求解稀疏优化问题——半光滑牛顿方法

2019 年 11 月 30 日 极市平台

加入极市专业CV交流群,与6000+来自腾讯,华为,百度,北大,清华,中科院等名企名校视觉开发者互动交流!更有机会与李开复老师等大牛群内互动!

同时提供每月大咖直播分享、真实项目需求对接、干货资讯汇总,行业技术交流。关注 极市平台 公众号 ,回复 加群,立刻申请入群~


来源:最优化理论和一阶方法知乎专栏

链接:https://zhuanlan.zhihu.com/p/92230537

本文已由作者授权转载,未经允许,不得二次转载


在这个一阶方法盛行的时代中,二阶方法看起来不那么受欢迎,能想到的优点好像只有“精度高”,但是原始的二阶方法(Newton,trust region,cubic regularizarion Newton)代价实在是太大了。为了权衡优缺点,出现了很多“似二非二”的算法,比如拟牛顿(quasi Newton),随机牛顿(stochastic Newton),次采样牛顿(subsample Newton)。这篇文章想讲下二阶方法一个很有意思的应用:利用半光滑牛顿(semismooth Newton)快速求解稀疏问题。目前已经出了许多相关文章,主要来自孙德锋老师的团队。有兴趣的可以参考他的主页。关于理论性的东西我就不说了(好像你会似的),这里我想简单阐述下这些文章的主要思想。

考虑一般问题:

其中  ,并且 n 特别大;

  • f表示一个凸可微函数,例如

  • g表示一个闭真凸函数,一般为稀疏正则函数,比如 LASSO: ,Fused LASSO,Clustered LASSO等


这个问题太general了,并且特别多的一阶方法可以去求解它,比如临近梯度方法(proximal gradient)以及它的加速版FISTA;交替方向乘子法(ADMM),原始对偶(primal dual)等等。这些方法说快也挺快的,毕竟只用到了一阶信息。但是他们没有考虑到两点:


  • A的存在,通常直接考虑 

  • 稀疏性的利用.


所以当n特别大的时候,这些方法也没那么快了。接下来我要讲的这个框架就完美的利用了这两点。大概思想是

  • 利用ALM求解对偶问题,

  • 利用二阶方法求解ALM的子问题,这里利用了问题本身的稀疏结构,使得该二阶方法既拥有了二阶方法的精度,又拥有一阶方法的复杂度,美哉!


一、增广拉格朗日方法求解(P)的对偶问题

首先,我们获得其对偶问题:


其中表示共轭函数,定义为:


接下来我们用增广拉格朗日方法(ALM)去求解这个对偶问题,首先获得增广拉格朗日函数:

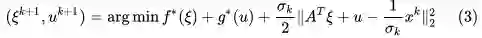
在第k步迭代中,ALM迭代过程如下:

我们把(2)第一行单拿出来:

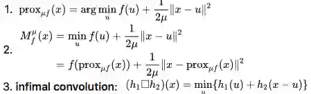
注意到,我们如果固定  ,对于u来说,上述问题是一个临近算子:

于是(3)就等价于

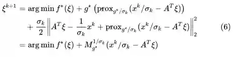
其实就是把闭式解(2)代入求解。好了,接下来的问题就是怎么求解这个  ,这玩意看起来好复杂啊,一点都不好解啊,甚至都不知道是不是光滑的。关键的地方来了,注意到中间包含了临近算子,我们将采样临近算子的一些性质去推导。虽然目标函数又臭又长,但是它是光滑的,并且它梯度的形式很简单!


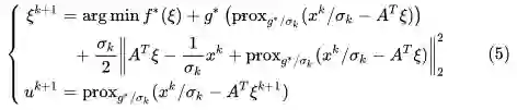
二、半光滑牛顿法求解ALM子问题(5)

首先,我给出一些需要用到的,关于Moreau envelope的一些定义和性质。

  • 定义

  • 性质

1. 是光滑函数,并且它的梯度为:  


2.Moreau分解:  

Proof.1. 严格的证明要写好几页,我就不写了,这里大概讲下,感兴趣的参考文献【2】的定理6.60

我们首先把表达成infimal convolution(定义3)的形式。令  ,于是我们得到了:  

而对于infimal convolution,我们知道  (这个等式满足需要一些条件,f 和为proper convex function)。

接着我们说明是u -strongly convex的,因为 对于一个extended real function,它的共轭函数一定是closed and convex. 所以是convex,而-smooth, 根据conjugate correspondence 定理,我们知道它的共轭  是u-strongly convex。综合就得到了是 u-strongly convex的。

最后,因为和 互为共轭,再次根据conjugate correspondence 定理,得到 -smooth的,也就等价于-smooth的。

而对于它的梯度的形式,也是从infimal convolution入手,令表示infimal convolution的解,我们有,利用的形式,我们就得到了最终的式子。

Proof.2. 还是见文献【2】的定理6.45.(因为证明要用到了好多定理,就不证明了)



我们接下来去简化关于的求解

其中第二个等式利用了定义2。接下来我们利用半光滑牛顿法去求解问题(6)。

首先给出其梯度以及Hessian矩阵。,根据性质1,我们知道这个函数是光滑的,并且它的梯度为:

第一个等式是性质1,第二个等式是性质2. 

半光滑牛顿法是要求解如下方程

定义它的广义Hessian矩阵为:

半光滑牛顿法的基本迭代为

其中  。

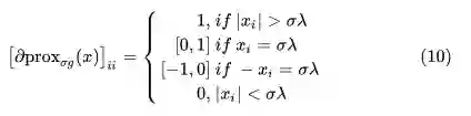
为什么是半光滑牛顿?因为这个Hessian矩阵不唯一,为什么不唯一,因为临近算子的jacb矩阵不唯一,或者说临近算子不光滑。从这个式子来看,也没什么不一样啊,为什么要用二阶方法呢?接下来轮到稀疏性发挥作用了。由于我们的g是稀疏函数。所以关于其临近算子的jacbi矩阵通常是也是稀疏矩阵。这里我们以为例。当, 它的proximal operator为:

因为这个算子是可分得(各个分量互不影响),所以 一定是对角矩阵。关注第i个分量:

画图的话大概长这样,中间那条横线的两端分别为-。左右两条线斜率都为1.

所以很容易得到最终其对角元为

所以对于(8)的第二部分,我只需要将对角元非零的相对应的A的子矩阵相乘即可,这大大的降低了计算量。

看下图:

  • 左边括号里面的就是,当

  • 是一个对角矩阵。图中就是(9)中的 

  • 蓝色的就是我们实际计算的部分,红色部分为对角元为0对应的A的列,白色部分为(10)式子中的第二三种情况,你自己选择要零还是非零(通常直接选择0,并且实际中这种情况极其少见,毕竟刚好相等有点难)。

来自于孙德锋老师主页

这样子的做法,既保证了快速收敛(比较少的迭代),又保证了每步的复杂度差不多为一阶算法(取决于稀疏程度)。妙啊~~~~


三、总结


  • 首先我讲的这个是一个general的算法框架,非光滑函数不限于Lasso,可以是其他稀疏正则。差别就在于如何计算其临近算子的jacbi矩阵。目前主要的一些正则函数都出了文章了,参考孙老师主页http://www.polyu.edu.hk/ama/profile/dfsun/

  • 虽然非光滑函数可以是任意凸的函数,但如果没有稀疏性或者其他结构的话,这个方法不见得有效。所以说没有一个一统江湖的方法,只有合适某类问题的方法。


参考文献:

[1] Li X, Sun D, Toh K C. A highly efficient semismooth Newton augmented Lagrangian method for solving Lasso problems[J]. SIAM Journal on Optimization, 2018, 28(1): 433-458.

[2]Beck, Amir. First-Order Methods in Optimization || Front Matter[J]. 10.1137/1.9781611974997:i-xii.



-End-



*延伸阅读




CV细分方向交流群


添加极市小助手微信(ID : cv-mart),备注:研究方向-姓名-学校/公司-城市(如:目标检测-小极-北大-深圳),即可申请加入目标检测、目标跟踪、人脸、工业检测、医学影像、三维&SLAM、图像分割、OCR、姿态估计等极市技术交流群(已经添加小助手的好友直接私信),更有每月大咖直播分享、真实项目需求对接、干货资讯汇总,行业技术交流一起来让思想之光照的更远吧~



△长按添加极市小助手


△长按关注极市平台


打了这么多的公式,不给个在看啦~  

登录查看更多
50

相关内容

非凸优化与统计学,89页ppt,普林斯顿Yuxin Chen博士
专知会员服务
104+阅读 · 2020年6月28日
【经典书】机器学习:贝叶斯和优化方法,1075页pdf
专知会员服务
414+阅读 · 2020年6月8日
普林斯顿大学经典书《在线凸优化导论》,178页pdf
专知会员服务
186+阅读 · 2020年2月3日
CMU博士论文:可微优化机器学习建模
专知会员服务
63+阅读 · 2019年10月26日
一文读懂线性回归、岭回归和Lasso回归
CSDN
34+阅读 · 2019年10月13日
机器学习计算距离和相似度的方法
极市平台
10+阅读 · 2019年9月20日
样本贡献不均:Focal Loss和 Gradient Harmonizing Mechanism
从最优化的角度看待 Softmax 损失函数
极市平台
31+阅读 · 2019年2月21日
优化哈希策略
ImportNew
5+阅读 · 2018年1月17日
Image Segmentation Using Deep Learning: A Survey
Arxiv
47+阅读 · 2020年1月15日
Arxiv
3+阅读 · 2018年10月18日
Deep Learning for Generic Object Detection: A Survey
Arxiv
14+阅读 · 2018年9月6日
A Multi-Objective Deep Reinforcement Learning Framework
Arxiv
3+阅读 · 2018年4月9日
Arxiv
9+阅读 · 2018年3月20日
VIP会员
相关论文
Image Segmentation Using Deep Learning: A Survey
Arxiv
47+阅读 · 2020年1月15日
Arxiv
3+阅读 · 2018年10月18日
Deep Learning for Generic Object Detection: A Survey
Arxiv
14+阅读 · 2018年9月6日
A Multi-Objective Deep Reinforcement Learning Framework
Arxiv
3+阅读 · 2018年4月9日
Arxiv
9+阅读 · 2018年3月20日
Top
微信扫码咨询专知VIP会员