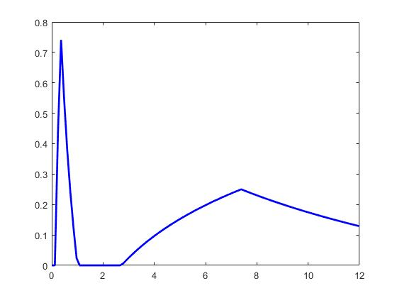
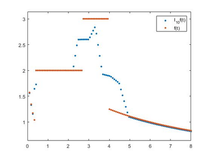
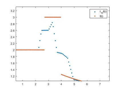
The Kantorovich exponential sampling series at jump discontinuities of the bounded measurable signal f has been analysed. A representation lemma for the series is established and using this lemma certain approximation theorems for discontinuous signals are proved. The degree of approximation in terms of logarithmic modulus of smoothness for the series is studied. Further a linear prediction of signals based on past sample values has been obtained. Some numerical simulations are performed to validate the approximation of discontinuous signals f by the sampling series.


翻译:已经对约束可测量信号 f 的跳跃不连续时Kantorovich指数抽样序列进行了分析,确定了该序列的表示列马,并用该列马的某些近似理论对不连续信号进行了验证。正在研究该系列的对数光滑模量近似程度。还获得了根据过去样本值对信号的线性预测。进行了一些数字模拟,以验证抽样序列对不连续信号的近似程度。

0
下载
关闭预览

相关内容

专知会员服务
41+阅读 · 2020年10月13日
Fariz Darari简明《博弈论Game Theory》介绍,35页ppt
专知会员服务
112+阅读 · 2020年5月15日
深度强化学习策略梯度教程,53页ppt
专知会员服务
184+阅读 · 2020年2月1日
强化学习最新教程,17页pdf
专知会员服务
182+阅读 · 2019年10月11日
MIT新书《强化学习与最优控制》
专知会员服务
281+阅读 · 2019年10月9日
动物脑的好奇心和强化学习的好奇心
CreateAMind
10+阅读 · 2019年1月26日
Unsupervised Learning via Meta-Learning
CreateAMind
43+阅读 · 2019年1月3日
meta learning 17年:MAML SNAIL
CreateAMind
11+阅读 · 2019年1月2日
Disentangled的假设的探讨
CreateAMind
9+阅读 · 2018年12月10日
Hierarchical Imitation - Reinforcement Learning
CreateAMind
19+阅读 · 2018年5月25日
CVPR 2018 笔记
计算机视觉战队
3+阅读 · 2018年5月25日
Hierarchical Disentangled Representations
CreateAMind
4+阅读 · 2018年4月15日
【论文】变分推断(Variational inference)的总结
机器学习研究会
39+阅读 · 2017年11月16日
【推荐】免费书(草稿):数据科学的数学基础
机器学习研究会
20+阅读 · 2017年10月1日
Auto-Encoding GAN
CreateAMind
7+阅读 · 2017年8月4日
Arxiv
0+阅读 · 2021年3月30日
Arxiv
0+阅读 · 2021年3月30日
Arxiv
0+阅读 · 2021年3月28日
VIP会员
相关VIP内容
专知会员服务
41+阅读 · 2020年10月13日
Fariz Darari简明《博弈论Game Theory》介绍,35页ppt
专知会员服务
112+阅读 · 2020年5月15日
深度强化学习策略梯度教程,53页ppt
专知会员服务
184+阅读 · 2020年2月1日
强化学习最新教程,17页pdf
专知会员服务
182+阅读 · 2019年10月11日
MIT新书《强化学习与最优控制》
专知会员服务
281+阅读 · 2019年10月9日
相关资讯
动物脑的好奇心和强化学习的好奇心
CreateAMind
10+阅读 · 2019年1月26日
Unsupervised Learning via Meta-Learning
CreateAMind
43+阅读 · 2019年1月3日
meta learning 17年:MAML SNAIL
CreateAMind
11+阅读 · 2019年1月2日
Disentangled的假设的探讨
CreateAMind
9+阅读 · 2018年12月10日
Hierarchical Imitation - Reinforcement Learning
CreateAMind
19+阅读 · 2018年5月25日
CVPR 2018 笔记
计算机视觉战队
3+阅读 · 2018年5月25日
Hierarchical Disentangled Representations
CreateAMind
4+阅读 · 2018年4月15日
【论文】变分推断(Variational inference)的总结
机器学习研究会
39+阅读 · 2017年11月16日
【推荐】免费书(草稿):数据科学的数学基础
机器学习研究会
20+阅读 · 2017年10月1日
Auto-Encoding GAN
CreateAMind
7+阅读 · 2017年8月4日
Top
微信扫码咨询专知VIP会员