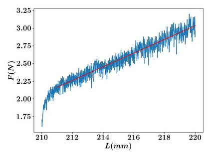
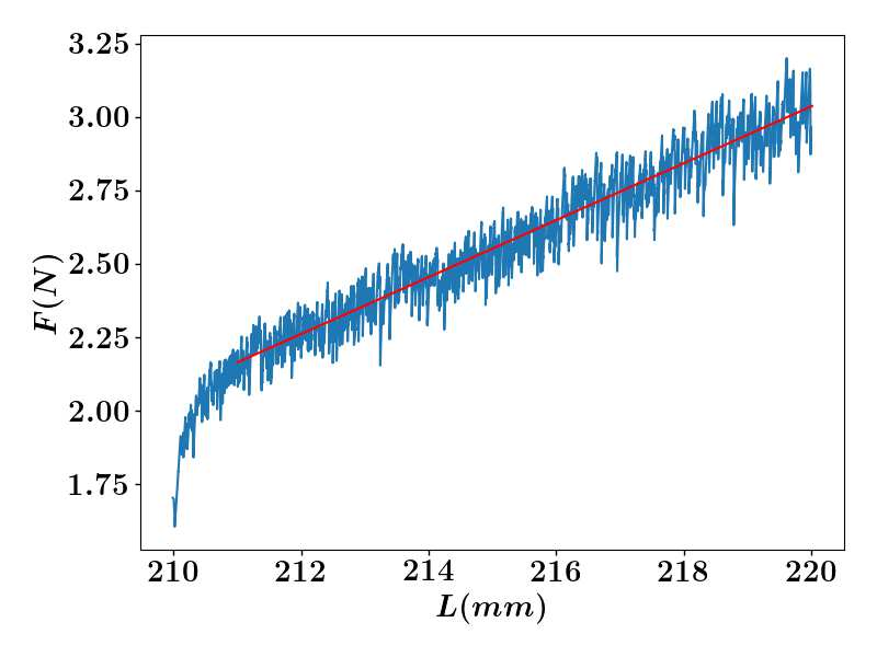
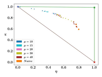
Knitted fabric exhibits avalanche-like events when deformed: by analogy with eathquakes, we are interested in predicting these "knitquakes". However, as in most analogous seismic models, the peculiar statistics of the corresponding time-series severely jeopardize this endeavour, due to the time intermittence and scale-invariance of these events. But more importantly, such predictions are hard to {\it assess}: depending on the choice of what to predict, the results can be very different and not easily compared. Furthermore, forecasting models may be trained with various generic metrics which ignore some important specificities of the problem at hand, in our case seismic risk. Finally, these models often do not provide a clear strategy regarding the best way to use these predictions in practice. Here we introduce a framework that allows to design, evaluate and compare not only predictors but also decision-making policies: a model seismically active {\it city} subjected to the crackling dynamics observed in the mechanical response of knitted fabric. We thus proceed to study the population of KnitCity, introducing a policy through which the mayor of the town can decide to either keep people in, which in case of large events cause human loss, or evacuate the city, which costs a daily fee. The policy only relies on past seismic observations. We construct efficient policies using a reinforcement learning environment and various time-series predictors based on artificial neural networks. By inducing a physically motivated metric on the predictors, this mechanism allows quantitative assessment and comparison of their relevance in the decision-making process.


翻译:但是,正如在大多数类似的地震模型中一样,这些模型往往无法提供一种明确的战略,说明如何在实际中采用这些预测的最佳方法。我们在这里引入了一个框架,不仅能够设计、评估和比较预测器,而且能够对决策政策进行实地评估:一个地震活跃的模范城市},取决于在编织结构的机械反应中观察到的急剧变化的动态。我们因此开始研究KnitCity的人口,引入一种政策,让市长能够通过这种快速的市级决策程序来决定一次巨大的成本。

0
下载
关闭预览

相关内容

Keras François Chollet 《Deep Learning with Python 》, 386页pdf
专知会员服务
160+阅读 · 2019年10月12日
强化学习最新教程,17页pdf
专知会员服务
182+阅读 · 2019年10月11日
机器学习入门的经验与建议
专知会员服务
94+阅读 · 2019年10月10日
VCIP 2022 Call for Demos
CCF多媒体专委会
1+阅读 · 2022年6月6日
VCIP 2022 Call for Special Session Proposals
CCF多媒体专委会
1+阅读 · 2022年4月1日
ACM MM 2022 Call for Papers
CCF多媒体专委会
5+阅读 · 2022年3月29日
AIART 2022 Call for Papers
CCF多媒体专委会
1+阅读 · 2022年2月13日
【ICIG2021】Check out the hot new trailer of ICIG2021 Symposium3
中国图象图形学学会CSIG
0+阅读 · 2021年11月9日
【ICIG2021】Check out the hot new trailer of ICIG2021 Symposium2
中国图象图形学学会CSIG
0+阅读 · 2021年11月8日
Hierarchically Structured Meta-learning
CreateAMind
27+阅读 · 2019年5月22日
Transferring Knowledge across Learning Processes
CreateAMind
29+阅读 · 2019年5月18日
Unsupervised Learning via Meta-Learning
CreateAMind
43+阅读 · 2019年1月3日
A Technical Overview of AI & ML in 2018 & Trends for 2019
待字闺中
18+阅读 · 2018年12月24日
国家自然科学基金
0+阅读 · 2013年12月31日
国家自然科学基金
0+阅读 · 2012年12月31日
国家自然科学基金
0+阅读 · 2012年12月31日
国家自然科学基金
0+阅读 · 2012年12月31日
国家自然科学基金
0+阅读 · 2012年12月31日
国家自然科学基金
0+阅读 · 2011年12月31日
国家自然科学基金
0+阅读 · 2009年12月31日
Arxiv
36+阅读 · 2021年8月2日
Arxiv
45+阅读 · 2019年12月20日
VIP会员
相关资讯
VCIP 2022 Call for Demos
CCF多媒体专委会
1+阅读 · 2022年6月6日
VCIP 2022 Call for Special Session Proposals
CCF多媒体专委会
1+阅读 · 2022年4月1日
ACM MM 2022 Call for Papers
CCF多媒体专委会
5+阅读 · 2022年3月29日
AIART 2022 Call for Papers
CCF多媒体专委会
1+阅读 · 2022年2月13日
【ICIG2021】Check out the hot new trailer of ICIG2021 Symposium3
中国图象图形学学会CSIG
0+阅读 · 2021年11月9日
【ICIG2021】Check out the hot new trailer of ICIG2021 Symposium2
中国图象图形学学会CSIG
0+阅读 · 2021年11月8日
Hierarchically Structured Meta-learning
CreateAMind
27+阅读 · 2019年5月22日
Transferring Knowledge across Learning Processes
CreateAMind
29+阅读 · 2019年5月18日
Unsupervised Learning via Meta-Learning
CreateAMind
43+阅读 · 2019年1月3日
A Technical Overview of AI & ML in 2018 & Trends for 2019
待字闺中
18+阅读 · 2018年12月24日
相关基金
国家自然科学基金
0+阅读 · 2013年12月31日
国家自然科学基金
0+阅读 · 2012年12月31日
国家自然科学基金
0+阅读 · 2012年12月31日
国家自然科学基金
0+阅读 · 2012年12月31日
国家自然科学基金
0+阅读 · 2012年12月31日
国家自然科学基金
0+阅读 · 2011年12月31日
国家自然科学基金
0+阅读 · 2009年12月31日
Top
微信扫码咨询专知VIP会员