FoveaBox,超越Anchor-Based的检测器

2019 年 4 月 22 日 极市平台

加入极市专业CV交流群,与6000+来自腾讯,华为,百度,北大,清华,中科院等名企名校视觉开发者互动交流!更有机会与李开复老师等大牛群内互动!

同时提供每月大咖直播分享、真实项目需求对接、干货资讯汇总,行业技术交流点击文末“阅读原文”立刻申请入群~

作者简介

TeddyZhang:上海大学研究生在读,研究方向是图像分类、目标检测以及人脸检测与识别


最近,目标检测领域出现了一大批anchor-free的算法,如FCOS, FSAF等等,其主要的思路大都起源于2015年的DensBox和2016年的UnitBox,极市也分享了一篇相关的综述:

目标检测:Anchor-Free时代 ,今天,我们再来解读其中一篇完全anchor-free的算法,FoveaBox


论文地址:https://arxiv.org/abs/1904.03797


在此之前,我们首先讨论一下anchor-based的算法的缺点:

  1. 对于每个预选框我们都要根据不同的任务去设置其参数,如长宽比,尺度大小,以及anchor的数量,这就造成了不同参数所导致的AP有很大的不同,同时调参耗时耗力。

  2. 产生的预选框在训练阶段要和真实框进行IOU的计算,这会占用很大的运行内存空间和时间。对于单阶段算法来说,为了使其更为有效的检测小目标,通常进行FPN结构以及使用更低的特征图,这样来说产生预选框的数量就会增加很多很多。

  3. 针对不同的任务,比如人脸识别和通用物体检测,所有的参数都需要重新调节,这样一个模型的迁移能力就体现不出来了


而anchor-free算法的出现,似乎是一种思路去解决这样的问题,相比于anchor-based网络,FoverBox直接学习目标的存在概率和真实框的坐标(不产生预选框)。主要通过两个分支:

  1. 预测一个类别敏感的语义图作为目标存在的概率

  2. 预测一个中心点和边框坐标的一个映射关系


算法总览


FoveaBox在训练和测试阶段都不需要依靠默认的anchor设置,这使得它对于bounding box的分布更有鲁棒性。FoveaBox的检测网络是有一个backbone网络和两个精度任务的subnet组合而成。Backbone网络用于计算输入图片的特征图(feature map),接着第一个子网络对backbone的输出做一个逐像素的分类任务,另一个子网络预测相对应位置的边框。


Backbone (FPN)


为了公平的与RetinaNet进行比对,作者使用了如其一模一样的网络结构,也就是ResNet+FPN的结构,其中金字塔的层数  而且 输入图像的分辨率。


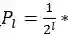
尺度分配

这里面我们也假设FPN中每一个层预测一定范围内的bounding box,而每个特征金字塔都有一个basic area,即32*32到512*512,所以表示为 ,并设置 正好当l=3时,整体面积为1024=32*32。但FoveaBox为了使每个层去响应特定的物体尺度,对每个金字塔层 L  都计算一个有效范围如下,其中来控制这个尺度范围:


作者经过试验,发现当这个控制因子为2是为最优情况。



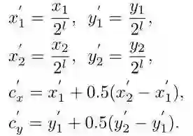
Object Fovea

首先我们来看预测分类的子网络,其输出为一个金字塔heatmap的集合,而每个heatmap的尺寸为HxW,维度为K,其中K为类别数量。如果给定真实框为,首先将其映射目标金字塔 ,即:



而正样本区域(fovea)被设计为原区域的一个衰减区域,这个与DenseBox的设置一样,这样设置的原因是为了防止语义区域的相互交叠!其中为缩放因子,正样本区域的每一个cell都被指定相对应的类别标签。对于负样本,我们也设置了一个缩放因子,用于生成负样本区域。如果一个cell没有被分配,那么就是ignore区域不参与反向传播。这样的设置和 FSAF 又很像!由于样本间不均衡,所以我们使用focal loss来优化。Fovea区域计算公式如下:



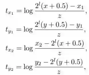
边框预测

与DenseBox和UnitBox不同,FoveaBox并不是直接学习目标中心到四个边的距离,而是去学习一个预测坐标与真实坐标的映射关系,假如真实框为,我们目标就是学习一个映射关系,这个关系是中心点与边框坐标的关系,如下



接着使用简单的L1损失来进行优化,其中为一个归一化因子,将输出空间映射到中心为1的空间,使得训练稳定。最后使用log空间函数进行正则化。


实验结果


通过上图我们可以看到,相比于anchor-based的,anchor-free的算法对于目标的尺度更具有鲁棒性,并且完全不需要去费劲的设计anchor的尺寸。


接下来是AP和AR的比较:

1)FoveaBox与RetinaNet的比较



2)与ASFA(CVPR2019)的比较



3)与其他SOTA方法的对比(coco test-dev)



总结

FoveaBox整体设计思路为anchor-free,不需要人为的去定义anchor的参数,但仍然需要手工的去设置参数,比如每层的area的范围,以及正样本区域的缩放因子的参数。总的来说还是不错的,吸取了DenseBox的大量优点,也对其进行了优化。在预测坐标方面,不是单纯的去预测一个distance,而是去学习一个映射Transform。





*延伸阅读


点击左下角阅读原文”,即可申请加入极市目标跟踪、目标检测、工业检测、人脸方向、视觉竞赛等技术交流群,更有每月大咖直播分享、真实项目需求对接、干货资讯汇总,行业技术交流,一起来让思想之光照的更远吧~



觉得有用麻烦给个好看啦~  

登录查看更多
10

相关内容

深度学习目标检测方法及其主流框架综述
专知会员服务
148+阅读 · 2020年6月26日
【CVPR2020-北京大学】自适应间隔损失的提升小样本学习
专知会员服务
85+阅读 · 2020年6月9日
专知会员服务
164+阅读 · 2020年4月21日
47.4mAP!最强Anchor-free目标检测网络:SAPD
极市平台
13+阅读 · 2019年12月16日
CenterNet:目标即点(代码已开源)
极市平台
25+阅读 · 2019年5月24日
最新Anchor-Free目标检测模型—FoveaBox
PaperWeekly
6+阅读 · 2019年4月29日
FCOS: 最新的one-stage逐像素目标检测算法
极市平台
15+阅读 · 2019年4月14日
CVPR2019 | FSAF:来自CMU的Single-Shot目标检测算法
极市平台
41+阅读 · 2019年3月8日
目标检测论文阅读:DetNet
极市平台
9+阅读 · 2019年1月28日
ECCV 2018 | CornerNet:目标检测算法新思路
极市平台
13+阅读 · 2018年8月11日
Arxiv
5+阅读 · 2019年4月8日
Arxiv
5+阅读 · 2018年4月17日
Arxiv
4+阅读 · 2018年3月19日
Arxiv
8+阅读 · 2018年1月12日
Arxiv
5+阅读 · 2016年12月29日
VIP会员
相关资讯
47.4mAP!最强Anchor-free目标检测网络:SAPD
极市平台
13+阅读 · 2019年12月16日
CenterNet:目标即点(代码已开源)
极市平台
25+阅读 · 2019年5月24日
最新Anchor-Free目标检测模型—FoveaBox
PaperWeekly
6+阅读 · 2019年4月29日
FCOS: 最新的one-stage逐像素目标检测算法
极市平台
15+阅读 · 2019年4月14日
CVPR2019 | FSAF:来自CMU的Single-Shot目标检测算法
极市平台
41+阅读 · 2019年3月8日
目标检测论文阅读:DetNet
极市平台
9+阅读 · 2019年1月28日
ECCV 2018 | CornerNet:目标检测算法新思路
极市平台
13+阅读 · 2018年8月11日
Top
微信扫码咨询专知VIP会员