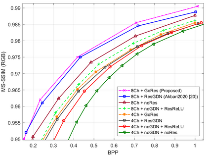
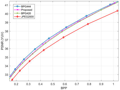
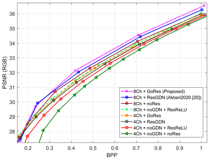
Recently deep learning-based image compression has shown the potential to outperform traditional codecs. However, most existing methods train multiple networks for multiple bit rates, which increase the implementation complexity. In this paper, we propose a new variable-rate image compression framework, which employs generalized octave convolutions (GoConv) and generalized octave transposed-convolutions (GoTConv) with built-in generalized divisive normalization (GDN) and inverse GDN (IGDN) layers. Novel GoConv- and GoTConv-based residual blocks are also developed in the encoder and decoder networks. Our scheme also uses a stochastic rounding-based scalar quantization. To further improve the performance, we encode the residual between the input and the reconstructed image from the decoder network as an enhancement layer. To enable a single model to operate with different bit rates and to learn multi-rate image features, a new objective function is introduced. Experimental results show that the proposed framework trained with variable-rate objective function outperforms the standard codecs such as H.265/HEVC-based BPG and state-of-the-art learning-based variable-rate methods.


翻译:最近深入学习的图像压缩显示出超越传统代码化的潜力。 但是,大多数现有方法都为多重比特率培训了多个网络,这增加了执行复杂性。 在本文件中,我们提议一个新的可变率图像压缩框架,采用通用的八进制(GoConv)和通用的八进制转换(GoTConv),并具有内在的普遍分裂性正常化(GDN)和反GDN(IGDN)层。Novel Go Conv-和GOT Conv(GODN)的残余区块也在编码器和解码器网络中开发。 我们的计划还使用基于随机四舍四舍四舍五入的卡路里量化法。 为了进一步改善性能,我们将输入的剩余部分和从解码器网络中重建的图像编码为增强层。为了使单一模型能够以不同的位率运行并学习多率图像特征,将引入一个新的目标功能。 实验结果显示, 以可变率目标函数培训的拟议框架比标准代码化了诸如 H.26/HEVC-GRAD- 和以可变式GGGA- state- 学习方法和状态。

0
下载
关闭预览

相关内容

强化学习最新教程,17页pdf
专知会员服务
182+阅读 · 2019年10月11日
【SIGGRAPH2019】TensorFlow 2.0深度学习计算机图形学应用
专知会员服务
41+阅读 · 2019年10月9日
模块设计之 SKNet, GCNet, GloRe, Octave
极市平台
16+阅读 · 2019年5月20日
Deep Compression/Acceleration:模型压缩加速论文汇总
极市平台
14+阅读 · 2019年5月15日
超分辨率相关资源大列表
极市平台
24+阅读 · 2019年5月11日
强化学习的Unsupervised Meta-Learning
CreateAMind
18+阅读 · 2019年1月7日
Unsupervised Learning via Meta-Learning
CreateAMind
43+阅读 · 2019年1月3日
Hierarchical Imitation - Reinforcement Learning
CreateAMind
19+阅读 · 2018年5月25日
视频超分辨 Detail-revealing Deep Video Super-resolution 论文笔记
统计学习与视觉计算组
17+阅读 · 2018年3月16日
Adversarial Variational Bayes: Unifying VAE and GAN 代码
CreateAMind
7+阅读 · 2017年10月4日
Meta-Transfer Learning for Zero-Shot Super-Resolution
Arxiv
43+阅读 · 2020年2月27日
Arxiv
19+阅读 · 2018年3月28日
VIP会员
相关资讯
模块设计之 SKNet, GCNet, GloRe, Octave
极市平台
16+阅读 · 2019年5月20日
Deep Compression/Acceleration:模型压缩加速论文汇总
极市平台
14+阅读 · 2019年5月15日
超分辨率相关资源大列表
极市平台
24+阅读 · 2019年5月11日
强化学习的Unsupervised Meta-Learning
CreateAMind
18+阅读 · 2019年1月7日
Unsupervised Learning via Meta-Learning
CreateAMind
43+阅读 · 2019年1月3日
Hierarchical Imitation - Reinforcement Learning
CreateAMind
19+阅读 · 2018年5月25日
视频超分辨 Detail-revealing Deep Video Super-resolution 论文笔记
统计学习与视觉计算组
17+阅读 · 2018年3月16日
Adversarial Variational Bayes: Unifying VAE and GAN 代码
CreateAMind
7+阅读 · 2017年10月4日
Top
微信扫码咨询专知VIP会员