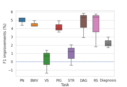
Medical imaging is a cornerstone of therapy and diagnosis in modern medicine. However, the choice of imaging modality for a particular theranostic task typically involves trade-offs between the feasibility of using a particular modality (e.g., short wait times, low cost, fast acquisition, reduced radiation/invasiveness) and the expected performance on a clinical task (e.g., diagnostic accuracy, efficacy of treatment planning and guidance). In this work, we aim to apply the knowledge learned from the less feasible but better-performing (superior) modality to guide the utilization of the more-feasible yet under-performing (inferior) modality and steer it towards improved performance. We focus on the application of deep learning for image-based diagnosis. We develop a light-weight guidance model that leverages the latent representation learned from the superior modality, when training a model that consumes only the inferior modality. We examine the advantages of our method in the context of two clinical applications: multi-task skin lesion classification from clinical and dermoscopic images and brain tumor classification from multi-sequence magnetic resonance imaging (MRI) and histopathology images. For both these scenarios we show a boost in diagnostic performance of the inferior modality without requiring the superior modality. Furthermore, in the case of brain tumor classification, our method outperforms the model trained on the superior modality while producing comparable results to the model that uses both modalities during inference.


翻译:医学成像是现代医学治疗和诊断的基石,然而,选择成像模式以进行某种特定疗养任务,通常需要权衡使用某种特定模式(例如短期等待时间、低成本、快速获取、减少辐射/侵入)的可行性与临床任务预期绩效(例如诊断准确性、治疗规划和指导的功效)之间的权衡。在这项工作中,我们的目标是应用从不太可行但业绩较好的(超强)模式学到的知识,以指导使用更可行但业绩较差的模式(超强)模式,并引导其走向改进性能。我们侧重于应用深层次学习进行基于图像的诊断。我们开发了一种轻量制指导模式,利用从高级模式学到的潜在代表性,培训时只使用低级模式。我们研究了我们的方法在两种临床应用背景下的优势:从临床和德温斯古化的多塔克模型性皮肤损害分类以及从多后磁共振成像(MRI)和脑肿瘤分类,并指导其改进性能。在高端诊断模式中,我们开发了一种不要求高端诊断性模型,在高端图像中采用这两种方法。

0
下载
关闭预览

相关内容

零样本文本分类,Zero-Shot Learning for Text Classification
专知会员服务
97+阅读 · 2020年5月31日
《DeepGCNs: Making GCNs Go as Deep as CNNs》
专知会员服务
31+阅读 · 2019年10月17日
Keras François Chollet 《Deep Learning with Python 》, 386页pdf
专知会员服务
163+阅读 · 2019年10月12日
IEEE ICKG 2022: Call for Papers
机器学习与推荐算法
3+阅读 · 2022年3月30日
AIART 2022 Call for Papers
CCF多媒体专委会
1+阅读 · 2022年2月13日
【ICIG2021】Latest News & Announcements of the Tutorial
中国图象图形学学会CSIG
3+阅读 · 2021年12月20日
【ICIG2021】Check out the hot new trailer of ICIG2021 Symposium7
中国图象图形学学会CSIG
0+阅读 · 2021年11月15日
【ICIG2021】Check out the hot new trailer of ICIG2021 Symposium1
中国图象图形学学会CSIG
0+阅读 · 2021年11月3日
【ICIG2021】Latest News & Announcements of the Plenary Talk1
中国图象图形学学会CSIG
0+阅读 · 2021年11月1日
Hierarchically Structured Meta-learning
CreateAMind
27+阅读 · 2019年5月22日
Transferring Knowledge across Learning Processes
CreateAMind
29+阅读 · 2019年5月18日
Unsupervised Learning via Meta-Learning
CreateAMind
43+阅读 · 2019年1月3日
国家自然科学基金
1+阅读 · 2015年12月31日
国家自然科学基金
2+阅读 · 2015年12月31日
国家自然科学基金
0+阅读 · 2014年12月31日
国家自然科学基金
0+阅读 · 2013年12月31日
国家自然科学基金
0+阅读 · 2013年12月31日
国家自然科学基金
0+阅读 · 2012年12月31日
国家自然科学基金
1+阅读 · 2012年12月31日
国家自然科学基金
0+阅读 · 2011年12月31日
国家自然科学基金
0+阅读 · 2010年12月31日
国家自然科学基金
0+阅读 · 2008年12月31日
VIP会员
相关资讯
IEEE ICKG 2022: Call for Papers
机器学习与推荐算法
3+阅读 · 2022年3月30日
AIART 2022 Call for Papers
CCF多媒体专委会
1+阅读 · 2022年2月13日
【ICIG2021】Latest News & Announcements of the Tutorial
中国图象图形学学会CSIG
3+阅读 · 2021年12月20日
【ICIG2021】Check out the hot new trailer of ICIG2021 Symposium7
中国图象图形学学会CSIG
0+阅读 · 2021年11月15日
【ICIG2021】Check out the hot new trailer of ICIG2021 Symposium1
中国图象图形学学会CSIG
0+阅读 · 2021年11月3日
【ICIG2021】Latest News & Announcements of the Plenary Talk1
中国图象图形学学会CSIG
0+阅读 · 2021年11月1日
Hierarchically Structured Meta-learning
CreateAMind
27+阅读 · 2019年5月22日
Transferring Knowledge across Learning Processes
CreateAMind
29+阅读 · 2019年5月18日
Unsupervised Learning via Meta-Learning
CreateAMind
43+阅读 · 2019年1月3日
相关基金
国家自然科学基金
1+阅读 · 2015年12月31日
国家自然科学基金
2+阅读 · 2015年12月31日
国家自然科学基金
0+阅读 · 2014年12月31日
国家自然科学基金
0+阅读 · 2013年12月31日
国家自然科学基金
0+阅读 · 2013年12月31日
国家自然科学基金
0+阅读 · 2012年12月31日
国家自然科学基金
1+阅读 · 2012年12月31日
国家自然科学基金
0+阅读 · 2011年12月31日
国家自然科学基金
0+阅读 · 2010年12月31日
国家自然科学基金
0+阅读 · 2008年12月31日
Top
微信扫码咨询专知VIP会员