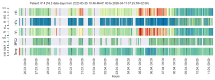
Effective visualizations were evaluated to reveal relevant health patterns from multi-sensor real-time wearable devices that recorded vital signs from patients admitted to hospital with COVID-19. Furthermore, specific challenges associated with wearable health data visualizations, such as fluctuating data quality resulting from compliance problems, time needed to charge the device and technical problems are described. As a primary use case, we examined the detection and communication of relevant health patterns visible in the vital signs acquired by the technology. Customized heat maps and bar charts were used to specifically highlight medically relevant patterns in vital signs. A survey of two medical doctors, one clinical project manager and seven health data science researchers was conducted to evaluate the visualization methods. From a dataset of 84 hospitalized COVID-19 patients, we extracted one typical COVID-19 patient history and based on the visualizations showcased the health history of two noteworthy patients. The visualizations were shown to be effective, simple and intuitive in deducing the health status of patients. For clinical staff who are time-constrained and responsible for numerous patients, such visualization methods can be an effective tool to enable continuous acquisition and monitoring of patients' health statuses even remotely.


翻译:对有效可视化进行了评估,以揭示多传感器或实时可实时磨损装置的相关健康模式,这些装置记录了因COVID-19而住院的病人的生命迹象。此外,对与可磨损的健康数据可视化相关的具体挑战进行了调查,如合规问题导致的数据质量波动、设备充电所需时间和技术问题等。作为一个主要用途案例,我们检查了该技术获得的生命迹象中可见的相关健康模式的检测和通信情况。定制的热图和条形图用于具体突出生命迹象中与医学相关的模式。对两名医生、一名临床项目经理和七名健康数据科学研究人员进行了调查,以评估可视化方法。从84名住院的COVID-19病人的数据集中,我们提取了一个典型的COVID-19病人历史样本,并以显示两个值得注意的病人的健康史的可视化数据为基础。视觉化显示在降低患者健康状况方面是有效、简单和不直觉的。对于受时间限制并负责许多病人的临床工作人员来说,这种可视化方法可以成为使病人能够连续地获得并监测其健康状况的有效工具。

0
下载
关闭预览

相关内容

专知会员服务
124+阅读 · 2020年9月8日
Keras François Chollet 《Deep Learning with Python 》, 386页pdf
专知会员服务
160+阅读 · 2019年10月12日
【哈佛大学商学院课程Fall 2019】机器学习可解释性
专知会员服务
105+阅读 · 2019年10月9日
IEEE ICKG 2022: Call for Papers
机器学习与推荐算法
3+阅读 · 2022年3月30日
IEEE TII Call For Papers
CCF多媒体专委会
3+阅读 · 2022年3月24日
AIART 2022 Call for Papers
CCF多媒体专委会
1+阅读 · 2022年2月13日
【ICIG2021】Latest News & Announcements of the Tutorial
中国图象图形学学会CSIG
3+阅读 · 2021年12月20日
【ICIG2021】Check out the hot new trailer of ICIG2021 Symposium6
中国图象图形学学会CSIG
2+阅读 · 2021年11月12日
【ICIG2021】Check out the hot new trailer of ICIG2021 Symposium5
中国图象图形学学会CSIG
1+阅读 · 2021年11月11日
【ICIG2021】Check out the hot new trailer of ICIG2021 Symposium2
中国图象图形学学会CSIG
0+阅读 · 2021年11月8日
【ICIG2021】Latest News & Announcements of the Plenary Talk1
中国图象图形学学会CSIG
0+阅读 · 2021年11月1日
Unsupervised Learning via Meta-Learning
CreateAMind
43+阅读 · 2019年1月3日
A Technical Overview of AI & ML in 2018 & Trends for 2019
待字闺中
18+阅读 · 2018年12月24日
国家自然科学基金
0+阅读 · 2016年12月31日
国家自然科学基金
0+阅读 · 2015年12月31日
国家自然科学基金
0+阅读 · 2014年12月31日
国家自然科学基金
0+阅读 · 2013年12月31日
国家自然科学基金
0+阅读 · 2012年12月31日
国家自然科学基金
0+阅读 · 2012年12月31日
国家自然科学基金
0+阅读 · 2011年12月31日
国家自然科学基金
1+阅读 · 2009年12月31日
国家自然科学基金
2+阅读 · 2009年12月31日
国家自然科学基金
5+阅读 · 2008年12月31日
Arxiv
0+阅读 · 2022年4月14日
VIP会员
相关VIP内容
专知会员服务
124+阅读 · 2020年9月8日
Keras François Chollet 《Deep Learning with Python 》, 386页pdf
专知会员服务
160+阅读 · 2019年10月12日
【哈佛大学商学院课程Fall 2019】机器学习可解释性
专知会员服务
105+阅读 · 2019年10月9日
相关资讯
IEEE ICKG 2022: Call for Papers
机器学习与推荐算法
3+阅读 · 2022年3月30日
IEEE TII Call For Papers
CCF多媒体专委会
3+阅读 · 2022年3月24日
AIART 2022 Call for Papers
CCF多媒体专委会
1+阅读 · 2022年2月13日
【ICIG2021】Latest News & Announcements of the Tutorial
中国图象图形学学会CSIG
3+阅读 · 2021年12月20日
【ICIG2021】Check out the hot new trailer of ICIG2021 Symposium6
中国图象图形学学会CSIG
2+阅读 · 2021年11月12日
【ICIG2021】Check out the hot new trailer of ICIG2021 Symposium5
中国图象图形学学会CSIG
1+阅读 · 2021年11月11日
【ICIG2021】Check out the hot new trailer of ICIG2021 Symposium2
中国图象图形学学会CSIG
0+阅读 · 2021年11月8日
【ICIG2021】Latest News & Announcements of the Plenary Talk1
中国图象图形学学会CSIG
0+阅读 · 2021年11月1日
Unsupervised Learning via Meta-Learning
CreateAMind
43+阅读 · 2019年1月3日
A Technical Overview of AI & ML in 2018 & Trends for 2019
待字闺中
18+阅读 · 2018年12月24日
相关基金
国家自然科学基金
0+阅读 · 2016年12月31日
国家自然科学基金
0+阅读 · 2015年12月31日
国家自然科学基金
0+阅读 · 2014年12月31日
国家自然科学基金
0+阅读 · 2013年12月31日
国家自然科学基金
0+阅读 · 2012年12月31日
国家自然科学基金
0+阅读 · 2012年12月31日
国家自然科学基金
0+阅读 · 2011年12月31日
国家自然科学基金
1+阅读 · 2009年12月31日
国家自然科学基金
2+阅读 · 2009年12月31日
国家自然科学基金
5+阅读 · 2008年12月31日
Top
微信扫码咨询专知VIP会员