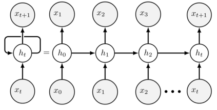
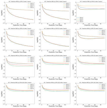
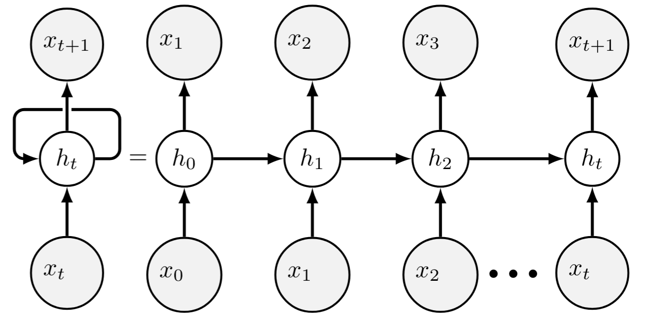
Unlike traditional time series, the action sequences of human decision making usually involve many cognitive processes such as beliefs, desires, intentions, and theory of mind, i.e., what others are thinking. This makes predicting human decision-making challenging to be treated agnostically to the underlying psychological mechanisms. We propose here to use a recurrent neural network architecture based on long short-term memory networks (LSTM) to predict the time series of the actions taken by human subjects engaged in gaming activity, the first application of such methods in this research domain. In this study, we collate the human data from 8 published literature of the Iterated Prisoner's Dilemma comprising 168,386 individual decisions and post-process them into 8,257 behavioral trajectories of 9 actions each for both players. Similarly, we collate 617 trajectories of 95 actions from 10 different published studies of Iowa Gambling Task experiments with healthy human subjects. We train our prediction networks on the behavioral data and demonstrate a clear advantage over the state-of-the-art methods in predicting human decision-making trajectories in both the single-agent scenario of the Iowa Gambling Task and the multi-agent scenario of the Iterated Prisoner's Dilemma. Moreover, we observe that the weights of the LSTM networks modeling the top performers tend to have a wider distribution compared to poor performers, as well as a larger bias, which suggest possible interpretations for the distribution of strategies adopted by each group.


翻译:与传统的时间序列不同,人类决策的动作序列通常涉及许多认知过程,如信仰、愿望、意图和思想理论,即其他人的想法。这样可以预测人类决策有挑战性,需要对其内在心理机制进行敏锐处理。我们在此建议使用基于长期短期记忆网络(LSTM)的经常性神经网络结构,以预测参与游戏活动的人类主体所采取行动的时间序列,这是本研究领域首次应用此类方法。在这项研究中,我们从循环囚犯的8种出版文献中收集了人类数据,这些文献包括168,386项个别决定和后处理,它们成为8,257个行为轨迹,每个参与者都有9个动作。同样,我们整理了来自Iowa Gambling任务10项不同出版的研究的95个动作轨迹,这些实验涉及健康的人类主题。我们培训我们的预测网络掌握了行为数据,并展示了在预测人类决策网络的更大规模分析中采用的最新方法的优势,其中每个参与者都展示了我们可能执行的实验室模型,其中的赌情图示了我们可能执行的赌场图的多式阵列。

0
下载
关闭预览

相关内容

Networking:IFIP International Conferences on Networking。 Explanation:国际网络会议。 Publisher:IFIP。 SIT: http://dblp.uni-trier.de/db/conf/networking/index.html
Stabilizing Transformers for Reinforcement Learning
专知会员服务
60+阅读 · 2019年10月17日
强化学习最新教程,17页pdf
专知会员服务
182+阅读 · 2019年10月11日
[综述]深度学习下的场景文本检测与识别
专知会员服务
78+阅读 · 2019年10月10日
【SIGGRAPH2019】TensorFlow 2.0深度学习计算机图形学应用
专知会员服务
41+阅读 · 2019年10月9日
ACM MM 2022 Call for Papers
CCF多媒体专委会
5+阅读 · 2022年3月29日
IEEE TII Call For Papers
CCF多媒体专委会
3+阅读 · 2022年3月24日
ACM TOMM Call for Papers
CCF多媒体专委会
2+阅读 · 2022年3月23日
AIART 2022 Call for Papers
CCF多媒体专委会
1+阅读 · 2022年2月13日
【ICIG2021】Latest News & Announcements of the Tutorial
中国图象图形学学会CSIG
3+阅读 · 2021年12月20日
【ICIG2021】Latest News & Announcements of the Plenary Talk1
中国图象图形学学会CSIG
0+阅读 · 2021年11月1日
【ICIG2021】Latest News & Announcements of the Industry Talk2
中国图象图形学学会CSIG
0+阅读 · 2021年7月29日
Hierarchically Structured Meta-learning
CreateAMind
27+阅读 · 2019年5月22日
Unsupervised Learning via Meta-Learning
CreateAMind
43+阅读 · 2019年1月3日
A Technical Overview of AI & ML in 2018 & Trends for 2019
待字闺中
18+阅读 · 2018年12月24日
国家自然科学基金
5+阅读 · 2015年12月31日
国家自然科学基金
0+阅读 · 2014年12月31日
国家自然科学基金
0+阅读 · 2013年12月31日
国家自然科学基金
0+阅读 · 2012年12月31日
国家自然科学基金
0+阅读 · 2012年12月31日
国家自然科学基金
0+阅读 · 2009年12月31日
国家自然科学基金
1+阅读 · 2008年12月31日
Arxiv
0+阅读 · 2022年6月8日
Arxiv
13+阅读 · 2021年5月25日
VIP会员
相关资讯
ACM MM 2022 Call for Papers
CCF多媒体专委会
5+阅读 · 2022年3月29日
IEEE TII Call For Papers
CCF多媒体专委会
3+阅读 · 2022年3月24日
ACM TOMM Call for Papers
CCF多媒体专委会
2+阅读 · 2022年3月23日
AIART 2022 Call for Papers
CCF多媒体专委会
1+阅读 · 2022年2月13日
【ICIG2021】Latest News & Announcements of the Tutorial
中国图象图形学学会CSIG
3+阅读 · 2021年12月20日
【ICIG2021】Latest News & Announcements of the Plenary Talk1
中国图象图形学学会CSIG
0+阅读 · 2021年11月1日
【ICIG2021】Latest News & Announcements of the Industry Talk2
中国图象图形学学会CSIG
0+阅读 · 2021年7月29日
Hierarchically Structured Meta-learning
CreateAMind
27+阅读 · 2019年5月22日
Unsupervised Learning via Meta-Learning
CreateAMind
43+阅读 · 2019年1月3日
A Technical Overview of AI & ML in 2018 & Trends for 2019
待字闺中
18+阅读 · 2018年12月24日
相关基金
国家自然科学基金
5+阅读 · 2015年12月31日
国家自然科学基金
0+阅读 · 2014年12月31日
国家自然科学基金
0+阅读 · 2013年12月31日
国家自然科学基金
0+阅读 · 2012年12月31日
国家自然科学基金
0+阅读 · 2012年12月31日
国家自然科学基金
0+阅读 · 2009年12月31日
国家自然科学基金
1+阅读 · 2008年12月31日
Top
微信扫码咨询专知VIP会员