详解基于朴素贝叶斯的情感分析及Python实现

2017 年 7 月 12 日 AI研习社 RobTomb

AI 研习社按:本文作者 RobTomb,原载于作者个人博客,AI 研习社经授权发布。

相对于「 基于词典的分析 」,「 基于机器学习 」的就不需要大量标注的词典,但是需要大量标记的数据,比如:

还是下面这句话,如果它的标签是:

服务质量 - 中 (共有三个级别,好、中、差)

╮(╯-╰)╭,其是机器学习,通过大量已经标签的数据训练出一个模型,

然后你在输入一条评论,来判断标签级别

宁馨的点评 国庆活动,用62开头的信用卡可以6.2元买一个印有银联卡标记的冰淇淋,

有香草,巧克力和抹茶三种口味可选,我选的是香草口味,味道很浓郁。

另外任意消费都可以10元买两个马卡龙,个头虽不是很大,但很好吃,不是很甜的那种,不会觉得腻。

标签:服务质量 - 中

  朴素贝叶斯


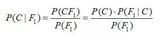
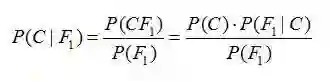
1、贝叶斯定理

假设对于某个数据集,随机变量C表示样本为C类的概率,F1表示测试样本某特征出现的概率,套用基本贝叶斯公式,则如下所示:

上式表示对于某个样本,特征F1出现时,该样本被分为C类的条件概率。那么如何用上式来对测试样本分类呢?

举例来说,有个测试样本,其特征F1出现了(F1=1),那么就计算P(C=0|F1=1)和P(C=1|F1=1)的概率值。前者大,则该样本被认为是0类;后者大,则分为1类。

对该公示,有几个概念需要熟知:

先验概率(Prior)。P(C)是C的先验概率,可以从已有的训练集中计算分为C类的样本占所有样本的比重得出。

证据(Evidence)。即上式P(F1),表示对于某测试样本,特征F1出现的概率。同样可以从训练集中F1特征对应样本所占总样本的比例得出。

似然(likelihood)。即上式P(F1|C),表示如果知道一个样本分为C类,那么他的特征为F1的概率是多少。

对于多个特征而言,贝叶斯公式可以扩展如下:

分子中存在一大串似然值。当特征很多的时候,这些似然值的计算是极其痛苦的。现在该怎么办?

2、朴素的概念 

为了简化计算,朴素贝叶斯算法做了一假设:“朴素的认为各个特征相互独立”。这么一来,上式的分子就简化成了:

P(C)P(F1|C)P(F2|C)...P(Fn|C)。

这样简化过后,计算起来就方便多了。

这个假设是认为各个特征之间是独立的,看上去确实是个很不科学的假设。因为很多情况下,各个特征之间是紧密联系的。然而在朴素贝叶斯的大量应用实践实际表明其工作的相当好。

其次,由于朴素贝叶斯的工作原理是计算P(C=0|F1...Fn)和P(C=1|F1...Fn),并取最大值的那个作为其分类。而二者的分母是一模一样的。因此,我们又可以省略分母计算,从而进一步简化计算过程。

另外,贝叶斯公式推导能够成立有个重要前期,就是各个证据(evidence)不能为0。也即对于任意特征Fx,P(Fx)不能为0。而显示某些特征未出现在测试集中的情况是可以发生的。因此实现上通常要做一些小的处理,例如把所有计数进行+1(加法平滑 additive smoothing,又叫拉普拉斯平滑 Laplace smothing)。而如果通过增加一个大于 0 的可调参数 alpha 进行平滑,就叫 Lidstone 平滑

  基于朴素贝叶斯的情感分类

原始数据集,只抽了10条

读数据

读取excel文件,用的pandas库的DataFrame的数据类型

分词

对每个评论分词,分词的同时去除停用词,得到如下词表

每个列表是与评论一一对应的

统计

这里统计什么呢?统计两种数据

1. 评论级别的次数

这里有三个级别分别对应

c0 → 好 2

c1 → 中 3

c2 → 差 5

2. 每个词在句子中出现的次数

得到一个字典数据

evalation [2, 5, 3]

半价 [0, 5, 0]

划算 [1, 1, 0]

不错 [0, 2, 0]

·········

不满 [0, 1, 0]

重要 [0, 1, 0]

清楚 [0, 1, 0]

具体 [0, 1, 0]

每个词(特征)后的 list坐标位:0,1,2分别对应好,中,差

以上工作完成之后,就是把模型训练好了,只不过数据越多越准确

测试

比如输入一个句子

世纪联华(百联西郊购物中心店)的点评 一个号称国际大都市,收银处的人服务态度差到极点。银联活动30-10,还不可以连单。

得到结果

c2-差

---------------------------



来聊聊吧

Python用起来还顺手么?

有没有什么想吐槽的?

欢迎在评论区分享


延伸阅读:Facebook 的数据预测工具 Prophet 有何优势?用贝叶斯推理一探究竟


 研习社特供福利  ID:OKweiwu

关注 AI 研习社后,回复【1】获取

【千G神经网络/AI/大数据、教程、论文!】
百度云盘地址!


点这个,可以拿到作者的源码!

▼▼

登录查看更多
9

相关内容

朴素贝叶斯法是基于贝叶斯定理与特征条件独立假设的分类方法。对于给定的训练数据集,首先基于“特征条件独立”的假设学习输入/输出的联合概率分布。然后基于此模型,对给定输入x,利用贝叶斯定理求后验概率最大的y。 朴素贝叶斯实现简单,学习与预测的效率都很高,是一种常用的方法。
【实用书】学习用Python编写代码进行数据分析,103页pdf
专知会员服务
198+阅读 · 2020年6月29日
一份简明有趣的Python学习教程,42页pdf
专知会员服务
77+阅读 · 2020年6月22日
【ACL2020】利用模拟退火实现无监督复述
专知会员服务
14+阅读 · 2020年5月26日
干净的数据:数据清洗入门与实践,204页pdf
专知会员服务
164+阅读 · 2020年5月14日
Transformer文本分类代码
专知会员服务
118+阅读 · 2020年2月3日
一文读懂贝叶斯分类算法(附学习资源)
大数据文摘
12+阅读 · 2017年12月14日
独家 | 一文读懂贝叶斯分类算法(附学习资源)
数据派THU
7+阅读 · 2017年12月7日
机器学习(29)之奇异值分解SVD原理与应用详解
机器学习算法与Python学习
6+阅读 · 2017年11月30日
机器学习(27)【降维】之主成分分析(PCA)详解
机器学习算法与Python学习
9+阅读 · 2017年11月22日
贝叶斯网络入门
论智
15+阅读 · 2017年11月19日
基于概率论的分类方法:朴素贝叶斯
Python开发者
8+阅读 · 2017年11月9日
朴素贝叶斯和贝叶斯网络算法及其R语言实现
R语言中文社区
10+阅读 · 2017年10月2日
机器学习(13)之最大熵模型详解
机器学习算法与Python学习
7+阅读 · 2017年8月24日
Talking-Heads Attention
Arxiv
15+阅读 · 2020年3月5日
Arxiv
26+阅读 · 2018年2月27日
Arxiv
4+阅读 · 2018年1月29日
VIP会员
相关VIP内容
【实用书】学习用Python编写代码进行数据分析,103页pdf
专知会员服务
198+阅读 · 2020年6月29日
一份简明有趣的Python学习教程,42页pdf
专知会员服务
77+阅读 · 2020年6月22日
【ACL2020】利用模拟退火实现无监督复述
专知会员服务
14+阅读 · 2020年5月26日
干净的数据:数据清洗入门与实践,204页pdf
专知会员服务
164+阅读 · 2020年5月14日
Transformer文本分类代码
专知会员服务
118+阅读 · 2020年2月3日
相关资讯
一文读懂贝叶斯分类算法(附学习资源)
大数据文摘
12+阅读 · 2017年12月14日
独家 | 一文读懂贝叶斯分类算法(附学习资源)
数据派THU
7+阅读 · 2017年12月7日
机器学习(29)之奇异值分解SVD原理与应用详解
机器学习算法与Python学习
6+阅读 · 2017年11月30日
机器学习(27)【降维】之主成分分析(PCA)详解
机器学习算法与Python学习
9+阅读 · 2017年11月22日
贝叶斯网络入门
论智
15+阅读 · 2017年11月19日
基于概率论的分类方法:朴素贝叶斯
Python开发者
8+阅读 · 2017年11月9日
朴素贝叶斯和贝叶斯网络算法及其R语言实现
R语言中文社区
10+阅读 · 2017年10月2日
机器学习(13)之最大熵模型详解
机器学习算法与Python学习
7+阅读 · 2017年8月24日
Top
微信扫码咨询专知VIP会员