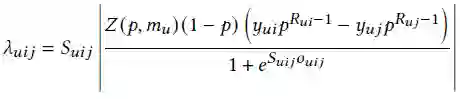
给定一个用户 优化一个物品对 的损失为:其中 等于1或-1取决于真实标签 是否比 大, 表示两个物品的预测分数之间的差值。损失对于 的偏导数为:为了奖励正样本惩罚负样本, 梯度定义为:

列表度量优化

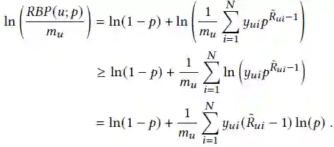
pairwise方法可以轻松的避免优化指标的不平滑问题,但是在listwise方法中这一问题仍未被解决。能够成功解决这一问题十分重要是因为优化过程更加直观直接。评测指标难以优化的直接因素是因为指示函数的存在,为了统一对比,作者利用sigmoid函数替代指示函数。因此,RR,nDCG,AP,RBP改写为:由于对数函数的单调性,再根据Jensen不等式得到上述的下界:由于 , 为负数,因此极大化上述公式等价于极小化 。最后得到归一化的nRBP损失为:

实验

数据集

度量指标

𝑅𝑅, 𝐴𝑃, 𝑛𝐷𝐶𝐺 and 𝑅𝐵𝑃 with 𝑝 equal to 0.8, 0.9 and 0.95

结论

  • Should we Optimize the Metric Used to Evaluate?根据上图结果可看出:1)当优化RR时性能较差,即便评测指标使用的也是RR,2)在pairwise的情况下,优化p=0.95的nRBP性能由于p=0.8/0.9的性能,3)优化nDCG,AP,nRBP性能差不多。

  • Is 𝑹𝑩𝑷 More Effective as Optimization Metric than Others?通过上图显示,最好的pairwise和listwise性能都是在优化nRBP时得到。说明nRBP作为优化指标是有效的。为了能够综合对比各个损失对于性能的影响,作者对比其Estimated Marginal Means (EMM)如上图所示:优化nRBP.95在六个评测指标上都实现了最好的性能,说明优化nRBP的优势。

另外,为了进一步探索在不同数据集上性能增益的稳定性,结果如下图所示:实验结果说明:1)在pairwise方法上,nRBP.95除了Epinions数据集,在埼玉数据集上都获得了最佳性能,在Epinions数据集上与nDCG和AP性能无异,2)在listwise方法上,在CiteULike数据集上,nRBP性能远远优化nDCG和AP,但是在其他数据集上差不多。

  • When to Deploy 𝑹𝑩𝑷 for Recommendation? 1)在pairwise方法上,当有大量的活跃用户可用于训练时,优化nDCG和AP比优化nRBP.95更有优势,2)在listwise方法上,相比于nDCG和AP,在CiteULike数据集上优化nRBP.95使得所有用户都受益,在其他三个数据集上,对于非活跃用户的提升相差无几。

总结

作者报道了一项广泛的实验研究的结果,旨在获得有关此实践背后基础力量的新见解,并了解更多关于优化哪些指标以最大限度地提高推荐性能的信息。为此,作者扩展了通常用于定义 LTR 方法的目标函数的指标范围,并专注于 𝑅𝐵𝑃 作为其他指标(如 𝐴𝑃、𝑛𝐷𝐶𝐺 和 𝑅𝑅)的有前途的替代方案。

参考文献

[1] Christopher J. C. Burges, Robert Ragno, and Quoc Viet Le. 2006. Learning to Rank with Nonsmooth Cost Functions. In NIPS. MIT Press, 193–200.

[2] Pinar Donmez, Krysta M. Svore, and Christopher J. C. Burges. 2009. On the local optimality of LambdaRank. In SIGIR. ACM, 460–467.

推荐阅读

KDD2020最佳论文: 关于个性化排序任务评价指标的大讨论
推荐系统中排序学习的三种设计思路
RecSys2020 | 基于自适应排序学习的个性化推荐方法
SIGIR2021 | 图推荐系统论文合集
喜欢的话点个在看吧👇
登录查看更多
1

相关内容

推荐系统,是指根据用户的习惯、偏好或兴趣,从不断到来的大规模信息中识别满足用户兴趣的信息的过程。推荐推荐任务中的信息往往称为物品(Item)。根据具体应用背景的不同,这些物品可以是新闻、电影、音乐、广告、商品等各种对象。推荐系统利用电子商务网站向客户提供商品信息和建议,帮助用户决定应该购买什么产品,模拟销售人员帮助客户完成购买过程。个性化推荐是根据用户的兴趣特点和购买行为,向用户推荐用户感兴趣的信息和商品。随着电子商务规模的不断扩大,商品个数和种类快速增长,顾客需要花费大量的时间才能找到自己想买的商品。这种浏览大量无关的信息和产品过程无疑会使淹没在信息过载问题中的消费者不断流失。为了解决这些问题,个性化推荐系统应运而生。个性化推荐系统是建立在海量数据挖掘基础上的一种高级商务智能平台,以帮助电子商务网站为其顾客购物提供完全个性化的决策支持和信息服务。

知识荟萃

精品入门和进阶教程、论文和代码整理等

更多

查看相关VIP内容、论文、资讯等
专知会员服务
57+阅读 · 2021年8月12日
专知会员服务
49+阅读 · 2021年6月26日
专知会员服务
27+阅读 · 2021年4月22日
【WWW2021】场矩阵分解机推荐系统
专知会员服务
33+阅读 · 2021年2月27日
近期必读的六篇 ICLR 2021【推荐系统】相关投稿论文
专知会员服务
47+阅读 · 2020年10月13日
近期必读的6篇顶会WWW2020【推荐系统】相关论文-Part3
专知会员服务
58+阅读 · 2020年4月14日
专知会员服务
88+阅读 · 2020年1月20日
最全推荐系统传统算法合集
机器学习与推荐算法
0+阅读 · 2022年1月24日
ICML'21:剑指开放世界的推荐系统
图与推荐
2+阅读 · 2021年12月30日
基于多目标优化的推荐系统综述
机器学习与推荐算法
6+阅读 · 2021年12月27日
一文总结多样化推荐研究趋势
机器学习与推荐算法
0+阅读 · 2021年11月17日
基于知识图谱的推荐系统总结
机器学习与推荐算法
4+阅读 · 2021年11月11日
深度 | 推荐系统评估
AI100
24+阅读 · 2019年3月16日
【推荐系统】详解基于内容的推荐算法
产业智能官
23+阅读 · 2018年1月11日
推荐系统经典技术:矩阵分解
机器学习研究会
10+阅读 · 2017年10月10日
国家自然科学基金
5+阅读 · 2013年12月31日
国家自然科学基金
0+阅读 · 2013年12月31日
国家自然科学基金
2+阅读 · 2012年12月31日
国家自然科学基金
2+阅读 · 2012年12月31日
国家自然科学基金
0+阅读 · 2012年12月31日
国家自然科学基金
2+阅读 · 2012年12月31日
国家自然科学基金
4+阅读 · 2012年12月31日
国家自然科学基金
1+阅读 · 2008年12月31日
Arxiv
1+阅读 · 2022年4月19日
Accurate ADMET Prediction with XGBoost
Arxiv
0+阅读 · 2022年4月15日
VIP会员
相关VIP内容
专知会员服务
57+阅读 · 2021年8月12日
专知会员服务
49+阅读 · 2021年6月26日
专知会员服务
27+阅读 · 2021年4月22日
【WWW2021】场矩阵分解机推荐系统
专知会员服务
33+阅读 · 2021年2月27日
近期必读的六篇 ICLR 2021【推荐系统】相关投稿论文
专知会员服务
47+阅读 · 2020年10月13日
近期必读的6篇顶会WWW2020【推荐系统】相关论文-Part3
专知会员服务
58+阅读 · 2020年4月14日
专知会员服务
88+阅读 · 2020年1月20日
相关资讯
最全推荐系统传统算法合集
机器学习与推荐算法
0+阅读 · 2022年1月24日
ICML'21:剑指开放世界的推荐系统
图与推荐
2+阅读 · 2021年12月30日
基于多目标优化的推荐系统综述
机器学习与推荐算法
6+阅读 · 2021年12月27日
一文总结多样化推荐研究趋势
机器学习与推荐算法
0+阅读 · 2021年11月17日
基于知识图谱的推荐系统总结
机器学习与推荐算法
4+阅读 · 2021年11月11日
深度 | 推荐系统评估
AI100
24+阅读 · 2019年3月16日
【推荐系统】详解基于内容的推荐算法
产业智能官
23+阅读 · 2018年1月11日
推荐系统经典技术:矩阵分解
机器学习研究会
10+阅读 · 2017年10月10日
相关基金
国家自然科学基金
5+阅读 · 2013年12月31日
国家自然科学基金
0+阅读 · 2013年12月31日
国家自然科学基金
2+阅读 · 2012年12月31日
国家自然科学基金
2+阅读 · 2012年12月31日
国家自然科学基金
0+阅读 · 2012年12月31日
国家自然科学基金
2+阅读 · 2012年12月31日
国家自然科学基金
4+阅读 · 2012年12月31日
国家自然科学基金
1+阅读 · 2008年12月31日
Top
微信扫码咨询专知VIP会员