朴素贝叶斯分类器详解及中文文本舆情分析(附代码实践)

2018 年 10 月 22 日 AI100

参加 2018 AI开发者大会,请点击 ↑↑↑


作者 | 杨秀璋(笔名:Eastmount),贵州财经大学信息学院老师,硕士毕业于北京理工大学,主要研究方向是Web数据挖掘、知识图谱、Python数据分析、图像识别等。著有《Python网络数据爬取及分析从入门到精通》等书籍,五年来在CSDN原创近300篇文章、12个专栏。


本文主要讲述朴素贝叶斯分类算法并实现中文数据集的舆情分析案例,希望这篇文章对大家有所帮助,提供些思路。内容包括:


1.朴素贝叶斯数学原理知识

2.naive_bayes用法及简单案例

3.中文文本数据集预处理

4.朴素贝叶斯中文文本舆情分析


本篇文章为基础性文章,希望对你有所帮助,如果文章中存在错误或不足之处,还请海涵。同时,推荐大家阅读我以前的文章了解基础知识。


一. 朴素贝叶斯数学原理知识


该基础知识部分引用文章"机器学习之朴素贝叶斯(NB)分类算法与Python实现"(https://blog.csdn.net/moxigandashu/article/details/71480251),也强烈推荐大家阅读博主moxigandashu的文章,写得很好。同时作者也结合概率论讲解,提升下自己较差的数学。


朴素贝叶斯(Naive Bayesian)是基于贝叶斯定理和特征条件独立假设的分类方法,它通过特征计算分类的概率,选取概率大的情况,是基于概率论的一种机器学习分类(监督学习)方法,被广泛应用于情感分类领域的分类器。


下面简单回顾下概率论知识:


1.什么是基于概率论的方法?


通过概率来衡量事件发生的可能性。概率论和统计学是两个相反的概念,统计学是抽取部分样本统计来估算总体情况,而概率论是通过总体情况来估计单个事件或部分事情的发生情况。概率论需要已知数据去预测未知的事件。


例如,我们看到天气乌云密布,电闪雷鸣并阵阵狂风,在这样的天气特征(F)下,我们推断下雨的概率比不下雨的概率大,也就是p(下雨)>p(不下雨),所以认为待会儿会下雨,这个从经验上看对概率进行判断。而气象局通过多年长期积累的数据,经过计算,今天下雨的概率p(下雨)=85%、p(不下雨)=15%,同样的 p(下雨)>p(不下雨),因此今天的天气预报肯定预报下雨。这是通过一定的方法计算概率从而对下雨事件进行判断。



2.条件概率


若Ω是全集,A、B是其中的事件(子集),P表示事件发生的概率,则条件概率表示某个事件发生时另一个事件发生的概率。假设事件B发生后事件A发生的概率为:



设P(A)>0,则有 P(AB) = P(B|A)P(A) = P(A|B)P(B)。


设A、B、C为事件,且P(AB)>0,则有 P(ABC) = P(A)P(B|A)P(C|AB)。

现在A和B是两个相互独立的事件,其相交概率为 P(A∩B) = P(A)P(B)。


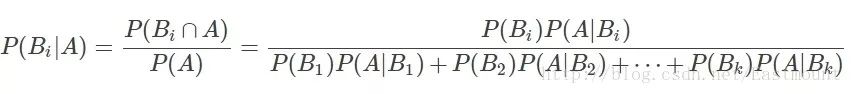
3.全概率公式


设Ω为试验E的样本空间,A为E的事件,B1、B2、....、Bn为Ω的一个划分,且P(Bi)>0,其中i=1,2,...,n,则:



P(A) = P(AB1)+P(AB2)+...+P(ABn)

        = P(A|B1)P(B1)+P(A|B2)P(B2)+...+P(A|Bn)P(Bn)



全概率公式主要用途在于它可以将一个复杂的概率计算问题,分解为若干个简单事件的概率计算问题,最后应用概率的可加性求出最终结果。


示例:有一批同一型号的产品,已知其中由一厂生成的占30%,二厂生成的占50%,三长生成的占20%,又知这三个厂的产品次品概率分别为2%、1%、1%,问这批产品中任取一件是次品的概率是多少?


参考百度文库资料:

https://wenku.baidu.com/view/05d0e30e856a561253d36fdb.html


4.贝叶斯公式


设Ω为试验E的样本空间,A为E的事件,如果有k个互斥且有穷个事件,即B1、B2、....、Bk为Ω的一个划分,且P(B1)+P(B2)+...+P(Bk)=1,P(Bi)>0(i=1,2,...,k),则:



P(A):事件A发生的概率;

P(A∩B):事件A和事件B同时发生的概率;

P(A|B):事件A在时间B发生的条件下发生的概率;

意义:现在已知时间A确实已经发生,若要估计它是由原因Bi所导致的概率,则可用Bayes公式求出。


5.先验概率和后验概率


先验概率是由以往的数据分析得到的概率,泛指一类事物发生的概率,根据历史资料或主观判断未经证实所确定的概率。后验概率而是在得到信息之后再重新加以修正的概率,是某个特定条件下一个具体事物发生的概率。



6.朴素贝叶斯分类


贝叶斯分类器通过预测一个对象属于某个类别的概率,再预测其类别,是基于贝叶斯定理而构成出来的。在处理大规模数据集时,贝叶斯分类器表现出较高的分类准确性。


假设存在两种分类:


  1) 如果p1(x,y)>p2(x,y),那么分入类别1

  2) 如果p1(x,y)<p2(x,y),那么分入类别2


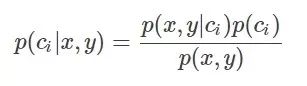
引入贝叶斯定理即为:


其中,x、y表示特征变量,ci表示分类,p(ci|x,y)表示在特征为x,y的情况下分入类别ci的概率,因此,结合条件概率和贝叶斯定理有:


  1) 如果p(c1|x,y)>p(c2,|x,y),那么分类应当属于类别c1

  2) 如果p(c1|x,y)<p(c2,|x,y),那么分类应当属于类别c2


贝叶斯定理最大的好处是可以用已知的概率去计算未知的概率,而如果仅仅是为了比较p(ci|x,y)和p(cj|x,y)的大小,只需要已知两个概率即可,分母相同,比较p(x,y|ci)p(ci)和p(x,y|cj)p(cj)即可。



7.示例讲解


假设存在14天的天气情况和是否能打网球,包括天气、气温、湿度、风等,现在给出新的一天天气情况,需要判断我们这一天可以打网球吗?首先统计出各种天气情况下打网球的概率,如下图所示。



接下来是分析过程,其中包括打网球yse和不打网球no的计算方法。



最后计算结果如下,不去打网球概率为79.5%。



8.优缺点


  • 监督学习,需要确定分类的目标 

  • 对缺失数据不敏感,在数据较少的情况下依然可以使用该方法

  • 可以处理多个类别 的分类问题

  • 适用于标称型数据 

  • 对输入数据的形势比较敏感

  • 由于用先验数据去预测分类,因此存在误差


二. naive_bayes用法及简单案例


scikit-learn机器学习包提供了3个朴素贝叶斯分类算法:


  • GaussianNB(高斯朴素贝叶斯)

  • MultinomialNB(多项式朴素贝叶斯)

  • BernoulliNB(伯努利朴素贝叶斯)


1.高斯朴素贝叶斯


调用方法为:sklearn.naive_bayes.GaussianNB(priors=None)。

下面随机生成六个坐标点,其中x坐标和y坐标同为正数时对应类标为2,x坐标和y坐标同为负数时对应类标为1。通过高斯朴素贝叶斯分类分析的代码如下:


1# -*- coding: utf-8 -*-
2import numpy as np
3from sklearn.naive_bayes import GaussianNB
4X = np.array([[-1, -1], [-2, -1], [-3, -2], [1, 1], [2, 1], [3, 2]])
5Y = np.array([111222])
6clf = GaussianNB()
7clf.fit(X, Y)      
8pre = clf.predict(X)
9print u"数据集预测结果:", pre
10print clf.predict([[-0.8, -1]])
11
12clf_pf = GaussianNB()
13clf_pf.partial_fit(X, Y, np.unique(Y)) #增加一部分样本
14print clf_pf.predict([[-0.8, -1]])


输出如下图所示,可以看到[-0.8, -1]预测结果为1类,即x坐标和y坐标同为负数。



2.多项式朴素贝叶斯


多项式朴素贝叶斯:sklearn.naive_bayes.MultinomialNB(alpha=1.0, fit_prior=True, class_prior=None)主要用于离散特征分类,例如文本分类单词统计,以出现的次数作为特征值。


参数说明:alpha为可选项,默认1.0,添加拉普拉修/Lidstone平滑参数;fit_prior默认True,表示是否学习先验概率,参数为False表示所有类标记具有相同的先验概率;class_prior类似数组,数组大小为(n_classes,),默认None,类先验概率。


3.伯努利朴素贝叶斯


伯努利朴素贝叶斯:sklearn.naive_bayes.BernoulliNB(alpha=1.0, binarize=0.0, fit_prior=True,class_prior=None)。类似于多项式朴素贝叶斯,也主要用于离散特征分类,和MultinomialNB的区别是:MultinomialNB以出现的次数为特征值,BernoulliNB为二进制或布尔型特性


下面是朴素贝叶斯算法常见的属性和方法。


1) class_prior_属性

观察各类标记对应的先验概率,主要是class_prior_属性,返回数组。代码如下:


1print clf.class_prior_
2#[ 0.5  0.5]


2) class_count_属性


获取各类标记对应的训练样本数,代码如下:


1print clf.class_count_
2#[ 3.  3.]


3) theta_属性

获取各个类标记在各个特征上的均值,代码如下:


1print clf.theta_
2#[[-2.         -1.33333333]
3# [ 2.          1.33333333]]


4) sigma_属性


获取各个类标记在各个特征上的方差,代码如下:


1print clf.theta_
2#[[-2.         -1.33333333]
3# [ 2.          1.33333333]]


5) fit(X, y, sample_weight=None)


训练样本,X表示特征向量,y类标记,sample_weight表各样本权重数组。


1#设置样本不同的权重
2clf.fit(X,Y,np.array([0.05,0.05,0.1,0.1,0.1,0.2,0.2,0.2]))
3print clf  
4print clf.theta_  
5print clf.sigma_ 


输出结果如下所示:


1GaussianNB()
2[[-2.25 -1.5 ]
3 [ 2.25  1.5 ]]

4[[ 0.6875  0.25  ]
5 [ 0.6875  0.25  ]]


6) partial_fit(X, y, classes=None, sample_weight=None)


增量式训练,当训练数据集数据量非常大,不能一次性全部载入内存时,可以将数据集划分若干份,重复调用partial_fit在线学习模型参数,在第一次调用partial_fit函数时,必须制定classes参数,在随后的调用可以忽略。


1import numpy as np  
2from sklearn.naive_bayes import GaussianNB  
3X = np.array([[-1,-1], [-2,-2], [-3,-3], [-4,-4], [-5,-5], 
4              [1,1], [2,2], [3,3]]
)  
5y = np.array([11111222])  
6clf = GaussianNB()  
7clf.partial_fit(X,y,classes=[1,2],
8                sample_weight=np.array([0.05,0.05,0.1,0.1,0.1,0.2,0.2,0.2]))  
9print clf.class_prior_ 
10print clf.predict([[-6,-6],[4,5],[2,5]])  
11print clf.predict_proba([[-6,-6],[4,5],[2,5]])


输出结果如下所示:


10.4  0.6]
2[1 2 2]
3[[  1.00000000e+00   4.21207358e-40]
4 [  1.12585521e-12   1.00000000e+00]
5 [  8.73474886e-11   1.00000000e+00]]


可以看到点[-6,-6]预测结果为1,[4,5]预测结果为2,[2,5]预测结果为2。同时,predict_proba(X)输出测试样本在各个类标记预测概率值。


7) score(X, y, sample_weight=None)


返回测试样本映射到指定类标记上的得分或准确率。


1pre = clf.predict([[-6,-6],[4,5],[2,5]])  
2print clf.score([[-6,-6],[4,5],[2,5]],pre)
3#1.0


最后给出一个高斯朴素贝叶斯算法分析小麦数据集案例,代码如下:


1# -*- coding: utf-8 -*-
2#第一部分 载入数据集
3import pandas as pd
4X = pd.read_csv("seed_x.csv")
5Y = pd.read_csv("seed_y.csv")
6print X
7print Y
8
9#第二部分 导入模型
10from sklearn.naive_bayes import GaussianNB  
11clf = GaussianNB()
12clf.fit(X, Y)      
13pre = clf.predict(X)
14print u"数据集预测结果:", pre
15
16#第三部分 降维处理
17from sklearn.decomposition import PCA
18pca = PCA(n_components=2)
19newData = pca.fit_transform(X)
20print newData[:4]
21
22#第四部分 绘制图形
23import matplotlib.pyplot as plt
24L1 = [n[0for n in newData]
25L2 = [n[1for n in newData]
26plt.scatter(L1,L2,c=pre,s=200)
27plt.show()


输出如下图所示:



最后对数据集进行评估,主要调用sklearn.metrics类中classification_report函数实现的,代码如下:


1from sklearn.metrics import classification_report
2print(classification_report(Y, pre))


运行结果如下所示,准确率、召回率和F特征为91%。



补充下Sklearn机器学习包常用的扩展类。


1#监督学习
2sklearn.neighbors #近邻算法
3sklearn.svm #支持向量机
4sklearn.kernel_ridge #核-岭回归
5sklearn.discriminant_analysis #判别分析
6sklearn.linear_model #广义线性模型
7sklearn.ensemble #集成学习
8sklearn.tree #决策树
9sklearn.naive_bayes #朴素贝叶斯
10sklearn.cross_decomposition #交叉分解
11sklearn.gaussian_process #高斯过程
12sklearn.neural_network #神经网络
13sklearn.calibration #概率校准
14sklearn.isotonic #保守回归
15sklearn.feature_selection #特征选择
16sklearn.multiclass #多类多标签算法
17
18#无监督学习
19sklearn.decomposition #矩阵因子分解sklearn.cluster # 聚类
20sklearn.manifold # 流形学习
21sklearn.mixture # 高斯混合模型
22sklearn.neural_network # 无监督神经网络
23sklearn.covariance # 协方差估计
24
25#数据变换
26sklearn.feature_extraction # 特征提取sklearn.feature_selection # 特征选择
27sklearn.preprocessing # 预处理
28sklearn.random_projection # 随机投影
29sklearn.kernel_approximation # 核逼近


三. 中文文本数据集预处理


假设现在需要判断一封邮件是不是垃圾邮件,其步骤如下:


  • 数据集拆分成单词,中文分词技术

  • 计算句子中总共多少单词,确定词向量大小

  • 句子中的单词转换成向量,BagofWordsVec

  • 计算P(Ci),P(Ci|w)=P(w|Ci)P(Ci)/P(w),表示w特征出现时,该样本被分为Ci类的条件概率

  • 判断P(w[i]C[0])和P(w[i]C[1])概率大小,两个集合中概率高的为分类类标


下面讲解一个具体的实例。


1.数据集读取


假设存在如下所示10条Python书籍订单评价信息,每条评价信息对应一个结果(好评和差评),如下图所示:



数据存储至CSV文件中,如下图所示。



下面采用pandas扩展包读取数据集。代码如下所示:


1# -*- coding: utf-8 -*-
2import numpy as np
3import pandas as pd
4
5data = pd.read_csv("data.csv",encoding='gbk')
6print data
7
8#取表中的第1列的所有值
9print u"获取第一列内容"
10col = data.iloc[:,0]  
11#取表中所有值  
12arrs = col.values
13for a in arrs:
14    print a


输出结果如下图所示,同时可以通过data.iloc[:,0]获取第一列的内容。



2.中文分词及过滤停用词


接下来作者采用jieba工具进行分词,并定义了停用词表,即:

stopwords = {}.fromkeys([',', '。', '!', '这', '我', '非常'])

完整代码如下所示:


1# -*- coding: utf-8 -*-
2import numpy as np
3import pandas as pd
4import jieba
5
6data = pd.read_csv("data.csv",encoding='gbk')
7print data
8
9#取表中的第1列的所有值
10print u"获取第一列内容"
11col = data.iloc[:,0]  
12#取表中所有值  
13arrs = col.values
14#去除停用词  
15stopwords = {}.fromkeys([',''。''!''这''我''非常'])
16
17print u"\n中文分词后结果:"
18for a in arrs:
19    #print a
20    seglist = jieba.cut(a,cut_all=False)     #精确模式  
21    final = ''
22    for seg in seglist:
23        seg = seg.encode('utf-8')
24        if seg not in stopwords: #不是停用词的保留
25            final += seg
26    seg_list = jieba.cut(final, cut_all=False
27    output = ' '.join(list(seg_list))         #空格拼接
28    print output


然后分词后的数据如下所示,可以看到标点符号及“这”、“我”等词已经过滤。



3.词频统计


接下来需要将分词后的语句转换为向量的形式,这里使用CountVectorizer实现转换为词频。如果需要转换为TF-IDF值可以使用TfidfTransformer类。词频统计完整代码如下所示:


1# -*- coding: utf-8 -*-
2import numpy as np
3import pandas as pd
4import jieba
5
6data = pd.read_csv("data.csv",encoding='gbk')
7print data
8
9#取表中的第1列的所有值
10print u"获取第一列内容"
11col = data.iloc[:,0]  
12#取表中所有值  
13arrs = col.values
14#去除停用词  
15stopwords = {}.fromkeys([',''。''!''这''我''非常'])
16
17print u"\n中文分词后结果:"
18corpus = []
19for a in arrs:
20    #print a
21    seglist = jieba.cut(a,cut_all=False)     #精确模式  
22    final = ''
23    for seg in seglist:
24        seg = seg.encode('utf-8')
25        if seg not in stopwords: #不是停用词的保留
26            final += seg
27    seg_list = jieba.cut(final, cut_all=False
28    output = ' '.join(list(seg_list))         #空格拼接
29    print output
30    corpus.append(output)
31
32#计算词频
33from sklearn.feature_extraction.text import CountVectorizer
34from sklearn.feature_extraction.text import TfidfTransformer
35
36vectorizer = CountVectorizer() #将文本中的词语转换为词频矩阵  
37X = vectorizer.fit_transform(corpus) #计算个词语出现的次数    
38word = vectorizer.get_feature_names() #获取词袋中所有文本关键词  
39for w in word: #查看词频结果
40    print w,
41print ''
42print X.toarray()  


输出结果如下所示,包括特征词及对应的10行数据的向量,这就将中文文本数据集转换为了数学向量的形式,接下来就是对应的数据分析了。



如下所示得到一个词频矩阵,每行数据集对应一个分类类标,可以预测新的文档属于哪一类。



TF-IDF相关知识推荐我的文章: [python] 使用scikit-learn工具计算文本TF-IDF值(https://blog.csdn.net/eastmount/article/details/50323063)


四. 朴素贝叶斯中文文本舆情分析


最后给出朴素贝叶斯分类算法分析中文文本数据集的完整代码。


1# -*- coding: utf-8 -*-
2import numpy as np
3import pandas as pd
4import jieba
5
6#http://blog.csdn.net/eastmount/article/details/50323063
7#http://blog.csdn.net/eastmount/article/details/50256163
8#http://blog.csdn.net/lsldd/article/details/41542107
9
10####################################
11#         第一步 读取数据及分词
12#
13data = pd.read_csv("data.csv",encoding='gbk')
14print data
15
16#取表中的第1列的所有值
17print u"获取第一列内容"
18col = data.iloc[:,0]  
19#取表中所有值  
20arrs = col.values
21
22#去除停用词  
23stopwords = {}.fromkeys([',''。''!''这''我''非常'])
24
25print u"\n中文分词后结果:"
26corpus = []
27for a in arrs:
28    #print a
29    seglist = jieba.cut(a,cut_all=False)     #精确模式  
30    final = ''
31    for seg in seglist:
32        seg = seg.encode('utf-8')
33        if seg not in stopwords: #不是停用词的保留
34            final += seg
35    seg_list = jieba.cut(final, cut_all=False
36    output = ' '.join(list(seg_list))         #空格拼接
37    print output
38    corpus.append(output)
39
40####################################
41#         第二步 计算词频
42#
43from sklearn.feature_extraction.text import CountVectorizer
44from sklearn.feature_extraction.text import TfidfTransformer
45
46vectorizer = CountVectorizer() #将文本中的词语转换为词频矩阵  
47X = vectorizer.fit_transform(corpus) #计算个词语出现的次数    
48word = vectorizer.get_feature_names() #获取词袋中所有文本关键词  
49for w in word: #查看词频结果
50    print w,
51print ''
52print X.toarray()  
53
54
55####################################
56#         第三步 数据分析
57#
58from sklearn.naive_bayes import MultinomialNB  
59from sklearn.metrics import precision_recall_curve  
60from sklearn.metrics import classification_report
61
62#使用前8行数据集进行训练,最后两行数据集用于预测
63print u"\n\n数据分析:"
64X = X.toarray()
65x_train = X[:8]
66x_test = X[8:]
67#1表示好评 0表示差评
68y_train = [1,1,0,0,1,0,0,1]
69y_test = [1,0]
70
71#调用MultinomialNB分类器  
72clf = MultinomialNB().fit(x_train, y_train)
73pre = clf.predict(x_test)
74print u"预测结果:",pre
75print u"真实结果:",y_test
76
77from sklearn.metrics import classification_report
78print(classification_report(y_test, pre))


输出结果如下所示,可以看到预测的两个值都是正确的。即“一本优秀的书籍,值得读者拥有。”预测结果为好评(类标1),“很差,不建议买,准备退货。”结果为差评(类标0)。


1数据分析:
2预测结果: [1 0]
3真实结果: [1, 0]
4             precision    recall  f1-score   support
5
6          0       1.00      1.00      1.00         1
7          1       1.00      1.00      1.00         1
8
9avg / total       1.00      1.00      1.00         2


但存在一个问题,由于数据量较小不具备代表性,而真实分析中会使用海量数据进行舆情分析,预测结果肯定页不是100%的正确,但是需要让实验结果尽可能的好。最后补充一段降维绘制图形的代码,如下:


1#降维绘制图形
2from sklearn.decomposition import PCA
3pca = PCA(n_components=2)
4newData = pca.fit_transform(X)
5print newData
6
7pre = clf.predict(X)
8Y = [1,1,0,0,1,0,0,1,1,0]
9import matplotlib.pyplot as plt
10L1 = [n[0] for n in newData]
11L2 = [n[1] for n in newData]
12plt.scatter(L1,L2,c=pre,s=200)
13plt.show()


输出结果如图所示,预测结果和真实结果都是一样的,即[1,1,0,0,1,0,0,1,1,0]。



点击阅读全文,查看作者更多精彩文章


【完】

2018 AI开发者大会

只讲技术,拒绝空谈


2018 AI开发者大会是一场由中美人工智能技术高手联袂打造的AI技术与产业的年度盛会!是一场以技术落地为导向的干货会议!大会设置了10场技术专题论坛,力邀15+硅谷实力讲师团和80+AI领军企业技术核心人物,多位一线经验大咖带你将AI从云端落地。


大会日程以及嘉宾议题请查看下方海报

(点击查看大图)

登录查看更多
1

相关内容

朴素贝叶斯法是基于贝叶斯定理与特征条件独立假设的分类方法。对于给定的训练数据集,首先基于“特征条件独立”的假设学习输入/输出的联合概率分布。然后基于此模型,对给定输入x,利用贝叶斯定理求后验概率最大的y。 朴素贝叶斯实现简单,学习与预测的效率都很高,是一种常用的方法。
【经典书】机器学习:贝叶斯和优化方法,1075页pdf
专知会员服务
414+阅读 · 2020年6月8日
【干货书】用于概率、统计和机器学习的Python,288页pdf
专知会员服务
291+阅读 · 2020年6月3日
【经典书】机器学习高斯过程,266页pdf
专知会员服务
235+阅读 · 2020年5月2日
【干货书】机器学习Python实战教程,366页pdf
专知会员服务
346+阅读 · 2020年3月17日
【论文推荐】文本分析应用的NLP特征推荐
专知会员服务
34+阅读 · 2019年12月8日
【书籍】深度学习框架:PyTorch入门与实践(附代码)
专知会员服务
167+阅读 · 2019年10月28日
干货 | 一文详解隐含狄利克雷分布(LDA)
人工智能头条
10+阅读 · 2018年7月8日
自然语言处理(4)之中文文本挖掘流程详解(小白入门必读)
机器学习算法与Python学习
5+阅读 · 2017年12月22日
图文详解高斯过程(一)——含代码
论智
7+阅读 · 2017年12月18日
干货 | 自然语言处理(1)之聊一聊分词原理
机器学习算法与Python学习
5+阅读 · 2017年12月7日
专栏 | 技术干货:一文详解LDA主题模型
机器之心
28+阅读 · 2017年12月1日
【深度】从朴素贝叶斯到维特比算法:详解隐马尔科夫模型
算法与数学之美
7+阅读 · 2017年11月25日
机器学习(13)之最大熵模型详解
机器学习算法与Python学习
7+阅读 · 2017年8月24日
详解基于朴素贝叶斯的情感分析及Python实现
AI研习社
9+阅读 · 2017年7月12日
Bivariate Beta LSTM
Arxiv
6+阅读 · 2019年10月7日
Arxiv
21+阅读 · 2019年8月21日
Arxiv
6+阅读 · 2018年2月8日
VIP会员
相关VIP内容
【经典书】机器学习:贝叶斯和优化方法,1075页pdf
专知会员服务
414+阅读 · 2020年6月8日
【干货书】用于概率、统计和机器学习的Python,288页pdf
专知会员服务
291+阅读 · 2020年6月3日
【经典书】机器学习高斯过程,266页pdf
专知会员服务
235+阅读 · 2020年5月2日
【干货书】机器学习Python实战教程,366页pdf
专知会员服务
346+阅读 · 2020年3月17日
【论文推荐】文本分析应用的NLP特征推荐
专知会员服务
34+阅读 · 2019年12月8日
【书籍】深度学习框架:PyTorch入门与实践(附代码)
专知会员服务
167+阅读 · 2019年10月28日
相关资讯
干货 | 一文详解隐含狄利克雷分布(LDA)
人工智能头条
10+阅读 · 2018年7月8日
自然语言处理(4)之中文文本挖掘流程详解(小白入门必读)
机器学习算法与Python学习
5+阅读 · 2017年12月22日
图文详解高斯过程(一)——含代码
论智
7+阅读 · 2017年12月18日
干货 | 自然语言处理(1)之聊一聊分词原理
机器学习算法与Python学习
5+阅读 · 2017年12月7日
专栏 | 技术干货:一文详解LDA主题模型
机器之心
28+阅读 · 2017年12月1日
【深度】从朴素贝叶斯到维特比算法:详解隐马尔科夫模型
算法与数学之美
7+阅读 · 2017年11月25日
机器学习(13)之最大熵模型详解
机器学习算法与Python学习
7+阅读 · 2017年8月24日
详解基于朴素贝叶斯的情感分析及Python实现
AI研习社
9+阅读 · 2017年7月12日
Top
微信扫码咨询专知VIP会员