基础 | 一文轻松搞懂-条件随机场CRF

2018 年 3 月 24 日 黑龙江大学自然语言处理实验室 甄冉冉

阅读大概需要5分钟!



根据实验室师兄,师姐讲的条件随机场CRF,我根据我的理解来总结下。有什么疑问的尽管在评论里指出,我们共同探讨



总说


CRF Conditional Random Field ),中文被翻译为 条件随机场 。经常被用于 序列标注 ,其中包括 词性标注,分词,命名实体识别 等领域。但是为什么叫这个名字呢?下面看完了基本也就明白了!那我们继续吧。



理论


我们以命名实体识别NER为例,先介绍下NER的概念:



这里的label_alphabet中的b代表一个实体的开始,即begin;m代表一个实体的中部,即middle;e代表一个实体的结尾,即end;o代表不是实体,即None;<start>和<pad>分表代表这个标注label序列的开始和结束,类似于机器翻译的<SOS>和<EOS>。



这个就是word和label数字化后变成word_index,label_index。最终就变成下面的形式:



因为label有7种,每一个字被预测的label就有7种可能,为了数字化这些可能,我们从word_index到label_index设置一种分数,叫做发射分数emit



看这个图,有word_index 的 1 -> 到label_index 的 4的小红箭头,像不像发射过来的?此时的分数就记作emit[1][4]。


另外,我们想想,如果单单就这个发射分数来评价,太过于单一了,因为这个是一个序列,比如前面的label为o,那此时的label被预测的肯定不能是m或s,所以这个时候就需要一个分数代表前一个label到此时label的分数,我们叫这个为转移分数,即T



如图,横向的label到label箭头,就是由一个label到另一个label转移的意思,此时的分数为T[4][4]。


此时我们得出此时的word_index=1到label_index=4的分数为emit[1][4]+T[4][4]。


整体的score就为:



最后的公式为这样的:



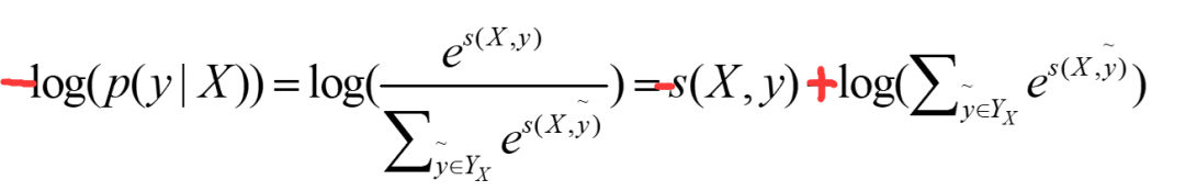
其中X为word_index序列,y为预测的label_index序列。


因为这个预测序列有很多种,种类为label的排列组合大小。其中只有一种组合是对的,我们只想通过神经网络训练使得对的score的比重在总体的所有score的越大越好。而这个时候我们一般softmax化,即:



其中分子中的s为label序列为正确序列的score,分母s为每种可能的score。


这个比值越大,我们的预测就越准,所以,这个公式也就可以当做我们的loss,可是loss一般都越小越好,那我们就对这个加个负号即可,但是这个最终结果趋近于1的,我们实验的结果是趋近于0的,这时候log就派上用场了,即:



当然这个log也有平滑结果的功效。





计算所有路径的得分


就是为了求得所有预测序列可能的得分和。我们第一种想法就是每一种可能都求出来,然后累加即可。可是,比如word长为10,那么总共需要计算累加10^7次,这样的计算太耗时间了。那么怎么计算的时间快呢?这里有一种方法:


因为刚开始为<start>即为5,然后word_index为0的时候的所有可能的得分,即s[0][0],s[0][1]...s[0][6]。然后计算word_index为1的所有s[1][0],s[1][1]...s[1][6]的得分,这里以s[1][0]为例,即红箭头的焦点处:这里表示所有路径到这里的得分总和。



这里每个节点,都表示前面的所有路径到当前节点路径的所有得分之和。所以,最后的s[4][6]即为最终的得分之和,即:



计算gold分数,即: 这只要通过此时的T和emit函数计算就能得出,计算公式上面已经给出了:





训练过程


就是重复上述的求解所有路径的过程,将总和和gold的得分都求出来,得到loss,然后进行更新T,emit即可。(实现的话,其实emit是隐层输出,不是更新的对象,之后的实现会讲)




Decoder


这个过程,就是动态规划,但是在这种模型中,通常叫做维特比算法。如图:



大概思路就是这次的每个节点不是求和,而是求max值和记录此max的位置。就是这样:



最后每个节点都求了出来,结果为:



最后,根据最后的节点,向前选取最佳的路径。过程为:



就这样,我们计算出来了预测路径。



此图来自于实验室宋阳师姐的ppt,真实精心制作!赞!也感谢师姐的耐心解答。









登录查看更多
16

相关内容

条件随机域(场)(conditional random fields,简称 CRF,或CRFs),是一种判别式概率模型,是随机场的一种,常用于标注或分析序列资料,如自然语言文字或是生物序列。 如同马尔可夫随机场,条件随机场为具有无向的图模型,图中的顶点代表随机变量,顶点间的连线代表随机变量间的相依关系,在条件随机场中,随机变量 Y 的分布为条件机率,给定的观察值则为随机变量 X。原则上,条件随机场的图模型布局是可以任意给定的,一般常用的布局是链结式的架构,链结式架构不论在训练(training)、推论(inference)、或是解码(decoding)上,都存在效率较高的算法可供演算。
【斯坦福CS520】向量空间中嵌入的知识图谱推理,48页ppt
专知会员服务
104+阅读 · 2020年6月11日
一份循环神经网络RNNs简明教程,37页ppt
专知会员服务
173+阅读 · 2020年5月6日
深度学习自然语言处理概述,216页ppt,Jindřich Helcl
专知会员服务
216+阅读 · 2020年4月26日
麻省理工学院MIT-ICLR2020《神经网络能推断出什么?》
专知会员服务
51+阅读 · 2020年2月19日
Transformer文本分类代码
专知会员服务
118+阅读 · 2020年2月3日
【MIT深度学习课程】深度序列建模,Deep Sequence Modeling
专知会员服务
78+阅读 · 2020年2月3日
基础 | 长文详解基于并行计算的条件随机场
黑龙江大学自然语言处理实验室
6+阅读 · 2018年6月9日
简明条件随机场CRF介绍 | 附带纯Keras实现
PaperWeekly
23+阅读 · 2018年5月22日
零基础搞懂强化学习?这份视频攻略不算迟
AI研习社
6+阅读 · 2018年4月25日
基础 | GRU神经网络
黑龙江大学自然语言处理实验室
27+阅读 · 2018年3月5日
【286页干货】一天搞懂深度学习
七月在线实验室
9+阅读 · 2018年1月30日
干货|带你愉快的理解CRF
机器学习研究会
32+阅读 · 2017年11月27日
干货|如何轻松愉快的理解条件随机场(CRF)?
机器学习研究会
26+阅读 · 2017年8月2日
从点到线:逻辑回归到条件随机场
夕小瑶的卖萌屋
15+阅读 · 2017年7月22日
Conditional BERT Contextual Augmentation
Arxiv
8+阅读 · 2018年12月17日
Arxiv
3+阅读 · 2018年5月20日
Arxiv
8+阅读 · 2018年5月15日
Arxiv
4+阅读 · 2018年3月14日
VIP会员
相关VIP内容
【斯坦福CS520】向量空间中嵌入的知识图谱推理,48页ppt
专知会员服务
104+阅读 · 2020年6月11日
一份循环神经网络RNNs简明教程,37页ppt
专知会员服务
173+阅读 · 2020年5月6日
深度学习自然语言处理概述,216页ppt,Jindřich Helcl
专知会员服务
216+阅读 · 2020年4月26日
麻省理工学院MIT-ICLR2020《神经网络能推断出什么?》
专知会员服务
51+阅读 · 2020年2月19日
Transformer文本分类代码
专知会员服务
118+阅读 · 2020年2月3日
【MIT深度学习课程】深度序列建模,Deep Sequence Modeling
专知会员服务
78+阅读 · 2020年2月3日
相关资讯
基础 | 长文详解基于并行计算的条件随机场
黑龙江大学自然语言处理实验室
6+阅读 · 2018年6月9日
简明条件随机场CRF介绍 | 附带纯Keras实现
PaperWeekly
23+阅读 · 2018年5月22日
零基础搞懂强化学习?这份视频攻略不算迟
AI研习社
6+阅读 · 2018年4月25日
基础 | GRU神经网络
黑龙江大学自然语言处理实验室
27+阅读 · 2018年3月5日
【286页干货】一天搞懂深度学习
七月在线实验室
9+阅读 · 2018年1月30日
干货|带你愉快的理解CRF
机器学习研究会
32+阅读 · 2017年11月27日
干货|如何轻松愉快的理解条件随机场(CRF)?
机器学习研究会
26+阅读 · 2017年8月2日
从点到线:逻辑回归到条件随机场
夕小瑶的卖萌屋
15+阅读 · 2017年7月22日
Top
微信扫码咨询专知VIP会员