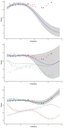
A model involving Gaussian processes (GPs) is introduced to simultaneously handle multi-task learning, clustering, and prediction for multiple functional data. This procedure acts as a model-based clustering method for functional data as well as a learning step for subsequent predictions for new tasks. The model is instantiated as a mixture of multi-task GPs with common mean processes. A variational EM algorithm is derived for dealing with the optimisation of the hyper-parameters along with the hyper-posteriors' estimation of latent variables and processes. We establish explicit formulas for integrating the mean processes and the latent clustering variables within a predictive distribution, accounting for uncertainty on both aspects. This distribution is defined as a mixture of cluster-specific GP predictions, which enhances the performances when dealing with group-structured data. The model handles irregular grid of observations and offers different hypotheses on the covariance structure for sharing additional information across tasks. The performances on both clustering and prediction tasks are assessed through various simulated scenarios and real datasets. The overall algorithm, called MagmaClust, is publicly available as an R package.


翻译:为同时处理多任务学习、集群和多功能数据的预测,引入了涉及高斯进程(GPs)的模型,以同时处理多任务学习、集群和多功能数据的预测。这一程序作为功能数据基于模型的集群方法,以及随后对新任务作出预测的学习步骤。该模型作为多任务GP与共同平均过程的混合体,被即时采用。为处理超参数的优化以及超子子体对潜在变量和进程的估计,将产生一个变式EM算法。我们为将平均过程和潜在集群变量纳入预测分布中,并计算出这两个方面的不确定性,我们制定了明确的公式。这种分布被定义为组合组合式GP预测的混合体,这将提高处理组群数据时的性能。模型处理不规则的观察网格,并提供不同参数,用于分享其他任务的额外信息。组合和预测任务的绩效是通过各种模拟假设情景和真实数据集加以评估的。总体算法,称为MagmaClust,作为R的包件公开提供。

0
下载
关闭预览

相关内容

Processing 是一门开源编程语言和与之配套的集成开发环境(IDE)的名称。Processing 在电子艺术和视觉设计社区被用来教授编程基础,并运用于大量的新媒体和互动艺术作品中。
【干货书】机器学习速查手册,135页pdf
专知会员服务
127+阅读 · 2020年11月20日
Linux导论,Introduction to Linux,96页ppt
专知会员服务
82+阅读 · 2020年7月26日
【斯坦福大学】Gradient Surgery for Multi-Task Learning
专知会员服务
47+阅读 · 2020年1月23日
Keras François Chollet 《Deep Learning with Python 》, 386页pdf
专知会员服务
163+阅读 · 2019年10月12日
机器学习入门的经验与建议
专知会员服务
94+阅读 · 2019年10月10日
Transferring Knowledge across Learning Processes
CreateAMind
29+阅读 · 2019年5月18日
深度自进化聚类:Deep Self-Evolution Clustering
我爱读PAMI
15+阅读 · 2019年4月13日
逆强化学习-学习人先验的动机
CreateAMind
16+阅读 · 2019年1月18日
强化学习的Unsupervised Meta-Learning
CreateAMind
18+阅读 · 2019年1月7日
meta learning 17年:MAML SNAIL
CreateAMind
11+阅读 · 2019年1月2日
A Technical Overview of AI & ML in 2018 & Trends for 2019
待字闺中
18+阅读 · 2018年12月24日
分布式TensorFlow入门指南
机器学习研究会
4+阅读 · 2017年11月28日
【推荐】决策树/随机森林深入解析
机器学习研究会
5+阅读 · 2017年9月21日
强化学习族谱
CreateAMind
26+阅读 · 2017年8月2日
Arxiv
0+阅读 · 2020年12月16日
Learning Prediction Intervals for Model Performance
Arxiv
0+阅读 · 2020年12月15日
VIP会员
相关VIP内容
【干货书】机器学习速查手册,135页pdf
专知会员服务
127+阅读 · 2020年11月20日
Linux导论,Introduction to Linux,96页ppt
专知会员服务
82+阅读 · 2020年7月26日
【斯坦福大学】Gradient Surgery for Multi-Task Learning
专知会员服务
47+阅读 · 2020年1月23日
Keras François Chollet 《Deep Learning with Python 》, 386页pdf
专知会员服务
163+阅读 · 2019年10月12日
机器学习入门的经验与建议
专知会员服务
94+阅读 · 2019年10月10日
相关资讯
Transferring Knowledge across Learning Processes
CreateAMind
29+阅读 · 2019年5月18日
深度自进化聚类:Deep Self-Evolution Clustering
我爱读PAMI
15+阅读 · 2019年4月13日
逆强化学习-学习人先验的动机
CreateAMind
16+阅读 · 2019年1月18日
强化学习的Unsupervised Meta-Learning
CreateAMind
18+阅读 · 2019年1月7日
meta learning 17年:MAML SNAIL
CreateAMind
11+阅读 · 2019年1月2日
A Technical Overview of AI & ML in 2018 & Trends for 2019
待字闺中
18+阅读 · 2018年12月24日
分布式TensorFlow入门指南
机器学习研究会
4+阅读 · 2017年11月28日
【推荐】决策树/随机森林深入解析
机器学习研究会
5+阅读 · 2017年9月21日
强化学习族谱
CreateAMind
26+阅读 · 2017年8月2日
Top
微信扫码咨询专知VIP会员