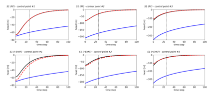
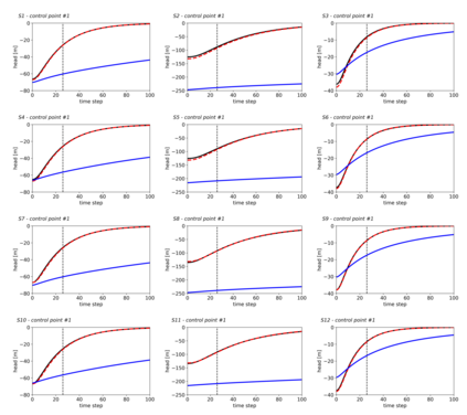
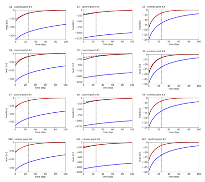
The ensemble random forest filter (ERFF) is presented as an alternative to the ensemble Kalman filter (EnKF) for the purpose of inverse modeling. The EnKF is a data assimilation approach that forecasts and updates parameter estimates sequentially in time as observations are being collected. The updating step is based on the experimental covariances computed from an ensemble of realizations and the updates are given as linear combinations of the differences between observations and forecasted system state values. The ERFF replaces the linear combination in the update step with a non-linear function represented by a random forest. In this way, the non-linear relationships between the parameters to be updated and the observations can be captured and a better update produced. The ERFF is demonstrated for the purpose of log-conductivity identification from piezometric head observations in a number of scenarios with varying degrees of heterogeneity (log-conductivity variances going from 1 up to 6.25 (ln m/d)2), number of realizations in the ensemble (50 or 100), and number of piezometric head observations (18 or 36). In all scenarios, the ERFF works well, being able to reconstruct the log-conductivity spatial heterogeneity while matching the observed piezometric heads at selected control points. For benchmarking purposes the ERFF is compared to the restart EnKF to find that the ERFF is superior to the EnKF for the number of ensemble realizations used (small in typical EnKF applications). Only when the number of realizations grows to 500, the restart EnKF is able to match the performance of the ERFF, albeit at triple the computational cost.


翻译:集合随机森林过滤器(ERFF) 被展示为用于反向建模的全套 Kalman 过滤器(EnKF) 的替代。 EnKF 是一种数据同化方法,在观测收集过程中,在时间上连续预测并更新参数估计值。更新步骤的基础是从一系列实现和更新的组合中计算出来的实验共变变量,作为观测和预测系统状态值差异的线性组合。ERFF 仅将更新步骤中的线性组合替换为由随机森林代表的非线性功能。在这种方式中,要更新的参数与观测结果之间的非线性离线性关系可以被捕获并进行更好的更新。 ERFF 显示该更新步骤是为了在一系列不同程度的情景中,通过对正偏差头观察来进行逻辑-导辨别(从1到6.25(m/d)之间,只有500个线性差值),更新的应用程序中的实现次数(50或100个),以及用于Stencial-F 头观测结果的数值(18或36个),在所观测到所观测到的直径直径直径方的内。

0
下载
关闭预览

相关内容

随机森林 指的是利用多棵树对样本进行训练并预测的一种分类器。

知识荟萃

精品入门和进阶教程、论文和代码整理等

更多

查看相关VIP内容、论文、资讯等
不可错过!《机器学习100讲》课程,UBC Mark Schmidt讲授
专知会员服务
76+阅读 · 2022年6月28日
【UMD开放书】机器学习课程书册,19章227页pdf,带你学习ML
强化学习最新教程,17页pdf
专知会员服务
182+阅读 · 2019年10月11日
2019年机器学习框架回顾
专知会员服务
36+阅读 · 2019年10月11日
机器学习入门的经验与建议
专知会员服务
94+阅读 · 2019年10月10日
【哈佛大学商学院课程Fall 2019】机器学习可解释性
专知会员服务
105+阅读 · 2019年10月9日
ACM TOMM Call for Papers
CCF多媒体专委会
2+阅读 · 2022年3月23日
AIART 2022 Call for Papers
CCF多媒体专委会
1+阅读 · 2022年2月13日
【ICIG2021】Check out the hot new trailer of ICIG2021 Symposium8
中国图象图形学学会CSIG
0+阅读 · 2021年11月16日
【ICIG2021】Check out the hot new trailer of ICIG2021 Symposium1
中国图象图形学学会CSIG
0+阅读 · 2021年11月3日
Hierarchically Structured Meta-learning
CreateAMind
27+阅读 · 2019年5月22日
Transferring Knowledge across Learning Processes
CreateAMind
29+阅读 · 2019年5月18日
Unsupervised Learning via Meta-Learning
CreateAMind
43+阅读 · 2019年1月3日
A Technical Overview of AI & ML in 2018 & Trends for 2019
待字闺中
18+阅读 · 2018年12月24日
【论文】变分推断(Variational inference)的总结
机器学习研究会
39+阅读 · 2017年11月16日
【推荐】RNN/LSTM时序预测
机器学习研究会
25+阅读 · 2017年9月8日
国家自然科学基金
0+阅读 · 2015年12月31日
国家自然科学基金
2+阅读 · 2015年12月31日
国家自然科学基金
0+阅读 · 2013年12月31日
国家自然科学基金
0+阅读 · 2012年12月31日
国家自然科学基金
0+阅读 · 2012年12月31日
国家自然科学基金
0+阅读 · 2011年12月31日
国家自然科学基金
0+阅读 · 2009年12月31日
Arxiv
0+阅读 · 2022年8月27日
VIP会员
相关VIP内容
不可错过!《机器学习100讲》课程,UBC Mark Schmidt讲授
专知会员服务
76+阅读 · 2022年6月28日
【UMD开放书】机器学习课程书册,19章227页pdf,带你学习ML
强化学习最新教程,17页pdf
专知会员服务
182+阅读 · 2019年10月11日
2019年机器学习框架回顾
专知会员服务
36+阅读 · 2019年10月11日
机器学习入门的经验与建议
专知会员服务
94+阅读 · 2019年10月10日
【哈佛大学商学院课程Fall 2019】机器学习可解释性
专知会员服务
105+阅读 · 2019年10月9日
相关资讯
ACM TOMM Call for Papers
CCF多媒体专委会
2+阅读 · 2022年3月23日
AIART 2022 Call for Papers
CCF多媒体专委会
1+阅读 · 2022年2月13日
【ICIG2021】Check out the hot new trailer of ICIG2021 Symposium8
中国图象图形学学会CSIG
0+阅读 · 2021年11月16日
【ICIG2021】Check out the hot new trailer of ICIG2021 Symposium1
中国图象图形学学会CSIG
0+阅读 · 2021年11月3日
Hierarchically Structured Meta-learning
CreateAMind
27+阅读 · 2019年5月22日
Transferring Knowledge across Learning Processes
CreateAMind
29+阅读 · 2019年5月18日
Unsupervised Learning via Meta-Learning
CreateAMind
43+阅读 · 2019年1月3日
A Technical Overview of AI & ML in 2018 & Trends for 2019
待字闺中
18+阅读 · 2018年12月24日
【论文】变分推断(Variational inference)的总结
机器学习研究会
39+阅读 · 2017年11月16日
【推荐】RNN/LSTM时序预测
机器学习研究会
25+阅读 · 2017年9月8日
相关基金
国家自然科学基金
0+阅读 · 2015年12月31日
国家自然科学基金
2+阅读 · 2015年12月31日
国家自然科学基金
0+阅读 · 2013年12月31日
国家自然科学基金
0+阅读 · 2012年12月31日
国家自然科学基金
0+阅读 · 2012年12月31日
国家自然科学基金
0+阅读 · 2011年12月31日
国家自然科学基金
0+阅读 · 2009年12月31日
Top
微信扫码咨询专知VIP会员