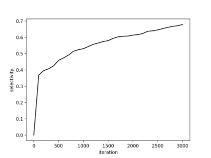
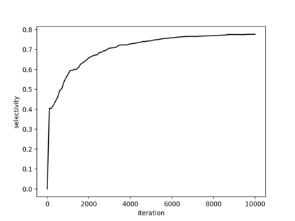
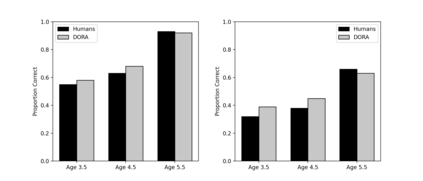
People readily generalize knowledge to novel domains and stimuli. We present a theory, instantiated in a computational model, based on the idea that cross-domain generalization in humans is a case of analogical inference over structured (i.e., symbolic) relational representations. The model is an extension of the LISA and DORA models of relational inference and learning. The resulting model learns both the content and format (i.e., structure) of relational representations from non-relational inputs without supervision, when augmented with the capacity for reinforcement learning, leverages these representations to learn individual domains, and then generalizes to new domains on the first exposure (i.e., zero-shot learning) via analogical inference. We demonstrate the capacity of the model to learn structured relational representations from a variety of simple visual stimuli, and to perform cross-domain generalization between video games (Breakout and Pong) and between several psychological tasks. We demonstrate that the model's trajectory closely mirrors the trajectory of children as they learn about relations, accounting for phenomena from the literature on the development of children's reasoning and analogy making. The model's ability to generalize between domains demonstrates the flexibility afforded by representing domains in terms of their underlying relational structure, rather than simply in terms of the statistical relations between their inputs and outputs.


翻译:我们提出一种理论,这种理论在计算模型中即刻出现,其依据是,人类的跨部一般化是结构化(即象征性的)关系表示的模拟推论。该模型是LISA和DORA关系推论和学习模式的延伸,由此产生的模型从非关系性投入中学习内容和形式(即结构),而无需监督,如果加强学习能力得到加强,则利用这些表述来学习个别领域,然后通过模拟推论将第一次接触(即零点学习)的新的领域推广到新的领域。我们证明模型有能力从各种简单的视觉推论和学习中学习结构结构结构结构化的关系,在视频游戏(Breakout和Pong)和若干心理任务之间进行交叉概括化。我们证明,模型的轨迹密切反映了儿童学习模型的轨迹,因为他们学习了关系模型,从统计学到基础性关系(即零点学习了零点学习),从统计学的角度,从统计学系到基础性关系中展示了儿童在具有灵活性的领域之间的推论。我们展示了模型的能力,而不是通过比较性空间上的儿童发展。

0
下载
关闭预览

相关内容

可解释强化学习,Explainable Reinforcement Learning: A Survey
专知会员服务
132+阅读 · 2020年5月14日
元学习与图神经网络逻辑推导,55页ppt
专知会员服务
130+阅读 · 2020年4月25日
因果图,Causal Graphs,52页ppt
专知会员服务
253+阅读 · 2020年4月19日
【论文】欺骗学习(Learning by Cheating)
专知会员服务
28+阅读 · 2020年1月3日
Stabilizing Transformers for Reinforcement Learning
专知会员服务
60+阅读 · 2019年10月17日
最新BERT相关论文清单,BERT-related Papers
专知会员服务
53+阅读 · 2019年9月29日
【ACL2020放榜!】事件抽取、关系抽取、NER、Few-Shot 相关论文整理
深度学习自然语言处理
18+阅读 · 2020年5月22日
Hierarchically Structured Meta-learning
CreateAMind
27+阅读 · 2019年5月22日
Transferring Knowledge across Learning Processes
CreateAMind
29+阅读 · 2019年5月18日
Call for Participation: Shared Tasks in NLPCC 2019
中国计算机学会
5+阅读 · 2019年3月22日
强化学习的Unsupervised Meta-Learning
CreateAMind
18+阅读 · 2019年1月7日
Unsupervised Learning via Meta-Learning
CreateAMind
43+阅读 · 2019年1月3日
meta learning 17年:MAML SNAIL
CreateAMind
11+阅读 · 2019年1月2日
Zero-Shot Learning相关资源大列表
专知
52+阅读 · 2019年1月1日
disentangled-representation-papers
CreateAMind
26+阅读 · 2018年9月12日
Hierarchical Imitation - Reinforcement Learning
CreateAMind
19+阅读 · 2018年5月25日
A Comprehensive Survey on Transfer Learning
Arxiv
121+阅读 · 2019年11月7日
Learning by Abstraction: The Neural State Machine
Arxiv
6+阅读 · 2019年7月11日
Arxiv
9+阅读 · 2019年4月19日
Relational Deep Reinforcement Learning
Arxiv
10+阅读 · 2018年6月28日
Arxiv
4+阅读 · 2018年4月17日
VIP会员
相关VIP内容
可解释强化学习,Explainable Reinforcement Learning: A Survey
专知会员服务
132+阅读 · 2020年5月14日
元学习与图神经网络逻辑推导,55页ppt
专知会员服务
130+阅读 · 2020年4月25日
因果图,Causal Graphs,52页ppt
专知会员服务
253+阅读 · 2020年4月19日
【论文】欺骗学习(Learning by Cheating)
专知会员服务
28+阅读 · 2020年1月3日
Stabilizing Transformers for Reinforcement Learning
专知会员服务
60+阅读 · 2019年10月17日
最新BERT相关论文清单,BERT-related Papers
专知会员服务
53+阅读 · 2019年9月29日
相关资讯
【ACL2020放榜!】事件抽取、关系抽取、NER、Few-Shot 相关论文整理
深度学习自然语言处理
18+阅读 · 2020年5月22日
Hierarchically Structured Meta-learning
CreateAMind
27+阅读 · 2019年5月22日
Transferring Knowledge across Learning Processes
CreateAMind
29+阅读 · 2019年5月18日
Call for Participation: Shared Tasks in NLPCC 2019
中国计算机学会
5+阅读 · 2019年3月22日
强化学习的Unsupervised Meta-Learning
CreateAMind
18+阅读 · 2019年1月7日
Unsupervised Learning via Meta-Learning
CreateAMind
43+阅读 · 2019年1月3日
meta learning 17年:MAML SNAIL
CreateAMind
11+阅读 · 2019年1月2日
Zero-Shot Learning相关资源大列表
专知
52+阅读 · 2019年1月1日
disentangled-representation-papers
CreateAMind
26+阅读 · 2018年9月12日
Hierarchical Imitation - Reinforcement Learning
CreateAMind
19+阅读 · 2018年5月25日
相关论文
Top
微信扫码咨询专知VIP会员