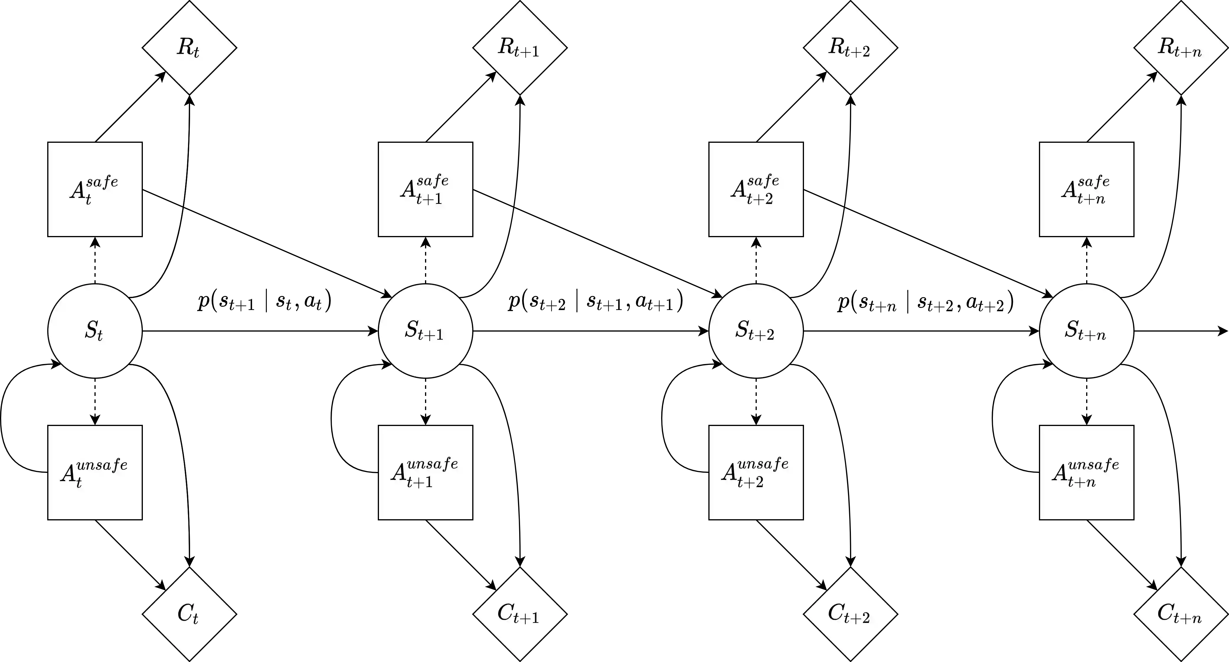
Reinforcement learning (RL) is a promising optimal control technique for multi-energy management systems. It does not require a model a priori - reducing the upfront and ongoing project-specific engineering effort and is capable of learning better representations of the underlying system dynamics. However, vanilla RL does not provide constraint satisfaction guarantees - resulting in various potentially unsafe interactions within its safety-critical environment. In this paper, we present two novel safe RL methods, namely SafeFallback and GiveSafe, where the safety constraint formulation is decoupled from the RL formulation. These provide hard-constraint, rather than soft- and chance-constraint, satisfaction guarantees both during training a (near) optimal policy (which involves exploratory and exploitative, i.e. greedy, steps) as well as during deployment of any policy (e.g. random agents or offline trained RL agents). This without the need of solving a mathematical program, resulting in less computational power requirements and a more flexible constraint function formulation (no derivative information is required). In a simulated multi-energy systems case study we have shown that both methods start with a significantly higher utility (i.e. useful policy) compared to a vanilla RL benchmark and Optlayer benchmark (94,6% and 82,8% compared to 35,5% and 77,8%) and that the proposed SafeFallback method even can outperform the vanilla RL benchmark (102,9% to 100%). We conclude that both methods are viably safety constraint handling techniques applicable beyond RL, as demonstrated with random policies while still providing hard-constraint guarantees.


翻译:强化学习( RL) 是多能源管理系统中最有希望的最佳控制技术。 它不需要先验性的模式 — — 减少前期和当前具体项目的工程努力,并且能够学习更好的系统动态表征。 但是, Vasilla RL 不提供约束性满意度保证---- 导致在其安全危急环境中出现各种潜在的不安全互动。 在本文中, 我们介绍了两种新型的安全安全 RL 方法, 即Safe Fallback 和 GeletSafe, 安全限制配方与RL 配方脱钩。 这些方法提供了硬约束, 而不是软和机会约束。 在培训( 接近) 最佳政策( 涉及探索性和剥削性, 贪婪, 步骤) 以及部署任何政策( 例如随机剂或离线培训 RL 代理) 时, 都提供了满意度保障。 这不需要解决数学程序, 导致计算能力要求更少, 限制功能也更灵活( 不需要衍生信息 ) 。 在模拟多能源系统案例研究中, 我们证明, 两种方法都比R8858 和 Van- 5 标准方法都比标准标准( 5 ( ) 和 Van- bregle) 5 (i) 5 (i) 都比 标准 和 Ve) 5 ( 标准, 和 Van- breal) 5 (i) 5) 5) 5 (比标准 5) 5 (比 标准 5 5 5 5 (比 标准 标准 5) 5) 。

0
下载
关闭预览

相关内容

Stabilizing Transformers for Reinforcement Learning
专知会员服务
60+阅读 · 2019年10月17日
强化学习最新教程,17页pdf
专知会员服务
182+阅读 · 2019年10月11日
[综述]深度学习下的场景文本检测与识别
专知会员服务
78+阅读 · 2019年10月10日
机器学习入门的经验与建议
专知会员服务
94+阅读 · 2019年10月10日
【哈佛大学商学院课程Fall 2019】机器学习可解释性
专知会员服务
105+阅读 · 2019年10月9日
【SIGGRAPH2019】TensorFlow 2.0深度学习计算机图形学应用
专知会员服务
41+阅读 · 2019年10月9日
VCIP 2022 Call for Special Session Proposals
CCF多媒体专委会
1+阅读 · 2022年4月1日
IEEE ICKG 2022: Call for Papers
机器学习与推荐算法
3+阅读 · 2022年3月30日
IEEE TII Call For Papers
CCF多媒体专委会
3+阅读 · 2022年3月24日
ACM TOMM Call for Papers
CCF多媒体专委会
2+阅读 · 2022年3月23日
AIART 2022 Call for Papers
CCF多媒体专委会
1+阅读 · 2022年2月13日
Hierarchically Structured Meta-learning
CreateAMind
27+阅读 · 2019年5月22日
Transferring Knowledge across Learning Processes
CreateAMind
29+阅读 · 2019年5月18日
Unsupervised Learning via Meta-Learning
CreateAMind
43+阅读 · 2019年1月3日
A Technical Overview of AI & ML in 2018 & Trends for 2019
待字闺中
18+阅读 · 2018年12月24日
disentangled-representation-papers
CreateAMind
26+阅读 · 2018年9月12日
国家自然科学基金
2+阅读 · 2015年12月31日
国家自然科学基金
51+阅读 · 2014年12月31日
国家自然科学基金
0+阅读 · 2013年12月31日
国家自然科学基金
3+阅读 · 2013年12月31日
国家自然科学基金
0+阅读 · 2012年12月31日
国家自然科学基金
0+阅读 · 2011年12月31日
国家自然科学基金
0+阅读 · 2009年12月31日
国家自然科学基金
0+阅读 · 2009年12月31日
国家自然科学基金
0+阅读 · 2008年12月31日
Arxiv
0+阅读 · 2022年10月18日
A Multi-Objective Deep Reinforcement Learning Framework
VIP会员
相关VIP内容
Stabilizing Transformers for Reinforcement Learning
专知会员服务
60+阅读 · 2019年10月17日
强化学习最新教程,17页pdf
专知会员服务
182+阅读 · 2019年10月11日
[综述]深度学习下的场景文本检测与识别
专知会员服务
78+阅读 · 2019年10月10日
机器学习入门的经验与建议
专知会员服务
94+阅读 · 2019年10月10日
【哈佛大学商学院课程Fall 2019】机器学习可解释性
专知会员服务
105+阅读 · 2019年10月9日
【SIGGRAPH2019】TensorFlow 2.0深度学习计算机图形学应用
专知会员服务
41+阅读 · 2019年10月9日
相关资讯
VCIP 2022 Call for Special Session Proposals
CCF多媒体专委会
1+阅读 · 2022年4月1日
IEEE ICKG 2022: Call for Papers
机器学习与推荐算法
3+阅读 · 2022年3月30日
IEEE TII Call For Papers
CCF多媒体专委会
3+阅读 · 2022年3月24日
ACM TOMM Call for Papers
CCF多媒体专委会
2+阅读 · 2022年3月23日
AIART 2022 Call for Papers
CCF多媒体专委会
1+阅读 · 2022年2月13日
Hierarchically Structured Meta-learning
CreateAMind
27+阅读 · 2019年5月22日
Transferring Knowledge across Learning Processes
CreateAMind
29+阅读 · 2019年5月18日
Unsupervised Learning via Meta-Learning
CreateAMind
43+阅读 · 2019年1月3日
A Technical Overview of AI & ML in 2018 & Trends for 2019
待字闺中
18+阅读 · 2018年12月24日
disentangled-representation-papers
CreateAMind
26+阅读 · 2018年9月12日
相关基金
国家自然科学基金
2+阅读 · 2015年12月31日
国家自然科学基金
51+阅读 · 2014年12月31日
国家自然科学基金
0+阅读 · 2013年12月31日
国家自然科学基金
3+阅读 · 2013年12月31日
国家自然科学基金
0+阅读 · 2012年12月31日
国家自然科学基金
0+阅读 · 2011年12月31日
国家自然科学基金
0+阅读 · 2009年12月31日
国家自然科学基金
0+阅读 · 2009年12月31日
国家自然科学基金
0+阅读 · 2008年12月31日
Top
微信扫码咨询专知VIP会员