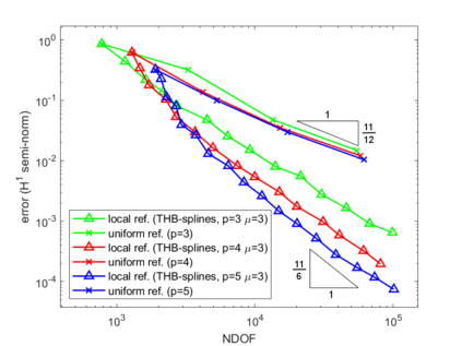
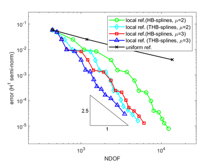
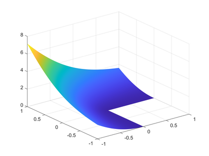
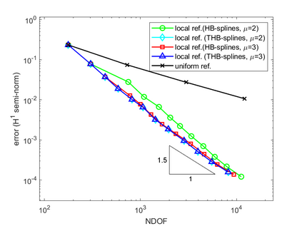
Isogeometric analysis is a powerful paradigm which exploits the high smoothness of splines for the numerical solution of high order partial differential equations. However, the tensor-product structure of standard multivariate B-spline models is not well suited for the representation of complex geometries, and to maintain high continuity on general domains special constructions on multi-patch geometries must be used. In this paper we focus on adaptive isogeometric methods with hierarchical splines, and extend the construction of $C^1$ isogeometric spline spaces on multi-patch planar domains to the hierarchical setting. We introduce a new abstract framework for the definition of hierarchical splines, which replaces the hypothesis of local linear independence for the basis of each level by a weaker assumption. We also develop a refinement algorithm that guarantees that the assumption is fulfilled by $C^1$ splines on certain suitably graded hierarchical multi-patch mesh configurations, and prove that it has linear complexity. The performance of the adaptive method is tested by solving the Poisson and the biharmonic problems.


翻译:Isogoricat 分析是一种强大的范例,它利用高顺序部分差异方程式数字解决方案的高平稳性样板。然而,标准多变B-spline模型的抗拉产品结构并不非常适合代表复杂的几何,而且为了在一般领域保持高度连续性,必须使用多端地理图案的特殊构造。在本文中,我们侧重于使用高等级样板的适应性等离子测量方法,并将多级平板域的1美元等离子测量样板空间的构造扩大到等级设置。我们为等级样板定义引入了新的抽象框架,以较弱的假设取代了每个级别基础的当地线性独立假设。我们还制定了一种精细的算法,保证在某些合适的等级等级等级的多级图案集图案配置上用1美元来完成这一假设,并证明它具有线性复杂性。适应方法的性能通过解决Poisson和双调问题来测试。

0
下载
关闭预览

相关内容

不可错过!《机器学习100讲》课程,UBC Mark Schmidt讲授
专知会员服务
76+阅读 · 2022年6月28日
专知会员服务
26+阅读 · 2021年4月2日
专知会员服务
51+阅读 · 2020年12月14日
因果图,Causal Graphs,52页ppt
专知会员服务
253+阅读 · 2020年4月19日
强化学习最新教程,17页pdf
专知会员服务
182+阅读 · 2019年10月11日
【哈佛大学商学院课程Fall 2019】机器学习可解释性
专知会员服务
105+阅读 · 2019年10月9日
征稿 | International Joint Conference on Knowledge Graphs (IJCKG)
开放知识图谱
2+阅读 · 2022年5月20日
征稿 | CFP:Special Issue of NLP and KG(JCR Q2,IF2.67)
开放知识图谱
1+阅读 · 2022年4月4日
Hierarchically Structured Meta-learning
CreateAMind
27+阅读 · 2019年5月22日
Transferring Knowledge across Learning Processes
CreateAMind
29+阅读 · 2019年5月18日
ICLR2019最佳论文出炉
专知
12+阅读 · 2019年5月6日
强化学习的Unsupervised Meta-Learning
CreateAMind
18+阅读 · 2019年1月7日
Unsupervised Learning via Meta-Learning
CreateAMind
43+阅读 · 2019年1月3日
A Technical Overview of AI & ML in 2018 & Trends for 2019
待字闺中
18+阅读 · 2018年12月24日
disentangled-representation-papers
CreateAMind
26+阅读 · 2018年9月12日
Hierarchical Imitation - Reinforcement Learning
CreateAMind
19+阅读 · 2018年5月25日
国家自然科学基金
0+阅读 · 2017年12月31日
国家自然科学基金
5+阅读 · 2017年12月31日
国家自然科学基金
0+阅读 · 2013年12月31日
国家自然科学基金
0+阅读 · 2011年12月31日
国家自然科学基金
0+阅读 · 2009年12月31日
国家自然科学基金
0+阅读 · 2008年12月31日
国家自然科学基金
0+阅读 · 2008年12月31日
Arxiv
2+阅读 · 2023年3月21日
Arxiv
0+阅读 · 2023年3月21日
Arxiv
0+阅读 · 2023年3月20日
Arxiv
0+阅读 · 2023年3月17日
Arxiv
10+阅读 · 2021年11月3日
Arxiv
13+阅读 · 2019年11月14日
Arxiv
17+阅读 · 2019年3月28日
VIP会员
相关资讯
征稿 | International Joint Conference on Knowledge Graphs (IJCKG)
开放知识图谱
2+阅读 · 2022年5月20日
征稿 | CFP:Special Issue of NLP and KG(JCR Q2,IF2.67)
开放知识图谱
1+阅读 · 2022年4月4日
Hierarchically Structured Meta-learning
CreateAMind
27+阅读 · 2019年5月22日
Transferring Knowledge across Learning Processes
CreateAMind
29+阅读 · 2019年5月18日
ICLR2019最佳论文出炉
专知
12+阅读 · 2019年5月6日
强化学习的Unsupervised Meta-Learning
CreateAMind
18+阅读 · 2019年1月7日
Unsupervised Learning via Meta-Learning
CreateAMind
43+阅读 · 2019年1月3日
A Technical Overview of AI & ML in 2018 & Trends for 2019
待字闺中
18+阅读 · 2018年12月24日
disentangled-representation-papers
CreateAMind
26+阅读 · 2018年9月12日
Hierarchical Imitation - Reinforcement Learning
CreateAMind
19+阅读 · 2018年5月25日
相关基金
国家自然科学基金
0+阅读 · 2017年12月31日
国家自然科学基金
5+阅读 · 2017年12月31日
国家自然科学基金
0+阅读 · 2013年12月31日
国家自然科学基金
0+阅读 · 2011年12月31日
国家自然科学基金
0+阅读 · 2009年12月31日
国家自然科学基金
0+阅读 · 2008年12月31日
国家自然科学基金
0+阅读 · 2008年12月31日
Top
微信扫码咨询专知VIP会员