LibRec 每周算法:Collaborative Metric Learning (WWW'17)

2017 年 7 月 4 日 LibRec智能推荐 辛永佳

本周介绍WWW 2017的文章:Collaborative Metric Learning,其核心是将Metric Learning和Collaborative Filtering结合提升推荐效果。


Cheng-Kang Hsieh, Longqi Yang,Yin Cui, et al., Collaborative Metric Learning, WWW 2017


本文指出基于矩阵分解的CF模型使用点积度量user vector与 item vector的方式不满足三角不等式,导致MF模型无法捕获用户的细粒度偏好。因此提出使用Large-Margin Nearest Neighbor(LMNN)中提到的异类远离思想, 即一个用户所喜欢的商品要远离这个用户不喜欢的物品。并且该距离会被一个与Rank(物品的排序)有关的权重控制,文章中进一步考虑了使用deep learning 进行特征映射,正则项约束,协方差正则化等。最终,在一系列标准数据集上进行测试,发现提出的算法性能提升明显。


距离度量



概念:相似性(距离)度量简单讲就是一种比较两个对象相似程度的工具,例如比较人脸的相似性、人体姿势的相似性,也可用于图像搜索等应用。


一般需要根据处理的问题选择合适的相似性度量函数d(x,y),其满足的条件为:


常见的相似性度量方法主要有: 欧氏距离、曼哈顿距离、切比雪夫距离、闵可夫斯基距离、马氏距离、夹角余弦、信息熵等。相似性度量描述两个对象之间的相似程度,假设特征向量x和y分别表示为:

相似度度量函数d(x,y)表示x和y之间的距离,d(x,y)越小表示x和y越相似。


距离度量可以理解为相似度, 任何方法只要用到相似度,就会涉及到度量学习。度量学习的目的就是使得相似的样本距离更小,不相似的样本距离更大,如图(左图为欧式距离,右图为马氏距离):


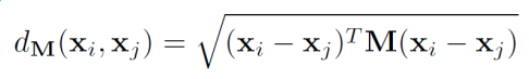
由于人的面部识别、姿态识别、步态识别甚至行为识别等特征的维度之间往往具有很强的相关性,因此度量学习的主流就是马氏距离学习。欧氏距离源自欧式空间中两个点之间的距离公式,其计算公式为(语义信息):

而马氏距离(协方差信息)的定义为:

Large-Margin Nearest Neighbor(LMNN)



Lpull项定义(同类聚合):

其中i是j的target neighbor,Lpush表示所有target neighbor对距离之和。


Lpush项定义(异类远离):

基本原理, 如图所示:


Collaborative Metric Learning(CML)



本文使用ui与vi分别作为用户与物品的特征描述。定义用户ui与vi之前距离,使用的是欧式距离:

Loss function为:

其中,用户i喜欢物品j,同时用户i不喜欢物品j,[z]+表示铰链损失(合叶损失函数),wij表示排名的权重。m表示安全距离,可以将相关对集合S与不相关的数据对分离开来。如下图所示:

图中含义非常明显:对于User喜欢的物品(Positive item),其渐变向User移动。同时,User不喜欢的物品,在计算的过程中,会逐渐从向外移动,直到被推出外围一个安全的距离(m)。


其原理与Weinberger的Metic learning经典文章(large margin nearest neighbor)LMNN[1]的方式非常相似,但本文提到的loss function与LMNN有三点不同:

  • User的目标邻居(target neighbors)为用户喜欢的所有items,items没有目标邻居。CML是以每一个User作为一个分类标签,items只属于某个特定的类。

  • CML没有Lpull, 只保留了Lpush项。item可以被很多user喜欢,最小化Lpull明显是不合理的。

  • 本文采用加权的排名损失(weighted ranking loss)优化Top-K recommendations。


Approximated Ranking Weight


本小节提到对用户的low rank进行penalize(距离直接利用欧式距离,惩罚采用WARP)。low rank可以理解为User的推荐item列表的位置靠后的item。low rank penalize的目的就是通过给rank(i,j)大的样本更大的权重wij,使得在训练的过程中更加重视这些样本。rank越大,惩罚越大。同时, 本小节介绍了如何计算pairwise样本的权重Wij, 文中提到的计算方式:

  • 对于每一个user-item 对,并行采样U对negative items,并计算hinge loss

  • rank(i, j)的值为J*M/U向下取整


Integrating Item Features, Regularization and Training Procedure


本小节使用deep learing学习将物品feature到物品的latent vector的映射函数(transformation function)f(x), 解决Cold-Start问题。L2 损失函数的定义:

另外,选择合适的正则化方式对于提出的Model非常重要, 一方面, 所有用户与物品特征必须满足以下条件:

以确保metric的鲁棒性。


另一方面,使用协方差正则化[2],Loss Lc的定义如下:

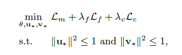
最终模型主要有三部分组成(Metric Learing部分,Deep Learing部分与正则化部分):

其中lambda_f 与 lambda_c为超参数,作为loss function的损失函数。本文使用SGD最小化约束对象函数, 使用AdaGrad控制learning rating.


训练主要步骤:

实验评估



本文使用了6个不同领域的数据集:


CML与两组baseline进行对比,结果为:

小结


本文提出CML,将Metric Learing与CF结合以提升推荐效果。根据论文中实验结果,在大部分情况下, CML性能提升明显。在实际生产环境中,需要根据具体的场景进行实验,有兴趣的读者可以研究下作者的源码。


https://github.com/changun/CollMetric 


猜您喜欢


LibRec 每周算法:ConvMF (RecSys'16)

LibRec 每周算法:CDL (KDD'15)


扩展阅读:Distance Metric Learning (DML)


  1. Wikipedia for Metric

  2. DML入门必读综述页面,分别介绍了Supervised Distance Metric Learning 与 Unsupervised Distance Metric Learning 经典方法,code与paper都可下载。其中她总结的Distance Metric Learning:A Comprehensive Survey非常有价值

  3. ECCV 2010的turorial

  4. Weinberger主页上有LMNN(Distance Metric Learning for Large Margin Nearest Neighbor Classification)的sclides和code

  5. ITML(Information Throretic Metric Learning)。ITML是DML的经典算法,获得了ICML 2007的best paper award,对应的sclides[2]


参考资料


  1. K. Q. Weinberger and L. K. Saul. Distance metric learning for large margin nearest neighbor classication. Journal of Machine Learning Research, 10(Feb):207-244, 2009.

  2. M. Cogswell, F. Ahmed, R. Girshick, L. Zitnick, and D. Batra. Reducing overfitting in deep networks by decorrelating representations. ICLR'15, 2015.

  3. http://column.hongliangjie.com/%E8%AF%BB%E8%AE%BA%E6%96%87/2017/04/16/www2017-cml/

  4. http://rsarxiv.github.io/


登录查看更多
6

相关内容

度量学习的目的为了衡量样本之间的相近程度,而这也正是模式识别的核心问题之一。大量的机器学习方法,比如K近邻、支持向量机、径向基函数网络等分类方法以及K-means聚类方法,还有一些基于图的方法,其性能好坏都主要有样本之间的相似度量方法的选择决定。 度量学习通常的目标是使同类样本之间的距离尽可能缩小,不同类样本之间的距离尽可能放大。
【Google】监督对比学习,Supervised Contrastive Learning
专知会员服务
75+阅读 · 2020年4月24日
近期必读的6篇顶会WWW2020【推荐系统】相关论文-Part3
专知会员服务
58+阅读 · 2020年4月14日
一份简短《图神经网络GNN》笔记,入门小册
专知会员服务
226+阅读 · 2020年4月11日
【新书】Pro 机器学习算法Python实现,379页pdf
专知会员服务
204+阅读 · 2020年2月11日
【推荐系统/计算广告/机器学习/CTR预估资料汇总】
专知会员服务
88+阅读 · 2019年10月21日
度量学习中的pair-based loss
极市平台
65+阅读 · 2019年7月17日
通俗易懂,互联网的常见推荐算法
架构师之路
6+阅读 · 2018年4月17日
读论文Discriminative Deep Metric Learning for Face and KV
统计学习与视觉计算组
12+阅读 · 2018年4月6日
LibRec 每周算法:LDA主题模型
LibRec智能推荐
29+阅读 · 2017年12月4日
基于机器学习方法的POI品类推荐算法
全球人工智能
3+阅读 · 2017年11月22日
LibRec 每周算法:DeepFM
LibRec智能推荐
14+阅读 · 2017年11月6日
LibRec 每周算法:NFM (SIGIR'17)
LibRec智能推荐
8+阅读 · 2017年10月17日
Arxiv
13+阅读 · 2019年1月26日
Arxiv
8+阅读 · 2018年5月15日
Arxiv
9+阅读 · 2018年3月28日
VIP会员
相关资讯
度量学习中的pair-based loss
极市平台
65+阅读 · 2019年7月17日
通俗易懂,互联网的常见推荐算法
架构师之路
6+阅读 · 2018年4月17日
读论文Discriminative Deep Metric Learning for Face and KV
统计学习与视觉计算组
12+阅读 · 2018年4月6日
LibRec 每周算法:LDA主题模型
LibRec智能推荐
29+阅读 · 2017年12月4日
基于机器学习方法的POI品类推荐算法
全球人工智能
3+阅读 · 2017年11月22日
LibRec 每周算法:DeepFM
LibRec智能推荐
14+阅读 · 2017年11月6日
LibRec 每周算法:NFM (SIGIR'17)
LibRec智能推荐
8+阅读 · 2017年10月17日
Top
微信扫码咨询专知VIP会员