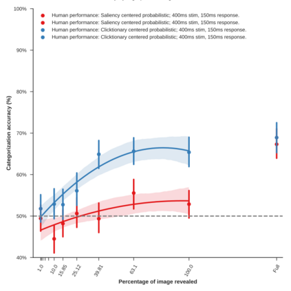
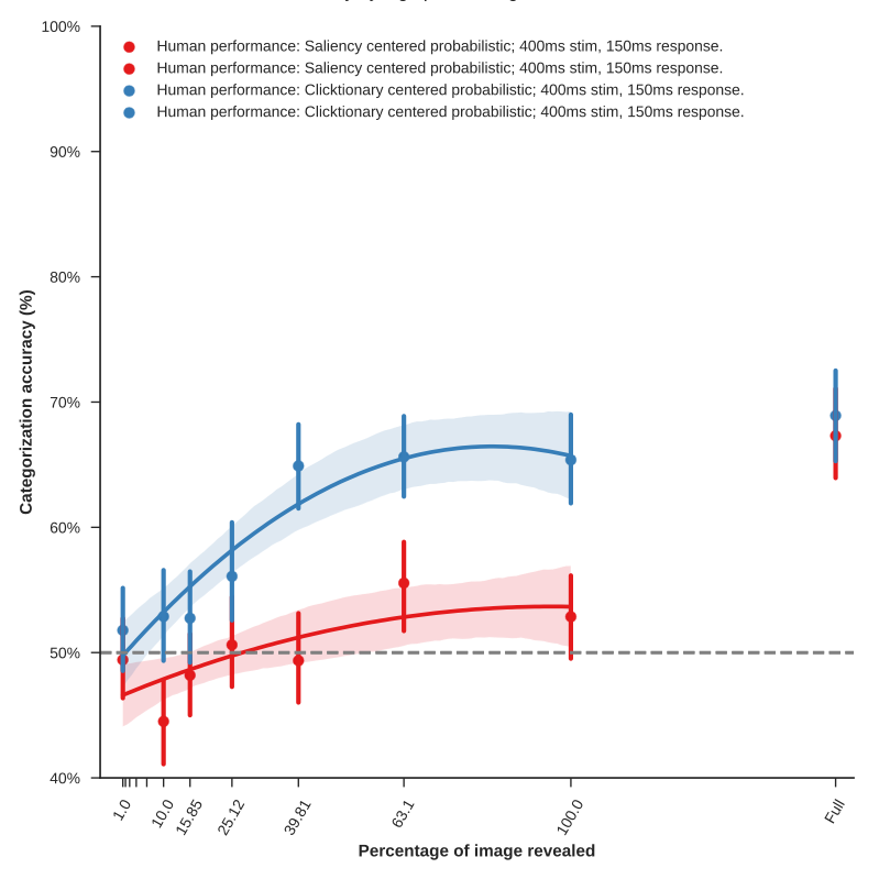
State-of-the-art deep convolutional networks (DCNs) such as squeeze-and- excitation (SE) residual networks implement a form of attention, also known as contextual guidance, which is derived from global image features. Here, we explore a complementary form of attention, known as visual saliency, which is derived from local image features. We extend the SE module with a novel global-and-local attention (GALA) module which combines both forms of attention -- resulting in state-of-the-art accuracy on ILSVRC. We further describe ClickMe.ai, a large-scale online experiment designed for human participants to identify diagnostic image regions to co-train a GALA network. Adding humans-in-the-loop is shown to significantly improve network accuracy, while also yielding visual features that are more interpretable and more similar to those used by human observers.


翻译:诸如挤压和引力(SE)残余网络等最先进的深层连锁网络(DCNs)实施一种关注形式,也称为背景指导,它源于全球图像特征。在这里,我们探索一种互补的关注形式,即视觉特征,它来自当地图像特征。我们扩展了SE模块,采用了一种新的全球和地方关注模块,将两种关注形式结合起来,从而导致LISVRC的最新准确性。我们进一步描述了ClickMe.ai,这是为人类参与者设计的一个大规模在线实验,旨在识别诊断图像区域,共同管理GALA网络。增加“流动中人”显示显著提高网络的准确性,同时产生更可解释的视觉特征,与人类观察者使用的特征更为相似。

5
下载
关闭预览

相关内容

Attention机制最早是在视觉图像领域提出来的,但是真正火起来应该算是google mind团队的这篇论文《Recurrent Models of Visual Attention》[14],他们在RNN模型上使用了attention机制来进行图像分类。随后,Bahdanau等人在论文《Neural Machine Translation by Jointly Learning to Align and Translate》 [1]中,使用类似attention的机制在机器翻译任务上将翻译和对齐同时进行,他们的工作算是是第一个提出attention机制应用到NLP领域中。接着类似的基于attention机制的RNN模型扩展开始应用到各种NLP任务中。最近,如何在CNN中使用attention机制也成为了大家的研究热点。下图表示了attention研究进展的大概趋势。
【ICLR 2019】双曲注意力网络,Hyperbolic  Attention Network
专知会员服务
84+阅读 · 2020年6月21日
Stabilizing Transformers for Reinforcement Learning
专知会员服务
60+阅读 · 2019年10月17日
开源书:PyTorch深度学习起步
专知会员服务
51+阅读 · 2019年10月11日
强化学习最新教程,17页pdf
专知会员服务
182+阅读 · 2019年10月11日
Unsupervised Learning via Meta-Learning
CreateAMind
43+阅读 · 2019年1月3日
meta learning 17年:MAML SNAIL
CreateAMind
11+阅读 · 2019年1月2日
【ECCV2018】24篇论文代码实现
专知
17+阅读 · 2018年9月10日
STRCF for Visual Object Tracking
统计学习与视觉计算组
15+阅读 · 2018年5月29日
【推荐】ResNet, AlexNet, VGG, Inception:各种卷积网络架构的理解
机器学习研究会
20+阅读 · 2017年12月17日
Capsule Networks解析
机器学习研究会
11+阅读 · 2017年11月12日
【学习】(Python)SVM数据分类
机器学习研究会
6+阅读 · 2017年10月15日
【推荐】图像分类必读开创性论文汇总
机器学习研究会
14+阅读 · 2017年8月15日
Exploring Visual Relationship for Image Captioning
Arxiv
15+阅读 · 2018年9月19日
VIP会员
相关资讯
Unsupervised Learning via Meta-Learning
CreateAMind
43+阅读 · 2019年1月3日
meta learning 17年:MAML SNAIL
CreateAMind
11+阅读 · 2019年1月2日
【ECCV2018】24篇论文代码实现
专知
17+阅读 · 2018年9月10日
STRCF for Visual Object Tracking
统计学习与视觉计算组
15+阅读 · 2018年5月29日
【推荐】ResNet, AlexNet, VGG, Inception:各种卷积网络架构的理解
机器学习研究会
20+阅读 · 2017年12月17日
Capsule Networks解析
机器学习研究会
11+阅读 · 2017年11月12日
【学习】(Python)SVM数据分类
机器学习研究会
6+阅读 · 2017年10月15日
【推荐】图像分类必读开创性论文汇总
机器学习研究会
14+阅读 · 2017年8月15日
Top
微信扫码咨询专知VIP会员