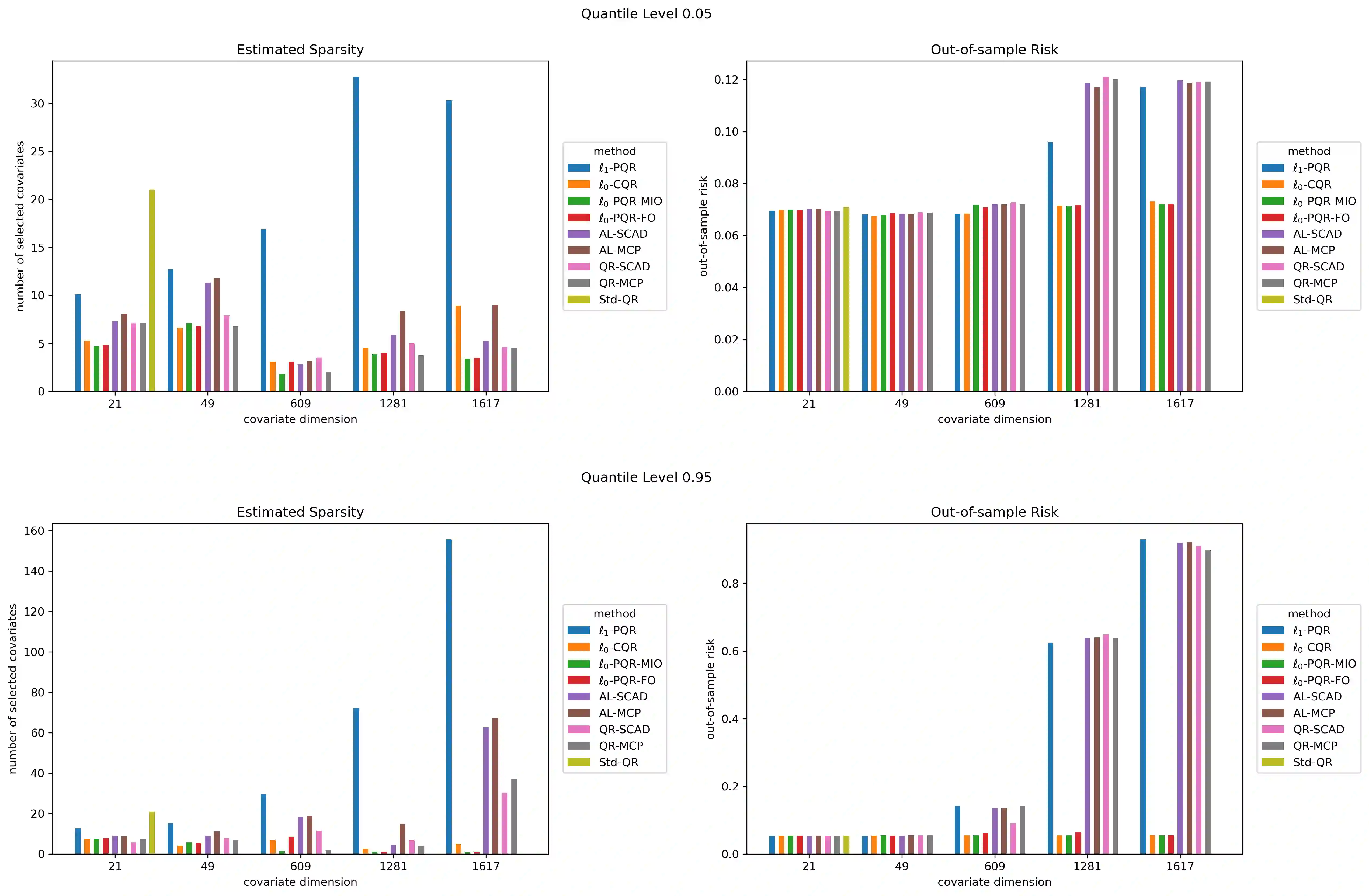
We consider both $\ell _{0}$-penalized and $\ell _{0}$-constrained quantile regression estimators. For the $\ell _{0}$-penalized estimator, we derive an exponential inequality on the tail probability of excess quantile prediction risk and apply it to obtain non-asymptotic upper bounds on the mean-square parameter and regression function estimation errors. We also derive analogous results for the $\ell _{0}$-constrained estimator. The resulting rates of convergence are nearly minimax-optimal and the same as those for $\ell _{1}$-penalized and non-convex penalized estimators. Further, we characterize expected Hamming loss for the $\ell _{0}$-penalized estimator. We implement the proposed procedure via mixed integer linear programming and also a more scalable first-order approximation algorithm. We illustrate the finite-sample performance of our approach in Monte Carlo experiments and its usefulness in a real data application concerning conformal prediction of infant birth weights (with $n\approx 10^{3}$ and up to $p>10^{3}$). In sum, our $\ell _{0}$-based method produces a much sparser estimator than the $\ell _{1}$-penalized and non-convex penalized approaches without compromising precision.


翻译:我们既考虑美元=0.0美元,也考虑美元=0.0美元; 美元=0.0美元; 美元=0.0美元; 受约束的四分位回归估计估计值。 对于美元=0.0美元; 美元=0.0美元; 受处罚的估算值,我们从超四分位预测风险的尾端概率上得出指数不平等性指数性指数性指数性指数性指数性指数性指数性指数性指数性指数性指数性指数性指数性指数性指数性指数性指数性指数性指数性指数性指数性指数性指数性指数性指数性指数性指数性指数性指数性指数性指数性指数性指数性指数性指数性指数性指数性指数性指数性指数性指数性指数性指数性指数性指数性指数性指数性指数性指数性指数性指数性指数性指数性指数性指数性指数性指数性指数性指数性指数性指数性指数性指数性指数性指数性指数性指数性指数性指数性指数性指数性指数性指数性指数性指数性指数性指数性指数性指数性指数性指数性指数性指数性指数性指数性指数性指数性指数性指数性指数性指数性指数性指数性指数性指数性指数性指数性指数性指数性指数性指数性指数性指数性指数性指数性指数性指数性指数性指数性指数性指数性指数性指数性指数。

0
下载
关闭预览

相关内容

不可错过!《机器学习100讲》课程,UBC Mark Schmidt讲授
专知会员服务
76+阅读 · 2022年6月28日
专知会员服务
51+阅读 · 2020年12月14日
专知会员服务
54+阅读 · 2020年9月7日
强化学习最新教程,17页pdf
专知会员服务
182+阅读 · 2019年10月11日
VCIP 2022 Call for Special Session Proposals
CCF多媒体专委会
1+阅读 · 2022年4月1日
ACM MM 2022 Call for Papers
CCF多媒体专委会
5+阅读 · 2022年3月29日
AIART 2022 Call for Papers
CCF多媒体专委会
1+阅读 · 2022年2月13日
强化学习三篇论文 避免遗忘等
CreateAMind
20+阅读 · 2019年5月24日
Hierarchically Structured Meta-learning
CreateAMind
27+阅读 · 2019年5月22日
Transferring Knowledge across Learning Processes
CreateAMind
29+阅读 · 2019年5月18日
19篇ICML2019论文摘录选读!
专知
28+阅读 · 2019年4月28日
Unsupervised Learning via Meta-Learning
CreateAMind
43+阅读 · 2019年1月3日
A Technical Overview of AI & ML in 2018 & Trends for 2019
待字闺中
18+阅读 · 2018年12月24日
国家自然科学基金
0+阅读 · 2015年12月31日
国家自然科学基金
0+阅读 · 2014年12月31日
国家自然科学基金
1+阅读 · 2014年12月31日
国家自然科学基金
0+阅读 · 2013年12月31日
国家自然科学基金
0+阅读 · 2013年12月31日
国家自然科学基金
0+阅读 · 2012年12月31日
国家自然科学基金
2+阅读 · 2012年12月31日
国家自然科学基金
0+阅读 · 2009年12月31日
国家自然科学基金
0+阅读 · 2009年12月31日
国家自然科学基金
1+阅读 · 2008年12月31日
SoftIGA: soft isogeometric analysis
Arxiv
0+阅读 · 2022年8月4日
Arxiv
0+阅读 · 2022年8月2日
VIP会员
相关VIP内容
相关资讯
VCIP 2022 Call for Special Session Proposals
CCF多媒体专委会
1+阅读 · 2022年4月1日
ACM MM 2022 Call for Papers
CCF多媒体专委会
5+阅读 · 2022年3月29日
AIART 2022 Call for Papers
CCF多媒体专委会
1+阅读 · 2022年2月13日
强化学习三篇论文 避免遗忘等
CreateAMind
20+阅读 · 2019年5月24日
Hierarchically Structured Meta-learning
CreateAMind
27+阅读 · 2019年5月22日
Transferring Knowledge across Learning Processes
CreateAMind
29+阅读 · 2019年5月18日
19篇ICML2019论文摘录选读!
专知
28+阅读 · 2019年4月28日
Unsupervised Learning via Meta-Learning
CreateAMind
43+阅读 · 2019年1月3日
A Technical Overview of AI & ML in 2018 & Trends for 2019
待字闺中
18+阅读 · 2018年12月24日
相关基金
国家自然科学基金
0+阅读 · 2015年12月31日
国家自然科学基金
0+阅读 · 2014年12月31日
国家自然科学基金
1+阅读 · 2014年12月31日
国家自然科学基金
0+阅读 · 2013年12月31日
国家自然科学基金
0+阅读 · 2013年12月31日
国家自然科学基金
0+阅读 · 2012年12月31日
国家自然科学基金
2+阅读 · 2012年12月31日
国家自然科学基金
0+阅读 · 2009年12月31日
国家自然科学基金
0+阅读 · 2009年12月31日
国家自然科学基金
1+阅读 · 2008年12月31日
Top
微信扫码咨询专知VIP会员