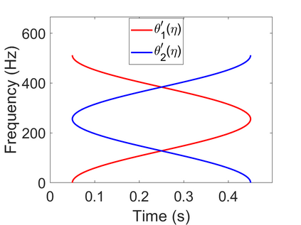
To analyze signals with rapid frequency variations or transient components, the time-reassigned synchrosqueezing transform (TSST) and its variants have been recently proposed. Unlike the traditional synchrosqueezing transform, TSST squeezes the time-frequency (TF) coefficients along the group delay (GD) trajectories rather than the instantaneous frequency trajectories. Although TSST methods perform well in analyzing transient signals, they are fundamentally limited in processing multicomponent signals with intersecting GD curves. This limitation compromises the accuracy of both feature extraction and signal component recovery, thereby significantly reducing the interpretability of time-frequency representations (TFRs). This is particularly problematic in broadband signal processing systems, where the linearity of the phase response is critical and precise measurement of group delay dispersion (GDD) is essential. Motivated by the superior capability of frequency-domain signal modeling in characterizing rapidly frequency-varying signals, this paper proposes a novel three-dimensional time-frequency-group delay dispersion (TF-GDD) representation based on the frequency-domain chirplet transform. A subsequent time-reassigned synchrosqueezing frequency-domain chirplet transform (TSFCT) is introduced to achieve a sharper TF-GDD distribution and more accurate GD estimation. For mode retrieval, a novel frequency-domain group signal separation operation (FGSSO) is proposed.The theoretical contributions include a derivation of the approximation error for the GD and GDD reference functions and an establishment of the error bounds for FGSSO-based mode retrieval. Experimental results demonstrate that the proposed TSFCT and FGSSO effectively estimate GDs and retrieve modes--even for modes with intersecting GD trajectories.


翻译:暂无翻译

0
下载
关闭预览

相关内容

【AAAI2022】面向多标签分类的端到端概率标签特征学习
专知会员服务
32+阅读 · 2022年1月27日
专知会员服务
33+阅读 · 2021年3月7日
【ACL2020】多模态信息抽取,365页ppt
专知会员服务
151+阅读 · 2020年7月6日
【SIGGRAPH2019】TensorFlow 2.0深度学习计算机图形学应用
专知会员服务
41+阅读 · 2019年10月9日
RL解决'BipedalWalkerHardcore-v2' (SOTA)
CreateAMind
31+阅读 · 2019年7月17日
强化学习的Unsupervised Meta-Learning
CreateAMind
18+阅读 · 2019年1月7日
Unsupervised Learning via Meta-Learning
CreateAMind
43+阅读 · 2019年1月3日
meta learning 17年:MAML SNAIL
CreateAMind
11+阅读 · 2019年1月2日
disentangled-representation-papers
CreateAMind
26+阅读 · 2018年9月12日
可解释的CNN
CreateAMind
17+阅读 · 2017年10月5日
国家自然科学基金
2+阅读 · 2015年12月31日
国家自然科学基金
0+阅读 · 2015年12月31日
国家自然科学基金
0+阅读 · 2015年12月31日
国家自然科学基金
0+阅读 · 2015年12月31日
国家自然科学基金
0+阅读 · 2015年12月31日
国家自然科学基金
2+阅读 · 2015年12月31日
国家自然科学基金
0+阅读 · 2014年12月31日
国家自然科学基金
0+阅读 · 2014年12月31日
国家自然科学基金
1+阅读 · 2014年12月31日
国家自然科学基金
0+阅读 · 2014年12月31日
Arxiv
69+阅读 · 2022年9月7日
Arxiv
16+阅读 · 2022年5月17日
A survey on deep hashing for image retrieval
Arxiv
15+阅读 · 2020年6月10日
Arxiv
26+阅读 · 2020年2月21日
Augmentation for small object detection
Arxiv
13+阅读 · 2019年2月19日
VIP会员
相关资讯
RL解决'BipedalWalkerHardcore-v2' (SOTA)
CreateAMind
31+阅读 · 2019年7月17日
强化学习的Unsupervised Meta-Learning
CreateAMind
18+阅读 · 2019年1月7日
Unsupervised Learning via Meta-Learning
CreateAMind
43+阅读 · 2019年1月3日
meta learning 17年:MAML SNAIL
CreateAMind
11+阅读 · 2019年1月2日
disentangled-representation-papers
CreateAMind
26+阅读 · 2018年9月12日
可解释的CNN
CreateAMind
17+阅读 · 2017年10月5日
相关基金
国家自然科学基金
2+阅读 · 2015年12月31日
国家自然科学基金
0+阅读 · 2015年12月31日
国家自然科学基金
0+阅读 · 2015年12月31日
国家自然科学基金
0+阅读 · 2015年12月31日
国家自然科学基金
0+阅读 · 2015年12月31日
国家自然科学基金
2+阅读 · 2015年12月31日
国家自然科学基金
0+阅读 · 2014年12月31日
国家自然科学基金
0+阅读 · 2014年12月31日
国家自然科学基金
1+阅读 · 2014年12月31日
国家自然科学基金
0+阅读 · 2014年12月31日
Top
微信扫码咨询专知VIP会员