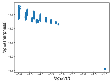
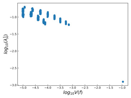
The intuition that local flatness of the loss landscape is correlated with better generalization for deep neural networks (DNNs) has been explored for decades, spawning many different local flatness measures. Here we argue that these measures correlate with generalization because they are local approximations to a global property, the volume of the set of parameters mapping to a specific function. This global volume is equivalent to the Bayesian prior upon initialization. For functions that give zero error on a test set, it is directly proportional to the Bayesian posterior, making volume a more robust and theoretically better grounded predictor of generalization than flatness. Whilst flatness measures fail under parameter re-scaling, volume remains invariant and therefore continues to correlate well with generalization. Moreover, some variants of SGD can break the flatness-generalization correlation, while the volume-generalization correlation remains intact.


翻译:损失场景的局部平坦性与对深神经网络(DNNs)的更好概括化相关联的直觉已经探索了几十年,从而产生了许多不同的局部平坦度测量标准。 我们在这里争论说,这些措施与一般化相关,因为它们是全球财产的局部近似值,是一组参数绘图的体积与特定函数。这个全球量相当于启动前的巴伊西亚体积。对于测试组零误差的功能来说,它直接与巴耶斯海脊脊柱成正比,使体积成为比平坦更稳健的、在理论上更有依据的通用预测。 虽然在参数再缩放下,平度度度测量不成功,但体积仍然不易变,因此继续与一般化密切相关。 此外,SGD的某些变量可以打破平坦性一般化的关联,而数量一般化的关联则保持不变。

0
下载
关闭预览

相关内容

【清华大学】图随机神经网络,Graph Random Neural Networks
专知会员服务
156+阅读 · 2020年5月26日
《DeepGCNs: Making GCNs Go as Deep as CNNs》
专知会员服务
31+阅读 · 2019年10月17日
开源书:PyTorch深度学习起步
专知会员服务
51+阅读 · 2019年10月11日
【SIGGRAPH2019】TensorFlow 2.0深度学习计算机图形学应用
专知会员服务
41+阅读 · 2019年10月9日
Hierarchically Structured Meta-learning
CreateAMind
27+阅读 · 2019年5月22日
meta learning 17年:MAML SNAIL
CreateAMind
11+阅读 · 2019年1月2日
disentangled-representation-papers
CreateAMind
26+阅读 · 2018年9月12日
Hierarchical Imitation - Reinforcement Learning
CreateAMind
19+阅读 · 2018年5月25日
Hierarchical Disentangled Representations
CreateAMind
4+阅读 · 2018年4月15日
Capsule Networks解析
机器学习研究会
11+阅读 · 2017年11月12日
【学习】Hierarchical Softmax
机器学习研究会
4+阅读 · 2017年8月6日
Auto-Encoding GAN
CreateAMind
7+阅读 · 2017年8月4日
强化学习族谱
CreateAMind
26+阅读 · 2017年8月2日
Arxiv
15+阅读 · 2020年12月17日
Arxiv
7+阅读 · 2020年6月29日
Generalization and Regularization in DQN
Arxiv
6+阅读 · 2019年1月30日
Arxiv
10+阅读 · 2018年3月10日
Arxiv
5+阅读 · 2017年12月14日
VIP会员
相关资讯
Hierarchically Structured Meta-learning
CreateAMind
27+阅读 · 2019年5月22日
meta learning 17年:MAML SNAIL
CreateAMind
11+阅读 · 2019年1月2日
disentangled-representation-papers
CreateAMind
26+阅读 · 2018年9月12日
Hierarchical Imitation - Reinforcement Learning
CreateAMind
19+阅读 · 2018年5月25日
Hierarchical Disentangled Representations
CreateAMind
4+阅读 · 2018年4月15日
Capsule Networks解析
机器学习研究会
11+阅读 · 2017年11月12日
【学习】Hierarchical Softmax
机器学习研究会
4+阅读 · 2017年8月6日
Auto-Encoding GAN
CreateAMind
7+阅读 · 2017年8月4日
强化学习族谱
CreateAMind
26+阅读 · 2017年8月2日
Top
微信扫码咨询专知VIP会员