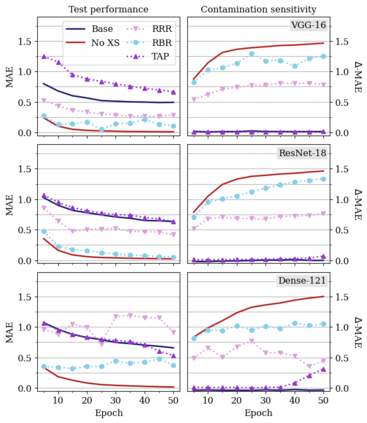
Neural networks (NNs) can learn to rely on spurious signals in the training data, leading to poor generalisation. Recent methods tackle this problem by training NNs with additional ground-truth annotations of such signals. These methods may, however, let spurious signals re-emerge in deep convolutional NNs (CNNs). We propose Targeted Activation Penalty (TAP), a new method tackling the same problem by penalising activations to control the re-emergence of spurious signals in deep CNNs, while also lowering training times and memory usage. In addition, ground-truth annotations can be expensive to obtain. We show that TAP still works well with annotations generated by pre-trained models as effective substitutes of ground-truth annotations. We demonstrate the power of TAP against two state-of-the-art baselines on the MNIST benchmark and on two clinical image datasets, using four different CNN architectures.


翻译:暂无翻译

0
下载
关闭预览

相关内容

ACM应用感知TAP(ACM Transactions on Applied Perception)旨在通过发表有助于统一这些领域研究的高质量论文来增强计算机科学与心理学/感知之间的协同作用。该期刊发表跨学科研究,在跨计算机科学和感知心理学的任何主题领域都具有重大而持久的价值。所有论文都必须包含感知和计算机科学两个部分。主题包括但不限于:视觉感知:计算机图形学,科学/数据/信息可视化,数字成像,计算机视觉,立体和3D显示技术。听觉感知:听觉显示和界面,听觉听觉编码,空间声音,语音合成和识别。触觉:触觉渲染,触觉输入和感知。感觉运动知觉:手势输入,身体运动输入。感官感知:感官整合,多模式渲染和交互。 官网地址:http://dblp.uni-trier.de/db/journals/tap/
Linux导论,Introduction to Linux,96页ppt
专知会员服务
82+阅读 · 2020年7月26日
FlowQA: Grasping Flow in History for Conversational Machine Comprehension
专知会员服务
34+阅读 · 2019年10月18日
Stabilizing Transformers for Reinforcement Learning
专知会员服务
60+阅读 · 2019年10月17日
《DeepGCNs: Making GCNs Go as Deep as CNNs》
专知会员服务
31+阅读 · 2019年10月17日
Keras François Chollet 《Deep Learning with Python 》, 386页pdf
专知会员服务
163+阅读 · 2019年10月12日
【SIGGRAPH2019】TensorFlow 2.0深度学习计算机图形学应用
专知会员服务
41+阅读 · 2019年10月9日
Hierarchically Structured Meta-learning
CreateAMind
27+阅读 · 2019年5月22日
Transferring Knowledge across Learning Processes
CreateAMind
29+阅读 · 2019年5月18日
强化学习的Unsupervised Meta-Learning
CreateAMind
18+阅读 · 2019年1月7日
Unsupervised Learning via Meta-Learning
CreateAMind
43+阅读 · 2019年1月3日
meta learning 17年:MAML SNAIL
CreateAMind
11+阅读 · 2019年1月2日
A Technical Overview of AI & ML in 2018 & Trends for 2019
待字闺中
18+阅读 · 2018年12月24日
STRCF for Visual Object Tracking
统计学习与视觉计算组
15+阅读 · 2018年5月29日
Focal Loss for Dense Object Detection
统计学习与视觉计算组
12+阅读 · 2018年3月15日
IJCAI | Cascade Dynamics Modeling with Attention-based RNN
KingsGarden
13+阅读 · 2017年7月16日
From Softmax to Sparsemax-ICML16(1)
KingsGarden
74+阅读 · 2016年11月26日
国家自然科学基金
13+阅读 · 2017年12月31日
国家自然科学基金
2+阅读 · 2015年12月31日
国家自然科学基金
3+阅读 · 2015年12月31日
国家自然科学基金
46+阅读 · 2015年12月31日
国家自然科学基金
2+阅读 · 2015年12月31日
国家自然科学基金
3+阅读 · 2015年12月31日
国家自然科学基金
0+阅读 · 2014年12月31日
国家自然科学基金
0+阅读 · 2014年12月31日
国家自然科学基金
2+阅读 · 2014年12月31日
国家自然科学基金
0+阅读 · 2014年12月31日
Arxiv
0+阅读 · 2024年2月5日
Arxiv
0+阅读 · 2024年2月5日
Arxiv
0+阅读 · 2024年2月2日
Arxiv
12+阅读 · 2022年11月21日
Knowledge Embedding Based Graph Convolutional Network
Arxiv
24+阅读 · 2021年4月23日
Geometric Graph Convolutional Neural Networks
Arxiv
10+阅读 · 2019年9月11日
Arxiv
12+阅读 · 2019年2月26日
Arxiv
29+阅读 · 2018年4月6日
VIP会员
相关VIP内容
相关资讯
Hierarchically Structured Meta-learning
CreateAMind
27+阅读 · 2019年5月22日
Transferring Knowledge across Learning Processes
CreateAMind
29+阅读 · 2019年5月18日
强化学习的Unsupervised Meta-Learning
CreateAMind
18+阅读 · 2019年1月7日
Unsupervised Learning via Meta-Learning
CreateAMind
43+阅读 · 2019年1月3日
meta learning 17年:MAML SNAIL
CreateAMind
11+阅读 · 2019年1月2日
A Technical Overview of AI & ML in 2018 & Trends for 2019
待字闺中
18+阅读 · 2018年12月24日
STRCF for Visual Object Tracking
统计学习与视觉计算组
15+阅读 · 2018年5月29日
Focal Loss for Dense Object Detection
统计学习与视觉计算组
12+阅读 · 2018年3月15日
IJCAI | Cascade Dynamics Modeling with Attention-based RNN
KingsGarden
13+阅读 · 2017年7月16日
From Softmax to Sparsemax-ICML16(1)
KingsGarden
74+阅读 · 2016年11月26日
相关论文
Arxiv
0+阅读 · 2024年2月5日
Arxiv
0+阅读 · 2024年2月5日
Arxiv
0+阅读 · 2024年2月2日
Arxiv
12+阅读 · 2022年11月21日
Knowledge Embedding Based Graph Convolutional Network
Arxiv
24+阅读 · 2021年4月23日
Geometric Graph Convolutional Neural Networks
Arxiv
10+阅读 · 2019年9月11日
Arxiv
12+阅读 · 2019年2月26日
Arxiv
29+阅读 · 2018年4月6日
相关基金
国家自然科学基金
13+阅读 · 2017年12月31日
国家自然科学基金
2+阅读 · 2015年12月31日
国家自然科学基金
3+阅读 · 2015年12月31日
国家自然科学基金
46+阅读 · 2015年12月31日
国家自然科学基金
2+阅读 · 2015年12月31日
国家自然科学基金
3+阅读 · 2015年12月31日
国家自然科学基金
0+阅读 · 2014年12月31日
国家自然科学基金
0+阅读 · 2014年12月31日
国家自然科学基金
2+阅读 · 2014年12月31日
国家自然科学基金
0+阅读 · 2014年12月31日
Top
微信扫码咨询专知VIP会员