大批量SGD: 1小时训练ImageNet

2020 年 9 月 28 日 AINLP

分布式深度学习之参数服务器架构一文,给大家介绍了并行化训练模型的分布式架构。在PS架构中,梯度是同步更新还是异步更新是一个问题,同步更新会有短板效应,即训练速度和最慢的机器持平,而异步训练则有较好的并行提速和正则化效应。

但近两年来,模型训练加速的趋势反倒是采用同步式的大批量的数据训练,这点在Federated Learning: 问题与优化算法就有所体现,里面提到的Federated Averaging算法就是一个大批量的例子。

本文是较早的采用大批量SGD去做训练的论文[1]的阅读笔记,里面提出了很多在大批量训练时候的技巧。

回顾

首先,先来回顾一下mini-batch的梯度下降算法。在全部数据集上的损失函数计算如下:

那么mini-batch的梯度下降计算公式如下:

其中,η是学习率,n为当前mini-batch的样本数,B为mini-batch中的样本集合。

技巧一: 学习率和批数据大小呈线性关系

当把mini-batch的size扩大k倍时,学习率也应该相应的扩大k倍。

其理论基础如下,如果k个mini-batch一步一步进行训练的话,那么得到的梯度更新公式如下:

而如果在一个大的batch中,梯度更新公式如下:

这其中的区别就在于,k步训练中每一步计算梯度的参数状态是变化的,而一步计算相当于k个批次都用的是最初始的参数状态计算梯度。

如果假设每一步的参数状态变化不大的话,那么这样做就是可行的。而只有这样做了,才能使得大batch训练的学习曲线和一步一步训练的曲线是类似的。

当然,上面做的假设是一个强假设,在训练刚开始的时候一般是不成立的,因为此时模型的参数状态变化是很大的,因而,在刚开始的时候,需要使用一些warmup策略。

虽然这种方式可以有效的提升训练速度,但是实验发现,当batch-size超过一定阈值后,会导致效果的退化,实验中是在~8k以内这个技巧都有效。

技巧二: 不同的warmup

论文提出了两种warmup策略:

  • 恒定warmup: 在最开始的5个epoch中使用一个较小的learning_rate,然后再使用k*η作为后面的学习率
  • 渐变warmup: 在最开始的1个epoch使用一个较小的learning rate,然后在5个epoch中逐步将learning rate增加到k*η.

其中,第一个策略因为在第5个epoch的时候会有较大变化,所以会导致loss有个突起的尖峰。所以,一般采用第二种策略。

技巧三: 在本地数据上进行批归一化

批归一化一般是在参与一步训练的所有数据上做。但是让我们再次回顾大批量的初衷,大batch的目的是让k步训练合并为分布式系统上的一步,所以做了每步梯度都相差不大的假设。而k步训练的话,每一步都是在小batch上做的。所以,当把k步训练的数据合并为一步时,批归一化也应该是在大batch的1/k数据上分别做k次。

对应到分布式的训练上,就是保证每个worker上的数据都和原来小batch的batch_size一样,然后批归一化就在小batch上直接做。

这样也省掉了为批归一化计算全局统计值的通信开销。

陷阱一: 权重衰减

不同的平台的实现方式不同,所以论文还介绍了几种不容易被发现的实现上的问题,第一个问题就是权重衰减。

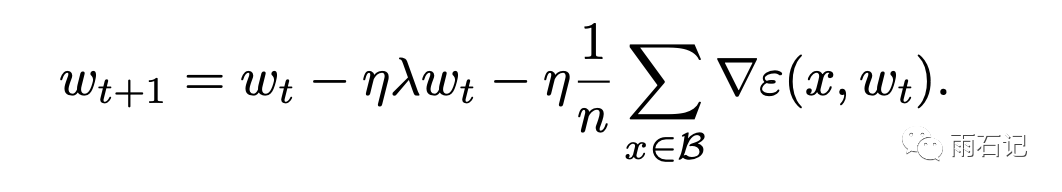
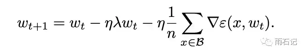
在计算损失函数的时候,一般我们会加正则化项:

加了正则化项之后,梯度的计算变成:

这样,梯度更新时就多了一个ηλwt项,因为是线性的,所以很多平台的实现中都是单独去对它进行计算的。因而就造成了一个陷阱,即:

将交叉熵损失增大k倍并不是正确的增大学习率的方法,因为还有一个分项上的学习率没有扩大。

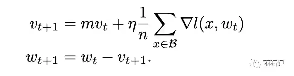
陷阱二: 冲量校正

一般情况下,为了加快训练,往往使用SGD + momentum算法。

而这个算法在很多平台的实现中往往有个变种:

在η不变的情况下,这两种方法是等价的,但如果η变化,那么如果使用后一种,就需要用如下方法校正:

陷阱三: 梯度聚合

在分布式系统中,聚合操作往往是加法而非平均,因而,一般在worker需要提前除以k然后聚合的时候直接加起来就可以。

实验结果

使用256个GPU进行训练的话,可以在1小时内将ResNet-50模型训练好。模型效果和batch_size的关系如下,可以看到,在batch_size超过8k的时候,效果有明显的drop。

warm-up策略的的比较如下:

可以看到,渐变warm-up得到的训练曲线几乎和单GPU一步步训练一样。

还有很多其他实验结果,感兴趣的同学可以去关注原论文。

总结

这是一篇实验性的论文,但是开启了一个潮流。这里最大的batch_size可以到达8k,后面还有可以到32k/64k的算法。这里的算法是在ResNet上做的,后面还有在Bert上做的。这里的训练时间是1小时,后面还有分钟级的改进。欢迎关注公众号【雨石记】,继续学习后面的内容。

参考文献

  • [1]. Goyal, Priya, et al. "Accurate, large minibatch sgd: Training imagenet in 1 hour." arXiv preprint arXiv:1706.02677 (2017).




欢迎加入AINLP技术交流群
进群请添加AINLP小助手微信 AINLPer(id: ainlper),备注NLP技术交流


推荐阅读

这个NLP工具,玩得根本停不下来

征稿启示| 200元稿费+5000DBC(价值20个小时GPU算力)

完结撒花!李宏毅老师深度学习与人类语言处理课程视频及课件(附下载)

从数据到模型,你可能需要1篇详实的pytorch踩坑指南

如何让Bert在finetune小数据集时更“稳”一点

模型压缩实践系列之——bert-of-theseus,一个非常亲民的bert压缩方法

文本自动摘要任务的“不完全”心得总结番外篇——submodular函数优化

Node2Vec 论文+代码笔记

模型压缩实践收尾篇——模型蒸馏以及其他一些技巧实践小结

中文命名实体识别工具(NER)哪家强?

学自然语言处理,其实更应该学好英语

斯坦福大学NLP组Python深度学习自然语言处理工具Stanza试用

关于AINLP

AINLP 是一个有趣有AI的自然语言处理社区,专注于 AI、NLP、机器学习、深度学习、推荐算法等相关技术的分享,主题包括文本摘要、智能问答、聊天机器人、机器翻译、自动生成、知识图谱、预训练模型、推荐系统、计算广告、招聘信息、求职经验分享等,欢迎关注!加技术交流群请添加AINLPer(id:ainlper),备注工作/研究方向+加群目的。


阅读至此了,分享、点赞、在看三选一吧🙏

登录查看更多
1

相关内容

梯度的本意是一个向量(矢量),表示某一函数在该点处的方向导数沿着该方向取得最大值,即函数在该点处沿着该方向(此梯度的方向)变化最快,变化率最大(为该梯度的模)。
【NeurIPS 2020】大规模分布式鲁棒优化方法
专知会员服务
26+阅读 · 2020年10月13日
深度学习批归一化及其相关算法研究进展
专知会员服务
52+阅读 · 2020年7月17日
[ICML-Google]先宽后窄:对深度薄网络的有效训练
专知会员服务
36+阅读 · 2020年7月5日
【CVPR 2020-商汤】8比特数值也能训练卷积神经网络模型
专知会员服务
26+阅读 · 2020年5月7日
【伯克利】再思考 Transformer中的Batch Normalization
专知会员服务
41+阅读 · 2020年3月21日
神经网络中 warmup 策略为什么有效?
极市平台
10+阅读 · 2019年9月23日
Google:数据并行对神经网络训练用时的影响
如何训练你的ResNet(三):正则化
论智
5+阅读 · 2018年11月13日
如何找到最优学习率?
AI研习社
11+阅读 · 2017年11月29日
深度学习超参数简单理解
计算机视觉战队
4+阅读 · 2017年11月28日
干货|代码原理教你搞懂SGD随机梯度下降、BGD、MBGD
机器学习研究会
12+阅读 · 2017年11月25日
教程 | 如何估算深度神经网络的最优学习率
机器之心
3+阅读 · 2017年11月17日
[学习] 这些深度学习网络训练技巧,你了解吗?
菜鸟的机器学习
7+阅读 · 2017年7月29日
Arxiv
0+阅读 · 2020年12月1日
Continual Unsupervised Representation Learning
Arxiv
7+阅读 · 2019年10月31日
Arxiv
6+阅读 · 2018年12月10日
VIP会员
相关资讯
神经网络中 warmup 策略为什么有效?
极市平台
10+阅读 · 2019年9月23日
Google:数据并行对神经网络训练用时的影响
如何训练你的ResNet(三):正则化
论智
5+阅读 · 2018年11月13日
如何找到最优学习率?
AI研习社
11+阅读 · 2017年11月29日
深度学习超参数简单理解
计算机视觉战队
4+阅读 · 2017年11月28日
干货|代码原理教你搞懂SGD随机梯度下降、BGD、MBGD
机器学习研究会
12+阅读 · 2017年11月25日
教程 | 如何估算深度神经网络的最优学习率
机器之心
3+阅读 · 2017年11月17日
[学习] 这些深度学习网络训练技巧,你了解吗?
菜鸟的机器学习
7+阅读 · 2017年7月29日
Top
微信扫码咨询专知VIP会员