干货 | 如何理解深度学习分布式训练中的large batch size与learning rate的关系?

2017 年 11 月 2 日 AI科技评论 谭旭

AI科技评论按,本文源自谭旭(https://www.zhihu.com/people/xutan)在知乎问题【如何理解深度学习分布式训练中的large batch size与learning rate的关系?】下的回答,AI科技评论获其授权转载。

问题详情:

在深度学习进行分布式训练时,常常采用同步数据并行的方式,也就是采用大的batch size进行训练,但large batch一般较于小的baseline的batch size性能更差,请问如何理解调试learning rate能使large batch达到small batch同样的收敛精度和速度?

回答:

最近在进行多GPU分布式训练时,也遇到了large batch与learning rate的理解调试问题,相比baseline的batch size,多机同步并行(之前有答案是介绍同步并行的通信框架NCCL 谭旭:如何理解Nvidia英伟达的Multi-GPU多卡通信框架NCCL?)等价于增大batch size,如果不进行精细的设计,large batch往往收敛效果会差于baseline的小batch size。因此将自己的理解以及实验总结如下,主要分为三个方面来介绍:(1)理解SGD、minibatch-SGD和GD,(2)large batch与learning rate的调试关系,(3)我们的实验。

(1)理解SGD、minibatch-SGD和GD

在机器学习优化算法中,GD(gradient descent)是最常用的方法之一,简单来说就是在整个训练集中计算当前的梯度,选定一个步长进行更新。GD的优点是,基于整个数据集得到的梯度,梯度估计相对较准,更新过程更准确。但也有几个缺点,一个是当训练集较大时,GD的梯度计算较为耗时,二是现代深度学习网络的loss function往往是非凸的,基于凸优化理论的优化算法只能收敛到local minima,因此使用GD训练深度神经网络,最终收敛点很容易落在初始点附近的一个local minima,不太容易达到较好的收敛性能。

另一个极端是SGD(stochastic gradient descent),每次计算梯度只用一个样本,这样做的好处是计算快,而且很适合online-learning数据流式到达的场景,但缺点是单个sample产生的梯度估计往往很不准,所以得采用很小的learning rate,而且由于现代的计算框架CPU/GPU的多线程工作,单个sample往往很难占满CPU/GPU的使用率,导致计算资源浪费。

折中的方案就是mini-batch,一次采用batch size的sample来估计梯度,这样梯度估计相对于SGD更准,同时batch size能占满CPU/GPU的计算资源,又不像GD那样计算整个训练集。同时也由于mini batch能有适当的梯度噪声[8],一定程度上缓解GD直接掉进了初始点附近的local minima导致收敛不好的缺点,所以mini-batch的方法也最为常用。

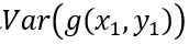
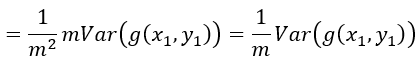
关于增大batch size对于梯度估计准确度的影响,分析如下:

假设batch size为m,对于一个minibatch,loss为:

梯度

整个minibatch的梯度方差为:

由于每个样本

是随机从训练样本集sample得到的,满足i.i.d.假设,因此样本梯度的方差相等,为

等价于SGD的梯度方差,可以看到batch size增大m倍,相当于将梯度的方差减少m倍,因此梯度更加准确。

如果要保持方差和原来SGD一样,相当于给定了这么大的方差带宽容量,那么就可以增大lr,充分利用这个方差容量,在上式中添加lr,同时利用方差的变化公式,得到等式

因此可将lr增加sqrt(m)倍,以提高训练速度,这也是在linear scaling rule之前很多人常用的增大lr的方式[4]。下一小节将详细介绍增大lr的问题。

(2)large batch与learning rate

在分布式训练中,batch size 随着数据并行的worker增加而增大,假设baseline的batch size为B,learning rate为lr,训练epoch数为N。如果保持baseline的learning rate,一般不会有较好的收敛速度和精度。原因如下:对于收敛速度,假设k个worker,每次过的sample数量为kB,因此一个epoch下的更新次数为baseline的1/k,而每次更新的lr不变,所以要达到baseline相同的更新次数,则需要增加epoch数量,最大需要增加k*N个epoch,因此收敛加速倍数会远远低于k。对于收敛精度,由于增大了batch size使梯度估计相较于badeline的梯度更加准确,噪音减少,更容易收敛到附近的local minima,类似于GD的效果。

为了解决这个问题,一个方法就是增大lr,因为batch变大梯度估计更准,理应比baseline的梯度更确信一些,所以增大lr,利用更准确的梯度多走一点,提高收敛速度。同时增大lr,让每次走的幅度尽量大一些,如果遇到了sharp local minima[8](sharp minima的说法现在还有争议,暂且引用这个说法),还有可能逃出收敛到更好的地方。

但是lr不能无限制的增大,原因分析如下。深度神经网络的loss surface往往是高维高度非线性的,可以理解为loss surface表面凹凸不平,坑坑洼洼,不像y=x^2曲线这样光滑,因此基于当前weight计算出来的梯度,往前更新的learing rate很大的时候,沿着loss surface的切线就走了很大一步,有可能大大偏于原有的loss surface,示例如下图(a)所示,虚线是当前梯度的方向,也就是当前loss surface的切线方向,如果learning rate过大,那这一步沿切线方向就走了很大一步,如果一直持续这样,那很可能就走向了一个错误的loss surface,如图(b)所示。如果是较小的learning rate,每次只沿切线方向走一小步,虽然有些偏差,依然能大致沿着loss sourface steepest descent曲线向下降,最终收敛到一个不错的local minima,如图(c)所示。

同时也可以根据convex convergence theory[2]得到lr的upper bound:lr<1/L,L为loss surface的gradient curve的Lipschitz factor,L可以理解为loss梯度的变化幅度的上界。如果变化幅度越大,L越大,则lr就会越小,如果变化幅度越小,L越小,则lr就可以很大。这和上图的分析是一致的。

因此,如何确定large batch与learing rate的关系呢?

分别比较baseline和k个worker的large batch的更新公式[7],如下:

这个是baseline(batch size B)和large batch(batch size kB)的更新公式,(4)中large batch过一步的数据量相当于(3)中baseline k步过的数据量,loss和梯度都按找过的数据量取平均,因此,为了保证相同的数据量利用率,(4)中的learning rate应该为baseline的k倍,也就是learning rate的linear scale rule。

linear scale rule有几个约束,其中一个约束是关于weight的约束,式(3)中每一步更新基于的weight都是前一步更新过后的weight,因此相当于小碎步的走,每走一部都是基于目前真实的weight计算梯度做更新的,而式(4)的这一大步(相比baseline相当于k步)是基于t时刻的weight来做更新的。如果在这k步之内,W(t+j) ~ W(t)的话,两者近似没有太大问题,也就是linear scale rule问题不大,但在weight变化较快的时候,会有问题,尤其是模型在刚开始训练的时候,loss下特别快,weight变化很快,W(t+j) ~ W(t)就不满足。因此在初始训练阶段,一般不会直接将lr增大为k倍,而是从baseline的lr慢慢warmup到k倍,让linear scale rule不至于违背得那么明显,这也是facebook一小时训练imagenet的做法[7]。第二个约束是lr不能无限的放大,根据上面的分析,lr太大直接沿loss切线跑得太远,导致收敛出现问题。

同时,有文献[5]指出,当batchsize变大后,得到好的测试结果所能允许的lr范围在变小,也就是说,当batchsize很小时,比较容易找打一个合适的lr达到不错的结果,当batchsize变大后,可能需要精细地找一个合适的lr才能达到较好的结果,这也给实际的large batch分布式训练带来了困难。

(3)我们的实验

最近在考虑分布式训练NLP相关的深度模型的问题,实验细节如下,由于某些工作暂时还不方便透露,只提供较为简略的实验细节:

模型baseline参数为batch size 32, lr 0.25,最终的accuracy为BLEU score: 28.35。现在进行分布式扩展到多卡并行。

实验1:只增加并行worker数(也就相当于增大batch size),lr为baseline的lr0保持不变

可以看到随着batch的变大, 如果lr不变,模型的精度会逐渐下降,这也和上面的分析相符合。

实验2:增大batch size,lr相应增大

可以看到通过增加lr到5*lr0(理论上lr应该增加到8倍,但实际效果不好,因此只增加了5倍),并且通过warmup lr,达到和baseline差不多的Bleu效果。最终的收敛速度大约为5倍左右,也就是8卡能达到5倍的收敛加速(不考虑系统通信同步所消耗的时间,也就是不考虑系统加速比的情况下)。

深度学习并行训练能很好的提升模型训练速度,但是实际使用的过程中会面临一系列的问题,包括系统层面的架构设计、算法层面的参数调试等,欢迎有兴趣的朋友多多探讨。

[1] Li M, Zhang T, Chen Y, et al. Efficient mini-batch training for stochastic optimization[C]// Acm Sigkdd International Conference on Knowledge Discovery & Data Mining. ACM, 2014:661-670.

[2] Bottou L, Curtis F E, Nocedal J. Optimization Methods for Large-Scale Machine Learning[J]. 2016.

[3] Dekel O, Gilad-Bachrach R, Shamir O, et al. Optimal distributed online prediction using mini-batches[J]. Journal of Machine Learning Research, 2012, 13(1):165-202.

[4] Krizhevsky A. One weird trick for parallelizing convolutional neural networks[J]. Eprint Arxiv, 2014.

[5] Breuel T M. The Effects of Hyperparameters on SGD Training of Neural Networks[C]., 2015.

[6] Mishkin D, Sergievskiy N, Matas J. Systematic evaluation of CNN advances on the ImageNet[J]. 2016.

[7] Goyal, Priya, et al. "Accurate, Large Minibatch SGD: Training ImageNet in 1 Hour." arXiv preprint arXiv:1706.02677 (2017).

[8] Keskar N S, Mudigere D, Nocedal J, et al. On Large-Batch Training for Deep Learning: Generalization Gap and Sharp Minima[J]. 2016.

[9]Scaling Distributed Machine Learning with System and Algorithm Co-design - Google Search

—————  给爱学习的你的福利  —————

随着大众互联网理财观念的逐步普及,理财规模随之扩大,应运而生的智能投顾,成本低、风险分散、无情绪化,越来越多的中产阶层、大众富裕阶层已然在慢慢接受。王蓁博士将以真实项目带你走上智能投顾之路,详情请识别下图二维码或点击文末阅读原文~

————————————————————

登录查看更多
5

相关内容

【大规模数据系统,552页ppt】Large-scale Data Systems
专知会员服务
61+阅读 · 2019年12月21日
你有哪些深度学习(rnn、cnn)调参的经验?
七月在线实验室
10+阅读 · 2019年3月27日
Tensorflow框架是如何支持分布式训练的?
AI100
9+阅读 · 2019年3月26日
BAT机器学习面试1000题(716~720题)
七月在线实验室
19+阅读 · 2018年12月17日
BAT机器学习面试题1000题(331~335题)
七月在线实验室
12+阅读 · 2018年8月13日
【286页干货】一天搞懂深度学习
七月在线实验室
9+阅读 · 2018年1月30日
如何找到最优学习率?
AI研习社
11+阅读 · 2017年11月29日
BAT机器学习面试1000题系列(第36~40题)
七月在线实验室
8+阅读 · 2017年10月3日
Optimization for deep learning: theory and algorithms
Arxiv
106+阅读 · 2019年12月19日
Accelerated Methods for Deep Reinforcement Learning
Arxiv
6+阅读 · 2019年1月10日
Adversarial Transfer Learning
Arxiv
12+阅读 · 2018年12月6日
Arxiv
6+阅读 · 2018年2月24日
VIP会员
相关资讯
你有哪些深度学习(rnn、cnn)调参的经验?
七月在线实验室
10+阅读 · 2019年3月27日
Tensorflow框架是如何支持分布式训练的?
AI100
9+阅读 · 2019年3月26日
BAT机器学习面试1000题(716~720题)
七月在线实验室
19+阅读 · 2018年12月17日
BAT机器学习面试题1000题(331~335题)
七月在线实验室
12+阅读 · 2018年8月13日
【286页干货】一天搞懂深度学习
七月在线实验室
9+阅读 · 2018年1月30日
如何找到最优学习率?
AI研习社
11+阅读 · 2017年11月29日
BAT机器学习面试1000题系列(第36~40题)
七月在线实验室
8+阅读 · 2017年10月3日
Top
微信扫码咨询专知VIP会员