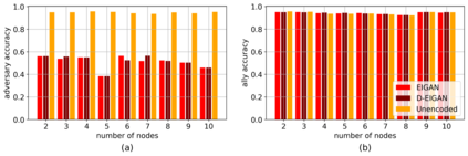
We study the problem of learning representations that are private yet informative, i.e., provide information about intended "ally" targets while hiding sensitive "adversary" attributes. We propose Exclusion-Inclusion Generative Adversarial Network (EIGAN), a generalized private representation learning (PRL) architecture that accounts for multiple ally and adversary attributes unlike existing PRL solutions. While centrally-aggregated dataset is a prerequisite for most PRL techniques, data in real-world is often siloed across multiple distributed nodes unwilling to share the raw data because of privacy concerns. We address this practical constraint by developing D-EIGAN, the first distributed PRL method that learns representations at each node without transmitting the source data. We theoretically analyze the behavior of adversaries under the optimal EIGAN and D-EIGAN encoders and the impact of dependencies among ally and adversary tasks on the optimization objective. Our experiments on various datasets demonstrate the advantages of EIGAN in terms of performance, robustness, and scalability. In particular, EIGAN outperforms the previous state-of-the-art by a significant accuracy margin (47% improvement), and D-EIGAN's performance is consistently on par with EIGAN under different network settings.


翻译:我们研究的是与现有PRL解决方案不同的多种盟友和敌对属性的学习代表性问题。虽然集中汇总的数据集是大多数PRL技术的先决条件,但现实世界中的数据往往分散在多个分布式的节点中,因为隐私问题而不愿分享原始数据。我们通过开发D-EIGAN来解决这一实际制约因素。D-EIGAN是第一个分布式PRL方法,在每一个节点上学习演示,而不传输源数据。我们从理论上分析在EIGAN和D-EIGAN最佳组合下的对手行为以及盟友和敌对任务对优化目标的依赖性的影响。我们对各种数据集的实验表明EIGAN在性能、稳健性和可扩展性方面的优势。特别是,EGAN在EGAN下以显著的准确性比值衡量了先前的州-州-州-州-州-州-州-州-州-州-州-州-州-州-州-州-州-州-州-州-州-州-州-州-州-州-州-州-州-州-州-州-州-州-州-州-州-州-州-州-州-州-州-州-州-州-州-州-州-州-州-州-州-州-州-州-州-州-州-州-州-州-州-州-州-州-州-州-州-州-州-州-州-州-州-州-州-州-州-州-州-州-州-州-州-州-州-州-州-州-州-州-州-州-州-州-州-州-州-州-州-州-州-州-州-州-州-州-州-州-州-州-州-州-州-州-州-州-州-州-州-州-州-州-州-州-州-州-州-州-州-州-州-州-州-州-州-州-州-州-州-州-州-州-州-州-州-州-州-州-州-州-州-州-州-州-州-州-州-州-州-州-州-州-州-州-州-州-州-州

0
下载
关闭预览

相关内容

MIT-深度学习Deep Learning State of the Art in 2020,87页ppt
专知会员服务
62+阅读 · 2020年2月17日
【哈佛大学商学院课程Fall 2019】机器学习可解释性
专知会员服务
105+阅读 · 2019年10月9日
【SIGGRAPH2019】TensorFlow 2.0深度学习计算机图形学应用
专知会员服务
41+阅读 · 2019年10月9日
IEEE ICKG 2022: Call for Papers
机器学习与推荐算法
3+阅读 · 2022年3月30日
IEEE TII Call For Papers
CCF多媒体专委会
3+阅读 · 2022年3月24日
AIART 2022 Call for Papers
CCF多媒体专委会
1+阅读 · 2022年2月13日
【ICIG2021】Check out the hot new trailer of ICIG2021 Symposium8
中国图象图形学学会CSIG
0+阅读 · 2021年11月16日
【ICIG2021】Check out the hot new trailer of ICIG2021 Symposium3
中国图象图形学学会CSIG
0+阅读 · 2021年11月9日
【ICIG2021】Check out the hot new trailer of ICIG2021 Symposium2
中国图象图形学学会CSIG
0+阅读 · 2021年11月8日
【ICIG2021】Latest News & Announcements of the Plenary Talk2
中国图象图形学学会CSIG
0+阅读 · 2021年11月2日
Hierarchically Structured Meta-learning
CreateAMind
27+阅读 · 2019年5月22日
无监督元学习表示学习
CreateAMind
27+阅读 · 2019年1月4日
Unsupervised Learning via Meta-Learning
CreateAMind
43+阅读 · 2019年1月3日
国家自然科学基金
1+阅读 · 2014年12月31日
国家自然科学基金
0+阅读 · 2013年12月31日
国家自然科学基金
1+阅读 · 2012年12月31日
国家自然科学基金
0+阅读 · 2012年12月31日
国家自然科学基金
0+阅读 · 2012年12月31日
国家自然科学基金
0+阅读 · 2011年12月31日
国家自然科学基金
1+阅读 · 2011年12月31日
国家自然科学基金
1+阅读 · 2009年12月31日
国家自然科学基金
0+阅读 · 2009年12月31日
国家自然科学基金
1+阅读 · 2008年12月31日
Arxiv
23+阅读 · 2022年2月24日
A Survey on Bayesian Deep Learning
Arxiv
64+阅读 · 2020年7月2日
Financial Time Series Representation Learning
Arxiv
10+阅读 · 2020年3月27日
Domain Representation for Knowledge Graph Embedding
Arxiv
14+阅读 · 2019年9月11日
VIP会员
相关资讯
IEEE ICKG 2022: Call for Papers
机器学习与推荐算法
3+阅读 · 2022年3月30日
IEEE TII Call For Papers
CCF多媒体专委会
3+阅读 · 2022年3月24日
AIART 2022 Call for Papers
CCF多媒体专委会
1+阅读 · 2022年2月13日
【ICIG2021】Check out the hot new trailer of ICIG2021 Symposium8
中国图象图形学学会CSIG
0+阅读 · 2021年11月16日
【ICIG2021】Check out the hot new trailer of ICIG2021 Symposium3
中国图象图形学学会CSIG
0+阅读 · 2021年11月9日
【ICIG2021】Check out the hot new trailer of ICIG2021 Symposium2
中国图象图形学学会CSIG
0+阅读 · 2021年11月8日
【ICIG2021】Latest News & Announcements of the Plenary Talk2
中国图象图形学学会CSIG
0+阅读 · 2021年11月2日
Hierarchically Structured Meta-learning
CreateAMind
27+阅读 · 2019年5月22日
无监督元学习表示学习
CreateAMind
27+阅读 · 2019年1月4日
Unsupervised Learning via Meta-Learning
CreateAMind
43+阅读 · 2019年1月3日
相关基金
国家自然科学基金
1+阅读 · 2014年12月31日
国家自然科学基金
0+阅读 · 2013年12月31日
国家自然科学基金
1+阅读 · 2012年12月31日
国家自然科学基金
0+阅读 · 2012年12月31日
国家自然科学基金
0+阅读 · 2012年12月31日
国家自然科学基金
0+阅读 · 2011年12月31日
国家自然科学基金
1+阅读 · 2011年12月31日
国家自然科学基金
1+阅读 · 2009年12月31日
国家自然科学基金
0+阅读 · 2009年12月31日
国家自然科学基金
1+阅读 · 2008年12月31日
Top
微信扫码咨询专知VIP会员