OSDI'21 | P3: Distributed Deep Graph Learning at Scale

2021 年 9 月 10 日 图与推荐

最近GNN真的一个炒得火热的topic,无论是算法还是系统。OSDI 21更是一口气接收了四篇GNN和GE相关的论文。正好自己最近也在做这个方向,挑两篇出来精读一下,跟大家交流一下。

https://www.usenix.org/system/files/osdi21-gandhi.pdf

微软做的一篇关于分布式GNN training的work。重点也是关注在大规模分布式的GNN训练下,如何将最重的第一层的计算分摊在所有机器上,从而隐藏掉大量的机器由于feature网络通信带来的性能下降。因为GPU的利用率下降的主要原因也在于mini-batch下网络通信成为瓶颈,后续训练数据不能及时的到GPU进行计算,所以这种方式也可以自然的提升GPU的使用率。

Background: GNN训练不同于传统DNN网络的的一个关键点是: DNN训练数据之间都是独立的,而图结构则是呈现一定的关联性。而且,对于图上的顶点和/或边,一般也都会带有一些高维的feature。一个K层的GNN网络,对于每个节点,都需要1-hop到k-hop的邻居构成该节点的computation graph。所以一般会使用neighborhood sampling来进一步降低整个computation graph的大小,来使其能够fit进GPU里。而且对于biliions node and edge级别的图,分布式训练就不可避免了。https://pic1.zhimg.com/80/v2-31e4a8ee85b76b46ce95083460e4e540_1440w.jpg

P3的设计主要基于以下三个观察:

  1. 由于data dependency, 在分布式情况下,生成训练computation graph的网络通信占据了整个训练时间的主要部分。

  2. 一些分布式图处理技术比如partition 对于GNN的训练并没有很大帮助。partition的overhead很大,而且一般都是在关注在相邻结构的信息,对于GNN这种需要关注多hops的workload可能并不适用。

  3. 在GNN训练中,GPU的利用率非常低,80%的时间都因为通信的的瓶颈而被堵塞,导致闲置。

P3系统设计Pipelined Push-Pull:

一. 将图的topology和feature分别存储,并且feature按列切分。

图的topology hash partition没什么好说的,把每个点hash 映射到某台机器,同时存储以该点为起始点的edge。但是这个feature的切分相当于对于每个worker,都有完整所有点的feature的某些维(对于一个F维的feature,假设存在N台worker,那么每台机器存储F/N维feature),不需要关心任何图分布的问题。

二. P3的Push-Pull 机制

1. 对于Computation Graph的生成。

采用正常的pull base的机制。从起始seed node开始,每次向外拉取之间相连的邻居的node,重复K次,构建整体K-hop neighborhood信息,不过,这里只需要拿到对应的图结构信息,并不需要拉取对应的feature,所以整体的网络消耗会非常低。

而为了避免正常的拉取全部feature所带来的巨大的网络消耗,这里采用了hybrid parallelism approach(model parallelism + data parallelism), P3将其命名为 push-pull parallelism

2. 对于Computation Graph的执行。

这里将整个执行流程拆成8步:

  • 将每台机器生产layer 1computation graph推到所有worker上去。

  • 因为将feature均匀分布在不同机器上,这里每台机器拿到layer 1的computation graph以后就可以开始进行前向传播,拿到一个partial activations结果。这里就可以类比于model parallel, 因为每台机器只有F/N维的feature,所以相当于只用到了第一层网络的( F/N * Hidden size )个参数。这里因为没有什么网络消耗,所以GPU的使用率(非空闲时间/总时间)也大大提高。

  • 然后将所有在其他机器的partial activations结果aggregate起来,做一个reduce操作,就得到了对应的第一层输出。

  • 当然可能也存在一些不可聚合的函数,例如ReLU函数。所以这里后面还需要接一个Layer 1D,进一步的转化结果。后面就可以进行正常的data parallelism。

  • 最后经过后面K-1层网络,得到最终的embeding,计算出loss,完成前向传播。

  • 然后到layer 1D之前,完成正常的data parallelism,更新对应的网络参数。

  • 之后push对应的error gradient到所有机器,又切换回model parallelism。

  • 然后进行本地对应的模型参数更新。(本地的部分feature对应的部分模型参数。)

为什么说这样做可以节省网络开销呢?

  1. 相当于减少了一个hop的feature通信。

  2. 只有第一层会这样partially computed and aggregated.

具体的例子:

(我算了一下,它这里的71MB = 188339 * 100 / 1024 / 1024 * 4 相当于把所有点的feature都走网络拉取)。

3. Pipelining

之前的一些设计都是为了减少网络消耗的时间,为了更好的overlap 通信和计算过程,P3采用了类似于PipeDream的pipeline机制。

首先,根据之前的设计,可以将一个mini-batch的计算转化为4个阶段,

  1. Model Parallelism in Forward
  2. Data Parallelism in Forward
  3. Data parallelism in Backward
  4. Model parallelism in Backward

然后,根据4个阶段,同时3个minibatch进行计算(没看过pipedream,不知道知道3是怎么算出来的)。可以让两个forward阶段和两个backward阶段同时进行。然后论文也证明了一下这样同时三个minibatch进行计算不会影响收敛和内存消耗并不大。

4. Cache

感觉这里就不是每台机器F/N的feature了。而且尽可能的放,然后再 replicate。看描述都是针对于host memory的,没有什么GPU cache的操作。(sad

实验:

(大家现在都是在疯狂的搞大图,但是一般都是随机产生feature。)

因为没有拉feature,只有图结构,所以 computation graph非常快,然后因为其他额外的push-pull操作,导致data copy和compute的时间稍稍有些增加。

讨论和思考 :

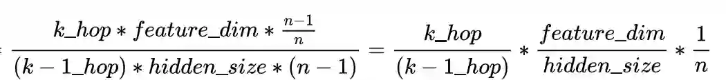
1.整体理解下来,设计还是比较清晰的。核心思路就是通过将第一层的计算分散在所有机器,减少网络开销。对于网络消耗,我又仔细想一想,整理了一个公式。n为集群的规模。(理想情况,应该是忽略了一些细节。)

首先第一项就是看 ,第k层邻居数量和第k-1层邻居的数量,所以图的density和fanout的参数设置也可能对于性能的提升也有一定的影响,如果图比较稀疏或者对于深层的节点fanout比较小,那可能性能提升的会变少。第二项  就是5.10讨论的hidden size的问题了。但是根据RoC的观点,实际上layer和hidden_size的增加应该是会让模型性能进一步提升的。所以,这个缺点感觉还挺值得好好思考一下。第三项就是集群的规模。因为P3其实不论每台机器分到多少feature,由于model parallelism,所以要传输的数据大小是不变的,这样就导致,如果集群数量提升,那么增加的网络消耗是线性的,但是论文实验并没有显示出来(甚至throughput还是线性增长),不过论文中还是谈及了,良心。(还是 n 从2 到 4 变化不太够)

2.整体GPU使用率提升了,但是利用率看起来还是不太够。这个方向可能还是有很大的提升空间。

  1. 以及我还是对它觉得graph partition不行这种观点不太赞同。


登录查看更多
0

相关内容

第14届USENIX操作系统设计与实现研讨会旨在展示计算机系统方面的创新性、令人兴奋的研究。OSDI将来自学术和工业背景的专业人士聚集在一个主要论坛上,讨论系统软件的设计、实现和含义。OSDI研讨会强调创新研究以及在系统设计和实现方面的量化或有洞察力的经验。官网链接:https://www.usenix.org/
【图与几何深度学习】Graph and geometric deep learning,49页ppt
Python分布式计算,171页pdf,Distributed Computing with Python
专知会员服务
108+阅读 · 2020年5月3日
【大规模数据系统,552页ppt】Large-scale Data Systems
专知会员服务
61+阅读 · 2019年12月21日
论文笔记:WSDM 2021 GraphSMOTE
图与推荐
1+阅读 · 2021年12月17日
Arxiv'21 | Graph Federated Learning
图与推荐
0+阅读 · 2021年11月17日
NeuralPS'20 | Graph Meta Learning via Local Subgraphs
图与推荐
3+阅读 · 2021年10月29日
【论文笔记】Graph U-Nets
专知
81+阅读 · 2019年11月25日
GraphSAGE: GCN落地必读论文
AI100
29+阅读 · 2019年8月15日
Github热门图深度学习(GraphDL)源码与框架
新智元
21+阅读 · 2019年3月19日
国家自然科学基金
6+阅读 · 2015年12月31日
国家自然科学基金
4+阅读 · 2015年12月31日
国家自然科学基金
0+阅读 · 2013年12月31日
国家自然科学基金
0+阅读 · 2012年12月31日
国家自然科学基金
0+阅读 · 2012年12月31日
国家自然科学基金
0+阅读 · 2012年12月31日
国家自然科学基金
0+阅读 · 2012年12月31日
国家自然科学基金
0+阅读 · 2012年12月31日
国家自然科学基金
0+阅读 · 2011年12月31日
Arxiv
67+阅读 · 2022年4月13日
Arxiv
23+阅读 · 2022年2月24日
Arxiv
19+阅读 · 2020年7月13日
Arxiv
35+阅读 · 2020年1月2日
Arxiv
45+阅读 · 2019年12月20日
Optimization for deep learning: theory and algorithms
Arxiv
106+阅读 · 2019年12月19日
Arxiv
53+阅读 · 2018年12月11日
VIP会员
相关VIP内容
【图与几何深度学习】Graph and geometric deep learning,49页ppt
Python分布式计算,171页pdf,Distributed Computing with Python
专知会员服务
108+阅读 · 2020年5月3日
【大规模数据系统,552页ppt】Large-scale Data Systems
专知会员服务
61+阅读 · 2019年12月21日
相关资讯
论文笔记:WSDM 2021 GraphSMOTE
图与推荐
1+阅读 · 2021年12月17日
Arxiv'21 | Graph Federated Learning
图与推荐
0+阅读 · 2021年11月17日
NeuralPS'20 | Graph Meta Learning via Local Subgraphs
图与推荐
3+阅读 · 2021年10月29日
【论文笔记】Graph U-Nets
专知
81+阅读 · 2019年11月25日
GraphSAGE: GCN落地必读论文
AI100
29+阅读 · 2019年8月15日
Github热门图深度学习(GraphDL)源码与框架
新智元
21+阅读 · 2019年3月19日
相关基金
国家自然科学基金
6+阅读 · 2015年12月31日
国家自然科学基金
4+阅读 · 2015年12月31日
国家自然科学基金
0+阅读 · 2013年12月31日
国家自然科学基金
0+阅读 · 2012年12月31日
国家自然科学基金
0+阅读 · 2012年12月31日
国家自然科学基金
0+阅读 · 2012年12月31日
国家自然科学基金
0+阅读 · 2012年12月31日
国家自然科学基金
0+阅读 · 2012年12月31日
国家自然科学基金
0+阅读 · 2011年12月31日
相关论文
Arxiv
67+阅读 · 2022年4月13日
Arxiv
23+阅读 · 2022年2月24日
Arxiv
19+阅读 · 2020年7月13日
Arxiv
35+阅读 · 2020年1月2日
Arxiv
45+阅读 · 2019年12月20日
Optimization for deep learning: theory and algorithms
Arxiv
106+阅读 · 2019年12月19日
Arxiv
53+阅读 · 2018年12月11日
Top
微信扫码咨询专知VIP会员