【1736】这道早期乳腺癌化疗的“减法题”,21基因检测教你做

2018 年 5 月 16 日 肿瘤资讯
编译:oyasimi
来源:肿瘤资讯

如何平衡乳腺癌治疗疗效与乳腺癌患者的经济负担是临床工作者常常面对的一个问题。各种评估预后的临床病理模型及基因工具能够帮助医生们更准确地估计个体辅助化疗的获益程度。基因工具的广泛应用到底是否改变了医生的临床决策及患者的治疗方案?这篇发表在JNCI的文章就介绍了基因工具近年来带来的豁免化疗的新风向。

背景

对于一部分早期乳腺癌患者,化疗是一种过度治疗,甚至对她们有害无益。随着2006-2013年新发乳腺癌患者越来越多的进行基因工具检测,辅助化疗大幅减少。尽管如此,不同患者及肿瘤医生的决策背景,不同临床因素下对豁免辅助化疗决策的影响仍需进一步研究。临床决策除了客观疾病因素外,还受到患者对于复发的恐惧心理、医生是否不愿放过任何潜在改善预后的机会等因素的影响。

了解治疗决策模式的改变对于提高癌症治疗的个体化治疗疗效而言是必不可少的,因此,Kurian等人进行了大样本的研究,以探明早期乳腺癌化疗的新风向。

研究方法

该研究纳入SEER数据库中20-79岁在2013年-2015年确诊为I-II期乳腺癌并行手术治疗的患者共7303例,(主要来自洛杉矶与佐治亚)。共5080名患者完成了调查(答复率为70%)

本研究的内容主要包括研究者的系统评估、患者的认知测试及代表性人群的试点研究。将该调查报告与SEER数据库整合,通过患者提供的医生姓名,由SEER数据库对医生进行验证并进行调研。

SEER数据库整合的临床信息包括诊断日期、癌症分期、分级、肿瘤大小、ER、PR、HER2/neu表达情况。Oncotype基因检测(低、中、高危分级)由中心实验室检测。仅纳入浸润性乳腺癌I-II期、ER+HER2-的患者。根据NCCN指南对淋巴结状态进行分组并进行系统治疗:1)淋巴结阳性组(AJCC分期N1或N2);2)淋巴结阴性或仅<2mm的微转移(AJCC分期N0或N1mi)。另外调研回报了患者的诊断年龄、种族、化疗方案、肿瘤科医生处就诊情况及医生对患者推荐化疗的程度(倾向化疗、有点赞成化疗、由患者自行决定、有点反对化疗、强烈反对化疗)。

肿瘤科医生同样接受问卷调查,问卷中提供了两个病例,一例为60岁、绝经后、T0.7cm、淋巴结阴性的患者,另一例为48岁、绝经前、T2.2cm、淋巴结两枚转移的患者。问卷就这两个病例是否进行基因检测、是否考虑患者化疗意愿等问题进行调查,并调查了当基因结果与临床病理特征的危险程度相反时所作的临床决策。

本研究使用广义线性混合模型来模拟时间和临床因素对化疗收益的影响。建模因素包括年龄、基因结果、肿瘤分级、肿瘤大小、淋巴结状态等临床病理信息。同时,利用该模型估计全人群的情况,固定基因检测值模拟时间与基因检测率在各个淋巴结亚组的关系,或在使用辅助化疗的人群中比较各因素对基因检测率的影响。所有因素无权重纳入模型,使用Proc NMIXED和proc SURVEYFREQ (SAS version 9.4)软件.使用Rao-Scott 卡方检验进行统计分析。P<0.05为有统计学意义,双侧检验。

结果

共2844例数据纳入研究,患者平均年龄62岁。从2013年到2015年,接受辅助化疗的患者每季度降低了14.3% 。整体而言,化疗从34.5% (95% CI.30.8% -38.3%)降低至21.3%(95% CI 19.0% -23.7%)。在淋巴结阳性组中,化疗率从81.1%(95%CI,76.6%-85.0%)降低至 64.2% (95% CI,58.6%-69.6%), 淋巴结阴性/微转移组化疗率从26.6% (95% CI,23.0%-30.7%) 降至14.1% (95% CI,12.0%-16.3%)。

辅助化疗的趋势与临床病理因素在统计学上相关,这些影响因素包括年龄(每 10年: OR 0.44, 95%CI 0.38 - 0.51), 基因检测 (较未行基因检测: OR 14.14, 95% CI 6.08 - 32.88), 淋巴结阳性(OR 13.46, 95% CI 9.39 - 19.28),组织学分级( 3级 vs 1级: OR  10.45, 95% CI 6.90 - 15.83)。

图1 淋巴结阳性组,淋巴结阴性或微转移组的辅助化疗率的整体趋势(蓝色、红色区域为线型模型的95%CI)

约半数淋巴结阴性/微转移的病人接受基因检测,检测率仅从2013年的52.1%略增至2015年的54.1%。淋巴结阳性的病人检测率从2013年的26.1%(95% CI,11.3%-40.9%)增长至42.7%(95% CI,28.3% -57.1%)。图2为两种方法模拟的淋巴结对化疗使用的影响,实线展示的是当基因使用时化疗率改变的平均趋势,虚线展示的是估测的实时化疗率。淋巴结阳性组中,在两种模型中的下降幅度分别为每季度–2.0% (95% CI, –2.6% - –1.4%)和–3.0% (95% CI,–4.0% - –1.9%)。淋巴结阴性或微转移组中两种模型结果相似。

图2 淋巴结阳性,淋巴结阴性或微转移组的辅助化疗的平均降低趋势(实线)及实时降低趋势(虚线)

关于肿瘤科医生的调研回收共2393份,其中1.4%的患者在肿瘤医生反对化疗时仍接受了辅助化疗。当肿瘤医生支持化疗时74.9%的患者选择化疗,而在肿瘤医生选择让患者自行决定时17.0%患者接受化疗。随着时间推移,肿瘤医生推荐的化疗逐渐减少,每季度降低8.2% (95%CI,3.9% - 13.3%)。

图3  接受化疗患者接诊医生的意愿分布,医生推荐化疗(紫色)逐年减少,医生建议豁免化疗(绿色)逐年增多。

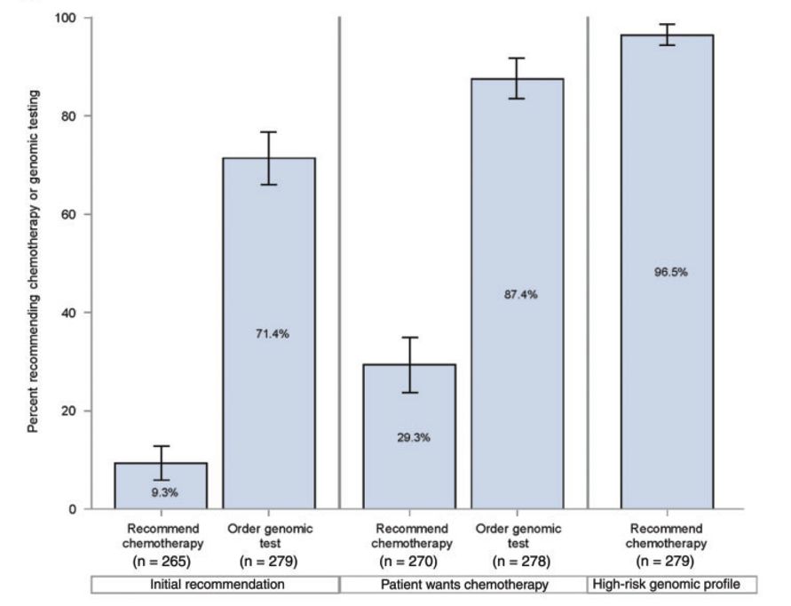
本研究一个有趣的数据在于医生间的调查报告。参与调研的肿瘤医生304名。在预后较优的病人中,推荐化疗的医生较少(9.3%, 95% CI 5.8% -12.9%),大多数医生推荐了基因检测(71.4%, 95% CI 66.0% -76.8% )。而当患者希望化疗时,推荐化疗的医生增至29.3%,同时,更多医生推荐基因检测。检测结果为高危时,96.5% (95% CI,94.4% - 98.6%)的医生推荐化疗。

图4 临床信息预后较好案例的医生调研结果

在临床信息提示预后较差的案例中,几乎所有的医生均推荐了化疗(99.6%,95% CI.98.9% - 100.0%),在患者抗拒化疗时,推荐化疗的医生有所下降(91.3%, 95% CI.87.9% - 94.7%)。此时,推荐基因检测的医生增长了3倍(从 17.5%, 95%CI,13.1% -22.0%, 增长至67.4%, 95% CI,61.7% -73.0%, P < .001)。而当基因结果为低危时,仍有56.4%(95% CI,50.7% -62.2%)的医生推荐化疗。

图4 临床信息预后较差案例的医生调研结果

结论

随着基因工具逐渐被医生和患者接受,基因检测确实在改变临床实践,就整体及各淋巴结亚组而言,化疗率都在降低。虽然这没有改变指南,但是相信更多临床试验将会为此提供关键性证据。

参考文献

Allison W Kurian, Irina Bondarenko, Reshma Jagsi, Christopher R Friese, M Chandler McLeod, Sarah T Hawley, Ann S Hamilton, Kevin C Ward, Timothy P Hofer, Steven J Katz; Recent Trends in Chemotherapy Use and Oncologists’ Treatment Recommendations for Early-Stage Breast Cancer, JNCI: Journal of the National Cancer Institute, Volume 110, Issue 5, 1 May 2018, Pages 493–500

责任编辑:肿瘤资讯-贾老师

28个肿瘤相关临床试验招募患者


点击下方图片即可查看详情


登录查看更多
0

相关内容

基于深度学习的多标签生成研究进展
专知会员服务
147+阅读 · 2020年4月25日
专知会员服务
29+阅读 · 2020年3月6日
广东疾控中心《新型冠状病毒感染防护》,65页pdf
专知会员服务
19+阅读 · 2020年1月26日
【华侨大学】基于混合深度学习算法的疾病预测模型
专知会员服务
97+阅读 · 2020年1月21日
【Blood】去甲基化治疗失败后,MDS应如何治疗?
Generating Fact Checking Explanations
Arxiv
9+阅读 · 2020年4月13日
Arxiv
4+阅读 · 2018年4月30日
Arxiv
4+阅读 · 2018年1月19日
VIP会员
Top
微信扫码咨询专知VIP会员