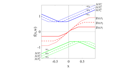
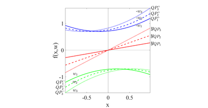
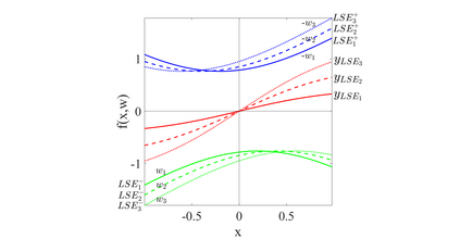
We present a novel framework for designing multiplierless kernel machines that can be used on resource-constrained platforms like intelligent edge devices. The framework uses a piecewise linear (PWL) approximation based on a margin propagation (MP) technique and uses only addition/subtraction, shift, comparison, and register underflow/overflow operations. We propose a hardware-friendly MP-based inference and online training algorithm that has been optimized for a Field Programmable Gate Array (FPGA) platform. Our FPGA implementation eliminates the need for DSP units and reduces the number of LUTs. By reusing the same hardware for inference and training, we show that the platform can overcome classification errors and local minima artifacts that result from the MP approximation. The implementation of this proposed multiplierless MP-kernel machine on FPGA results in an estimated energy consumption of 13.4 pJ and power consumption of 107 mW with ~9k LUTs and FFs each for a 256 x 32 sized kernel making it superior in terms of power, performance, and area compared to other comparable implementations.


翻译:我们提出了一个设计无倍数内核机器的新框架,可用于智能边缘装置等资源受限制的平台。框架使用基于边距传播技术的片断线性近似(PWL)近似(PWL),仅使用增/减法、转换、比较和内流/流流流操作登记。我们提议了一种基于基于软硬件的基于MP的推论和在线培训算法,该算法已经优化用于外地可编程门阵列平台。我们的FPGA实施消除了对DSP单元的需求并减少了LUT的数量。通过重新使用相同的用于推断和培训的硬件,我们表明该平台能够克服因MP近似而出现的分类错误和本地微型工艺。在FPGA上安装的这一拟议的无倍式MP内核机器,其估计耗能为13.4pJ,电耗为107 mW,每耗能为~9k LUT和FF,每耗电量为256x32个大小内核内核,使其在权力、性能和面积方面优于其他类似执行。

0
下载
关闭预览

相关内容

FPGA:ACM/SIGDA International Symposium on Field-Programmable Gate Arrays。 Explanation:ACM/SIGDA现场可编程门阵列国际研讨会。 Publisher:ACM。 SIT: http://dblp.uni-trier.de/db/conf/fpga/
专知会员服务
54+阅读 · 2021年6月30日
Linux导论,Introduction to Linux,96页ppt
专知会员服务
82+阅读 · 2020年7月26日
【哈佛大学商学院课程Fall 2019】机器学习可解释性
专知会员服务
105+阅读 · 2019年10月9日
VCIP 2022 Call for Demos
CCF多媒体专委会
1+阅读 · 2022年6月6日
AIART 2022 Call for Papers
CCF多媒体专委会
1+阅读 · 2022年2月13日
【ICIG2021】Check out the hot new trailer of ICIG2021 Symposium8
中国图象图形学学会CSIG
0+阅读 · 2021年11月16日
【ICIG2021】Check out the hot new trailer of ICIG2021 Symposium7
中国图象图形学学会CSIG
0+阅读 · 2021年11月15日
【ICIG2021】Check out the hot new trailer of ICIG2021 Symposium2
中国图象图形学学会CSIG
0+阅读 · 2021年11月8日
【ICIG2021】Check out the hot new trailer of ICIG2021 Symposium1
中国图象图形学学会CSIG
0+阅读 · 2021年11月3日
Hierarchically Structured Meta-learning
CreateAMind
27+阅读 · 2019年5月22日
Transferring Knowledge across Learning Processes
CreateAMind
29+阅读 · 2019年5月18日
Unsupervised Learning via Meta-Learning
CreateAMind
43+阅读 · 2019年1月3日
A Technical Overview of AI & ML in 2018 & Trends for 2019
待字闺中
18+阅读 · 2018年12月24日
国家自然科学基金
0+阅读 · 2014年12月31日
国家自然科学基金
0+阅读 · 2013年12月31日
国家自然科学基金
0+阅读 · 2013年12月31日
国家自然科学基金
1+阅读 · 2013年12月31日
国家自然科学基金
0+阅读 · 2012年12月31日
国家自然科学基金
0+阅读 · 2012年12月31日
国家自然科学基金
0+阅读 · 2012年12月31日
国家自然科学基金
0+阅读 · 2009年12月31日
国家自然科学基金
0+阅读 · 2009年12月31日
Arxiv
19+阅读 · 2022年10月6日
Arxiv
45+阅读 · 2019年12月20日
VIP会员
相关资讯
VCIP 2022 Call for Demos
CCF多媒体专委会
1+阅读 · 2022年6月6日
AIART 2022 Call for Papers
CCF多媒体专委会
1+阅读 · 2022年2月13日
【ICIG2021】Check out the hot new trailer of ICIG2021 Symposium8
中国图象图形学学会CSIG
0+阅读 · 2021年11月16日
【ICIG2021】Check out the hot new trailer of ICIG2021 Symposium7
中国图象图形学学会CSIG
0+阅读 · 2021年11月15日
【ICIG2021】Check out the hot new trailer of ICIG2021 Symposium2
中国图象图形学学会CSIG
0+阅读 · 2021年11月8日
【ICIG2021】Check out the hot new trailer of ICIG2021 Symposium1
中国图象图形学学会CSIG
0+阅读 · 2021年11月3日
Hierarchically Structured Meta-learning
CreateAMind
27+阅读 · 2019年5月22日
Transferring Knowledge across Learning Processes
CreateAMind
29+阅读 · 2019年5月18日
Unsupervised Learning via Meta-Learning
CreateAMind
43+阅读 · 2019年1月3日
A Technical Overview of AI & ML in 2018 & Trends for 2019
待字闺中
18+阅读 · 2018年12月24日
相关基金
国家自然科学基金
0+阅读 · 2014年12月31日
国家自然科学基金
0+阅读 · 2013年12月31日
国家自然科学基金
0+阅读 · 2013年12月31日
国家自然科学基金
1+阅读 · 2013年12月31日
国家自然科学基金
0+阅读 · 2012年12月31日
国家自然科学基金
0+阅读 · 2012年12月31日
国家自然科学基金
0+阅读 · 2012年12月31日
国家自然科学基金
0+阅读 · 2009年12月31日
国家自然科学基金
0+阅读 · 2009年12月31日
Top
微信扫码咨询专知VIP会员