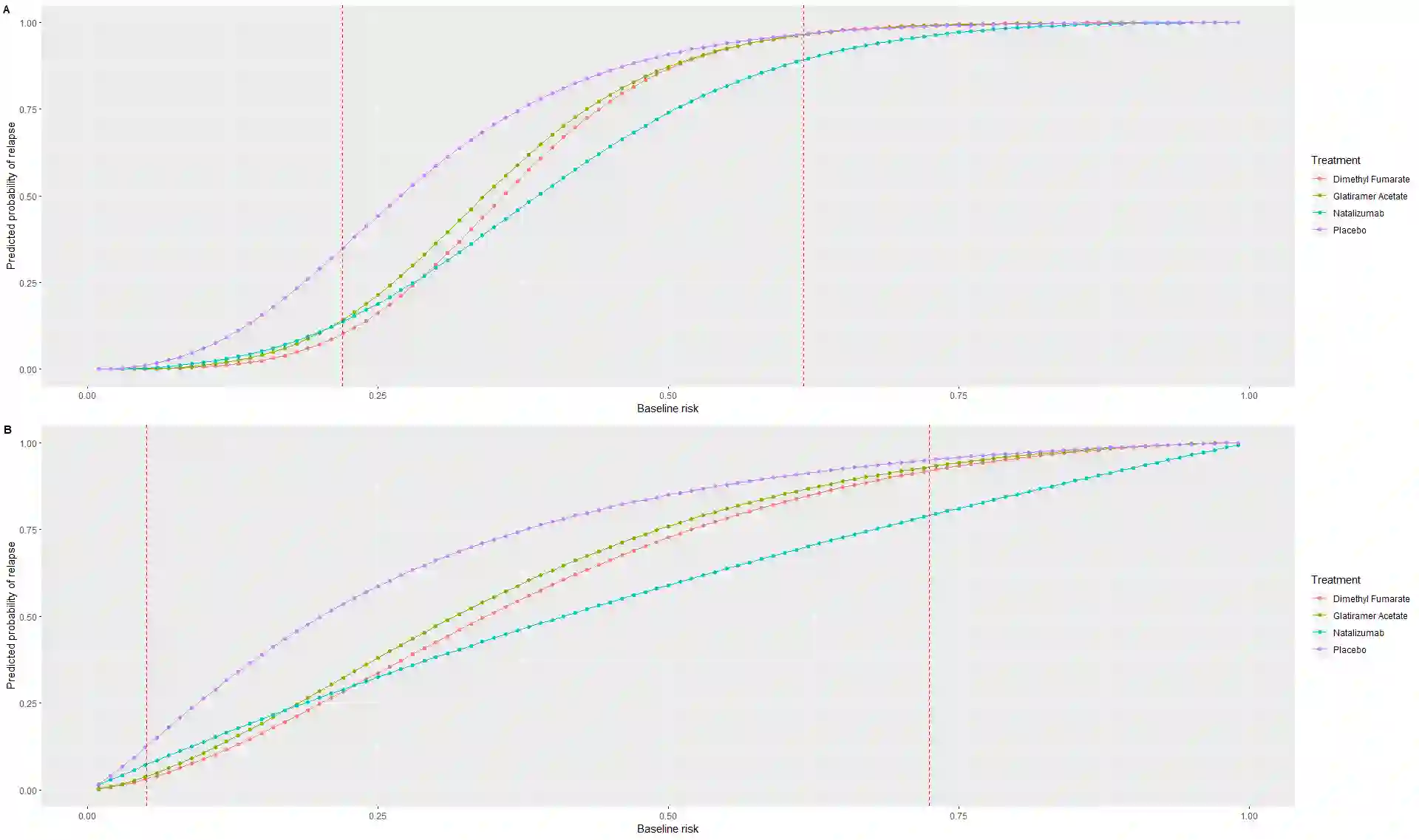
Treatment effects vary across different patients and estimation of this variability is important for clinical decisions. The aim is to develop a model to estimate the benefit of alternative treatment options for individual patients. Hence, we developed a two-stage prediction model for heterogeneous treatment effects, by combining prognosis research and network meta-analysis methods when individual patient data is available. In a first stage, we develop a prognostic model and we predict the baseline risk of the outcome. In the second stage, we use this baseline risk score from the first stage as a single prognostic factor and effect modifier in a network meta-regression model. We apply the approach to a network meta-analysis of three randomized clinical trials comparing the relapse rate in Natalizumab, Glatiramer Acetate and Dimethyl Fumarate including 3590 patients diagnosed with relapsing-remitting multiple sclerosis. We find that the baseline risk score modifies the relative and absolute treatment effects. Several patient characteristics such as age and disability status impact on the baseline risk of relapse, and this in turn moderates the benefit that may be expected for each of the treatments. For high-risk patients, the treatment that minimizes the risk to relapse in two years is Natalizumab, whereas for low-risk patients Dimethyl Fumarate Fumarate might be a better option. Our approach can be easily extended to all outcomes of interest and has the potential to inform a personalised treatment approach.


翻译:不同患者的治疗效果各不相同,估计这种差异性对于临床决策很重要。目的是开发一个模型来估计为个别患者提供替代治疗方案的益处。因此,我们开发了一种用于不同治疗效果的两阶段预测模型,将预测研究和网络元分析方法结合起来,供个别患者提供数据时使用。在第一阶段,我们开发了一个预测模型,并预测结果的基线风险。在第二阶段,我们使用第一阶段的这一基线风险评分作为单一的预测因素,并用于网络元反回归模型中的影响修正器。我们采用这一方法,对Natalizumab、Glatiramer Acetate和Dimet Fumarate的三次随机临床试验进行网络元分析,比较复发率,包括预测研究和网络元分析方法。在第一阶段,我们开发了一个预测模型模型模型模型模型,预测结果的基线评分可以改变相对和绝对的治疗效果。一些病人特征,例如年龄和残疾状况对网络复发基线风险的影响,这反过来可以调节每一次治疗的预期好处。对于每一次治疗的复发率而言,最有可能使每个患者的复发性治疗都处于低风险期,而后期。对于后期的治疗而言,最有可能是低风险期。对低风险期的治疗具有后期。对低风险期进行。对低风险期的治疗的治疗具有两年进行最深期。对低风险率。

0
下载
关闭预览

相关内容

ACM/IEEE第23届模型驱动工程语言和系统国际会议,是模型驱动软件和系统工程的首要会议系列,由ACM-SIGSOFT和IEEE-TCSE支持组织。自1998年以来,模型涵盖了建模的各个方面,从语言和方法到工具和应用程序。模特的参加者来自不同的背景,包括研究人员、学者、工程师和工业专业人士。MODELS 2019是一个论坛,参与者可以围绕建模和模型驱动的软件和系统交流前沿研究成果和创新实践经验。今年的版本将为建模社区提供进一步推进建模基础的机会,并在网络物理系统、嵌入式系统、社会技术系统、云计算、大数据、机器学习、安全、开源等新兴领域提出建模的创新应用以及可持续性。 官网链接:http://www.modelsconference.org/
专知会员服务
86+阅读 · 2020年12月5日
Fariz Darari简明《博弈论Game Theory》介绍,35页ppt
专知会员服务
112+阅读 · 2020年5月15日
【新书】贝叶斯网络进展与新应用,附全书下载
专知会员服务
122+阅读 · 2019年12月9日
Stabilizing Transformers for Reinforcement Learning
专知会员服务
60+阅读 · 2019年10月17日
Hierarchically Structured Meta-learning
CreateAMind
27+阅读 · 2019年5月22日
Transferring Knowledge across Learning Processes
CreateAMind
29+阅读 · 2019年5月18日
已删除
将门创投
3+阅读 · 2019年1月15日
Unsupervised Learning via Meta-Learning
CreateAMind
43+阅读 · 2019年1月3日
meta learning 17年:MAML SNAIL
CreateAMind
11+阅读 · 2019年1月2日
A Technical Overview of AI & ML in 2018 & Trends for 2019
待字闺中
18+阅读 · 2018年12月24日
Reinforcement Learning: An Introduction 2018第二版 500页
CreateAMind
14+阅读 · 2018年4月27日
【学习】Hierarchical Softmax
机器学习研究会
4+阅读 · 2017年8月6日
Auto-Encoding GAN
CreateAMind
7+阅读 · 2017年8月4日
强化学习 cartpole_a3c
CreateAMind
9+阅读 · 2017年7月21日
VIP会员
相关资讯
Hierarchically Structured Meta-learning
CreateAMind
27+阅读 · 2019年5月22日
Transferring Knowledge across Learning Processes
CreateAMind
29+阅读 · 2019年5月18日
已删除
将门创投
3+阅读 · 2019年1月15日
Unsupervised Learning via Meta-Learning
CreateAMind
43+阅读 · 2019年1月3日
meta learning 17年:MAML SNAIL
CreateAMind
11+阅读 · 2019年1月2日
A Technical Overview of AI & ML in 2018 & Trends for 2019
待字闺中
18+阅读 · 2018年12月24日
Reinforcement Learning: An Introduction 2018第二版 500页
CreateAMind
14+阅读 · 2018年4月27日
【学习】Hierarchical Softmax
机器学习研究会
4+阅读 · 2017年8月6日
Auto-Encoding GAN
CreateAMind
7+阅读 · 2017年8月4日
强化学习 cartpole_a3c
CreateAMind
9+阅读 · 2017年7月21日
Top
微信扫码咨询专知VIP会员