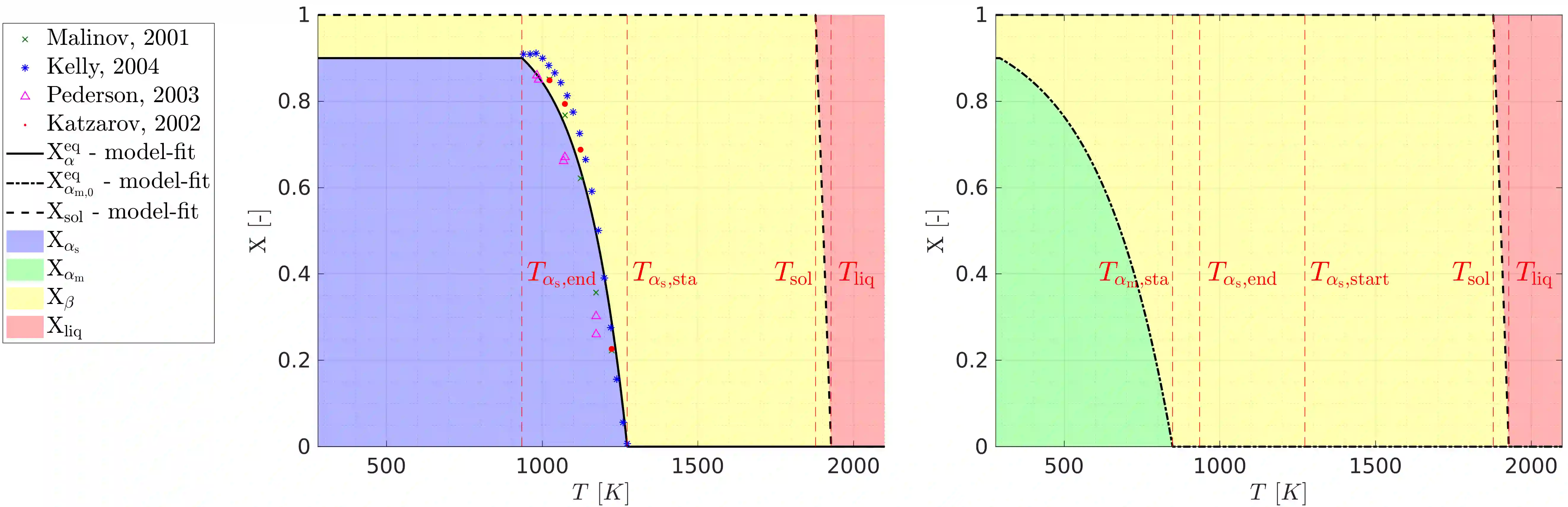
The elasto-plastic material behavior, material strength and failure modes of metals fabricated by additive manufacturing technologies are significantly determined by the underlying process-specific microstructure evolution. In this work a novel physics-based and data-supported phenomenological microstructure model for Ti-6Al-4V is proposed that is suitable for the part-scale simulation of selective laser melting processes. The model predicts spatially homogenized phase fractions of the most relevant microstructural species, namely the stable $\beta$-phase, the stable $\alpha_{\text{s}}$-phase as well as the metastable Martensite $\alpha_{\text{m}}$-phase, in a physically consistent manner. In particular, the modeled microstructure evolution, in form of diffusion-based and non-diffusional transformations, is a pure consequence of energy and mobility competitions among the different specifies, without the need for heuristic transformation criteria as often applied in existing models. The mathematically consistent formulation of the evolution equations in rate form renders the model suitable for the practically relevant scenario of temperature- or time-dependent diffusion coefficients, arbitrary temperature profiles, and multiple coexisting phases. Due to its physically motivated foundation, the proposed model requires only a minimal number of free parameters, which are determined in an inverse identification process considering a broad experimental data basis in form of time-temperature transformation diagrams. Subsequently, the predictive ability of the model is demonstrated by means of continuous cooling transformation diagrams, showing that experimentally observed characteristics such as critical cooling rates emerge naturally from the proposed microstructure model, instead of being enforced as heuristic transformation criteria.


翻译:由添加制造技术制造的金属的电磁塑料材料行为、材料强度和故障模式,在很大程度上是由特定流程的微结构演变决定的。在这项工作中,提议采用一个新的基于物理的和数据支持的Ti-6Al-4V 的细胞微结构模型,该模型适合选择性激光熔化过程的局部模拟。模型预测了最相关的微结构物种在空间上同质阶段的碎片,即稳定的 $-Beta美元阶段、稳定的 $\alpha}text{s}s $-production 阶段以及元化的马腾锡特特定过程的微结构特征,以物理上一致的方式进行。特别是,模型式微结构的演变,以基于扩散和非挥发性激光熔化过程的形式,是不同规定的能量和流动性竞争的纯粹结果,不需要经常适用于现有模型的超导变异模型。 以数学方式编制进化临界变异方方程式,使得模型适合于实际相关的温度假设或时间变异的马腾基变变法, 其成熟的变法基础的模型要求以自由基化的模型、任意的温度剖变制的模型, 温度图,其确定一个基础的模型的模型的模型的模型的模型的模型的模型的模型的模型, 其基础的模型的模型的模型的模型的模型的模型的模型的模型, 其基础的模型的模型的模型的模型的模型的模型的模型的模型的模型的模型的模型的模型的模型的模型的模型的模型的模型的模型的模型的模型的模型的模型的模型的模型的模型的模型的模型的模型的模型的模型的模型的模型的模型的模型的模型的模型的模型的模型的模型的模型的模型的模型的模型的模型的模型的模型的模型的模型的模型的模型的模型的模型的模型的模型的模型的模型的模型的模型的模型的模型的模型的模型的模型的模型的模型的模型的模型的模型的模型的模型的模型的模型的模型的模型的模型的模型的模型的模型的模型的模型的模型的模型的模型的模型的模型的模型的模型的模型的模型的模型的模型的模型的模型的模型的模型的模型的模型的模型的模型的模型的模型的模型的模型的模型的模型的模型的

0
下载
关闭预览

相关内容

ACM/IEEE第23届模型驱动工程语言和系统国际会议,是模型驱动软件和系统工程的首要会议系列,由ACM-SIGSOFT和IEEE-TCSE支持组织。自1998年以来,模型涵盖了建模的各个方面,从语言和方法到工具和应用程序。模特的参加者来自不同的背景,包括研究人员、学者、工程师和工业专业人士。MODELS 2019是一个论坛,参与者可以围绕建模和模型驱动的软件和系统交流前沿研究成果和创新实践经验。今年的版本将为建模社区提供进一步推进建模基础的机会,并在网络物理系统、嵌入式系统、社会技术系统、云计算、大数据、机器学习、安全、开源等新兴领域提出建模的创新应用以及可持续性。 官网链接:http://www.modelsconference.org/
因果图,Causal Graphs,52页ppt
专知会员服务
253+阅读 · 2020年4月19日
【论文】结构GANs,Structured GANs,
专知会员服务
15+阅读 · 2020年1月16日
【SIGGRAPH2019】TensorFlow 2.0深度学习计算机图形学应用
专知会员服务
41+阅读 · 2019年10月9日
Hierarchically Structured Meta-learning
CreateAMind
27+阅读 · 2019年5月22日
Transferring Knowledge across Learning Processes
CreateAMind
29+阅读 · 2019年5月18日
计算机 | ISMAR 2019等国际会议信息8条
Call4Papers
3+阅读 · 2019年3月5日
IEEE | DSC 2019诚邀稿件 (EI检索)
Call4Papers
10+阅读 · 2019年2月25日
Unsupervised Learning via Meta-Learning
CreateAMind
43+阅读 · 2019年1月3日
A Technical Overview of AI & ML in 2018 & Trends for 2019
待字闺中
18+阅读 · 2018年12月24日
【推荐】YOLO实时目标检测(6fps)
机器学习研究会
20+阅读 · 2017年11月5日
【推荐】RNN/LSTM时序预测
机器学习研究会
25+阅读 · 2017年9月8日
【学习】Hierarchical Softmax
机器学习研究会
4+阅读 · 2017年8月6日
Auto-Encoding GAN
CreateAMind
7+阅读 · 2017年8月4日
Arxiv
0+阅读 · 2021年3月10日
Arxiv
15+阅读 · 2020年12月17日
VIP会员
相关资讯
Hierarchically Structured Meta-learning
CreateAMind
27+阅读 · 2019年5月22日
Transferring Knowledge across Learning Processes
CreateAMind
29+阅读 · 2019年5月18日
计算机 | ISMAR 2019等国际会议信息8条
Call4Papers
3+阅读 · 2019年3月5日
IEEE | DSC 2019诚邀稿件 (EI检索)
Call4Papers
10+阅读 · 2019年2月25日
Unsupervised Learning via Meta-Learning
CreateAMind
43+阅读 · 2019年1月3日
A Technical Overview of AI & ML in 2018 & Trends for 2019
待字闺中
18+阅读 · 2018年12月24日
【推荐】YOLO实时目标检测(6fps)
机器学习研究会
20+阅读 · 2017年11月5日
【推荐】RNN/LSTM时序预测
机器学习研究会
25+阅读 · 2017年9月8日
【学习】Hierarchical Softmax
机器学习研究会
4+阅读 · 2017年8月6日
Auto-Encoding GAN
CreateAMind
7+阅读 · 2017年8月4日
Top
微信扫码咨询专知VIP会员