以机器学习为代表的人工智能技术需要对海量数据进行处理,对底层算力要求极高。分布式机器学习通过将计算 任务分布式地部署到多个计算节点来加快模型的训练速度,从而将训练任务完成时间降低到可接受范围。由于通信开销对分 布式机器学习系统的扩展性具有重要影响,因此,分布式机器学习系统网络性能优化受到各界研究者的广泛关注。本文首先 分析了分布式机器学习系统扩展性不足的主要原因,并提出了改善其扩展性的关键思路,然后系统地综述了分布式机器学习 系统网络性能优化相关的研究工作,并对这些研究工作从多个角度进行了对比分析。最后,对分布式机器学习系统网络性能 优化研究的未来发展趋势进行了展望。

引言

近年来,以机器学习,尤其是深度学习,为 代表的人工智能技术在图像识别[1]、语音识别[2]、 机器翻译[3]和自动驾驶[4]等应用领域都取得了突 破性进展。其原因可以分为三个方面:首先,互 联网、大数据技术的发展,积累了海量的训练数 据,在这些数据中蕴含着丰富的信息;其次,机 器学习理论的发展使得机器学习算法和模型不断 完善,为从训练数据中挖掘有价值的信息创造可 能;最后,GPU 等加速器以及云计算等技术大幅 提升计算性能,大大加快了从数据中获取信息的 速度,使得机器学习技术的应用成为现实。总之, 作为第三次人工智能浪潮的“催化剂”,算力的大 幅提升直接将人工智能再次推向新的繁荣期。高性能的机器学习算法往往具有更高的计算 需求。据 OpenAI 统计,人工智能训练所需要的算 力呈指数级增长,每 3.5 个月翻一倍①。相比之下, 近年来计算引擎的发展速度则远远落后于模型计 算需求的增长。以 Nvidia GPU 发展为例,表 1 展 示了 2012 年以来 Nvidia 的多代 GPU 在训练 ResNet 模型时的性能表现。可以看到近 8 年来, GPU 的计算性能只提高了 16 倍左右,远低于同 期模型计算需求的增长。在“后摩尔定律”时代, 单个计算引擎的性能提升逐渐进入了瓶颈期。面 对日益复杂的计算任务,分布式机器学习被认为 是必然的发展趋势,逐渐成为业界的研究热点[5]。

在分布式机器学习训练任务的迭代计算过程 中,不同计算节点间需要频繁同步机器学习模型 参数,以使得该模型能够遍历完整的数据集,从 而保证最终得到的模型与使用单机训练的模型一 致。然而,随着计算节点数量的增多,一方面, 不同节点间进行参数同步的流量逐渐增加;另一 方面,为了避免单轮训练过多数据(即批尺寸过 大)带来的模型泛化能力下降问题[6],每个节点 所分配的计算任务会逐渐减少。因此,对于分布 式机器学习系统,通信开销和计算开销的比值会 随着系统规模的增大而呈现幂增长趋势。这导致 通信成为限制大规模分布式机器学习系统扩展效 率的主要瓶颈,甚至出现随着节点数量增加,模 型训练速度反而下降的情况[7-11]。并且,过多的通 信时间会导致 GPU 等昂贵的计算设备大部分时 间处于等待参数同步的状态,造成计算资源的浪 费。因此,研究如何对分布式机器学习系统的网 络性能进行优化,降低通信操作对分布式机器学 习系统扩展效率的影响,从而提高机器学习模型 的训练速度,具有重要的研究意义和实用价值。 本文将首先介绍分布式机器学习系统的通信 特点,并分析网络通信成为分布式机器学习系统 扩展性瓶颈的原因,然后提出三种优化网络性能 的关键思路,并以这些思路为指导,从通信模式、 通信数据量、通信效率以及网络拓扑等方面具体 地介绍分布式机器学习系统网络性能优化研究的 最新进展,并从加速效果、优化机制、扩展性、 对模型收敛性的影响以及是否需要升级硬件设备 或更新互联方式等多个角度对这些研究工作进行 对比分析,最后讨论分布式机器学习系统中网络 性能优化研究的未来发展趋势2. 分布式机器学习

随着信息技术快速发展,全球数据呈现爆发 式增长,推动人类社会迈入大数据时代。在大数 据时代,机器学习训练任务往往需要对海量的训 练数据进行大量的计算,以提高模型的准确度。在单机上执行这样的训练任务,无论是在计算速 度还是在数据存储方面都显得十分吃力。例如, 使用单块 Nvidia Tesla V100 GPU 训练自然语言处 理模型 BERT-large 需要耗时 78 天,这显然是不可 接受的。分布式机器学习的目标则是将训练任务 分布式地部署到多个计算节点,从而提高模型训 练的速度,减少任务耗时。因此,分布式机器学 习已经成为机器学习最热门的研究领域之一分布式机器学习的并行方式主要包括数据并 行(Data Parallelism)和模型并行(Model Parallelism)。如图 3 所示,数据并行是指每个计算节 点上均具有同一机器学习模型的副本,但不同计 算节点分配到的训练数据是不同的,不同计算节 点间需要将各自的模型更新进行同步,以保证机 器学习模型的全局一致性。模型并行则是将机器 学习模型划分为多个子模型,并分别部署在不同 计算节点上,训练数据统一输入,前一节点完成 子模型计算后将计算结果传递给后一节点继续对 该训练样本进行处理。数据并行由于操作简单, 且不同节点的计算负载比较均衡,应用最为广泛。目前,TensorFlow[13]、Pytorch[14]和 MXNet[15]等主 流机器学习框架均对数据并行提供了支持,并且 具有极好的易用性,但模型并行仍需要用户手动 对模型进行划分和分布式部署。

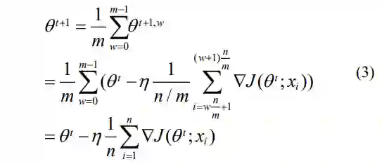
假设某分布式机器学习系统共有 m 个计算节 点,批尺寸为 n。当采用数据并行时,每个计算 节点每轮处理的样本数量为 n/m。各计算节点基 于所分配到的训练数据对模型进行更新,然后将 不同计算节点更新后的模型进行汇总。汇总后的 模型参数如下:

对比公式(2)和公式(3)可知,如果在每一轮训 练结束时,将模型参数在所有计算节点间进行同 步,则分布式训练时的模型参数变化和单机训练 完全相同,即分布式训练可以在不改变模型的收 敛性的前提下提高模型的收敛速度。需要说明的 是,在实际应用中,一般是对不同计算节点的梯 度进行汇总,然后使用汇总后的梯度来更新模型 参数,并将新的参数赋给各计算节点的模型副本。相比于单机训练,分布式训练额外引入了节 点之间的数据通信,从而导致分布式训练的速度 无法随着计算节点数量的增加而线性提高。衡量分布式机器学习训练加速效果的指标主要包括加 速比(speedup)和扩展效率(scaling efficiency)。加速比是指同一机器学习训练任务在单机训练和 分布式训练时所需时间的比值。加速比越大,分 布式训练的加速效果越显著,也就是说,可以更 快地完成训练任务。需要注意的是,加速比有可 能出现小于 1 的情况,此时分布式训练速度反而 不及单机训练。扩展效率是指加速比和计算节点 数量的比值。扩展效率越高,各计算节点的计算 资源利用率也就越高。图 4 展示了利用 Nvidia Tesla V100 GPU 训练 BERT 模型时加速比和扩展 效率随 GPU 数量的变化,可以看出加速比和扩展 效率的变化趋势并不相同。一般来说,随着节点 数量的增多,扩展效率呈下降趋势,而加速比则 呈先升后降趋势。加速比在节点数量增多时反而 下降,是由于参数同步引入的通信开销抵消了新 增节点带来的性能收益。

具体来说,网络性能之所以会成为分布式机 器学习系统扩展性瓶颈的主要原因有以下三点:1) 机器学习模型越来越复杂,模型参数量 不断增加。机器学习算法理论的快速发展催生出 各种各样的机器学习模型。例如,OpenAI 最近提 出的自然语言处理模型 GPT-3 [16]具有 1750 亿参 数,而 Krizhevsky 等 人 在 2012 年提出的 AlexNet[17]模型参数量仅为 0.45 亿。这导致在相 同节点规模下,任意两个计算节点间需要同步的 参数量随之大幅增加,加剧了分布式机器学习系 统中网络通信的压力;2) 复杂的机器学习模型同时也意味着需要 更多的算力,导致分布式系统规模的增大。如前 所述,在机器学习模型不变的情况下,分布式系 统规模越大,每个节点所承担的计算任务越少, 计算耗时越短;与之相反,分布式系统规模越大, 每个节点需要通信的对端节点数量越多,通信耗 时越长。因此,随着分布式机器学习系统规模的 增大,通信开销在整体模型训练开销中的占比越 来越高;3) GPU 等计算设备的性能提升速度快于网络设备的升级。虽然计算设备的性能提升速度远 不及模型算力需求的增长,但仍比网络设备的升 级速度更快。计算性能和通信性能的差距越来越 大,即,计算资源在单位时间内处理的数据需要 更长的时间才能被网络资源处理完。这意味着分 布式机器学习系统中的网络瓶颈问题将会日益严重。

如图 5 所示,为消除(或缓解)网络性能对 分布式机器学习系统扩展性的限制,从本质上来 说,有以下三种根本性思路:

1) 降低通信需求。通信需求,即需要通信 的数据量和通信次数,对通信耗时具有根本性的 影响。显然,数据量越大,或者通信越频繁,通 信耗时越长。因此,为了减少通信耗时,可以从 机器学习算法层面构建低网络通信需求的训练模 型,或采用知识蒸馏和模型剪枝等方式对原模型 进行修改以减小模型尺寸。这些方法会造成训练 模型的变化,超出了本文的讨论范围,故后文不 再作详细描述。参数量化以及参数稀疏化保持训 练模型不变,通过降低被传输的参数量来降低通 信需求。并行方式的优化通过权衡参数数据量和 激活值数据量的大小来切换不同的并行方式:当 参数数据量较少时,采用数据并行;反之,采用 模型并行。模型一致性协议通过控制参数同步的 频率来调节通信需求。参数同步架构对通信次数 和每次通信的数据量均会产生影响,通过选取合 适的参数同步架构可以有效降低通信需求;

2) 提升通信能力。在通信需求一定时,分 布式系统的通信能力越高,通信耗时越短。通信 能力的提升主要有两种方式。一种是利用 RDMA、NVLink 等高性能传输协议实现高带宽、低时延的 网络传输,或利用 MLT 等新型机器学习专用传输 协议降低丢包对传输性能的影响;另一种是采用 高带宽的网络互联拓扑。例如,BCube 和 BiGraph 均采用多网卡服务器架构,不但大幅提高每个计 算节点对外通信的能力,甚至可将节点内的通信 流量导出到服务器外部,从而绕过 PCIe 瓶颈;

3) 提高通信效率。在通信需求和通信能力 均确定的情况下,还可以通过提高通信效率来加 速分布式机器学习训练。例如,在 GPU 节点间进 行集合通信时,NCCL 通信库由于针对 GPU 设备 采取了定制优化,因此具有比传统集合通信库 MPI 更高的性能。网内聚合通过逐跳汇聚参数, 增加了单位数据所蕴含的参数信息,从而提高了 通信效率。通信调度是在通信需求和通信能力固 定的情况下,高效利用网络资源的一种方式,既 包括采用小尺寸梯度聚合来降低启动开销的方 案,也包括优先传输紧急参数来增加计算和通信 重叠程度的方式。

**3 参数同步模式优化 **

在大规模分布式机器学习训练场景中,计算 节点间需要频繁地进行参数同步,因此,参数同 步模式对整体训练性能具有重要的影响。本节将 从模型一致性协议和参数同步架构这两个方面详 细介绍对参数同步模式进行优化的相关工作。

**3.1 模型一致性协议 **

在数据并行模式下,每个计算节点都需要保 存一份相同的模型副本,然后使用本地的训练数 据对模型副本进行更新。因此,在训练过程中, 不同计算节点所维护的模型副本会出现差异。为 了使得分布式训练能够取得与单机训练相同的效 果,需要保证这些模型副本的一致性。

**3.2 参数同步架构 **

除模型一致性协议外,参数同步架构对大规 模分布式机器学习系统的性能也有至关重要的影 响。参数同步架构是指不同计算节点上的模型更 新进行汇总,并对模型副本进行更新的方式。按 每次模型更新是否推送给所有其他计算节点,参 数同步架构可以分为中心化架构和去中心化架 构;按模型更新是否在单一逻辑节点汇总,可以 分为集中式架构和分布式架构。一般来说,中心化架构既可以是集中式架构,也可以是分布式架 构;而去中心化架构一定是分布式架构。目前常 用的参数同步架构大多为中心化架构,因此,除 特别说明外,下文所提到的参数同步架构均为中 心化架构。

4. 优化方案

通信效率优化

在实际部署中,通信的性能和效率也会对参 数同步过程产生重要的影响。即使采用相同的参 数同步模式,不同的通信方式也会对整体的训练 性能造成很大的差异。因此,为了提高分布式机 器学习训练时的通信效率,研究人员在以下方面 进行了深入研究。

并行方式优化

如上文所述,数据并行和模型并行是两种经 典的分布式机器学习训练方式。对于数据并行来 说,通信开销主要来自不同计算节点间的参数同 步;对于模型并行来说,当某个计算节点的输入 来自另一个计算节点的输出时,便会产生通信开 销。当模型参数量小于中间计算结果的数据量时, 数据并行带来的通信开销较小;反之,模型并行 的通信开销更小。然而,对模型整体使用某一种 并行方式,可能无法达到最优的训练性能。因此, 一些工作[68-74]提出使用混合并行、流水并行等方 式,通过细粒度的并行优化来提升分布式训练性 能。

**网络拓扑优化 **

除以上优化方案外,分布式机器学习系统领 域的研究者也对分布式训练集群所使用的底层物 理网络拓扑提出了优化方案。

表 4 综合对比了近年来研究人员所提出的分 布式机器学习系统网络性能优化研究相关工作。 对比的主要指标包括优化机制、训练加速效果、 节点扩展性、对模型收敛性的影响以及是否需要 更换硬件设备或者互联方式等。这些工作从多个 层面对分布式机器学习系统的网络性能进行优 化,不同机制之间各有优劣。 从训练加速效果来看,ASP 这一模型一致性 协议将通信开销从模型训练的核心路径上移除, 使得网络通信不会阻塞训练过程,加速效果非常 好;模型压缩或并行方式优化等方案,有效地减 少了各计算节点通信的数据量,而网内聚合方案 则逐跳减少了网络中的流量,因此,这些方案具 有非常好的加速效果;传输协议和通信库优化类 方案提高了点到点通信性能,网络拓扑优化类方 案提高了通信节点之间的互联带宽,这些方案的 加速效果也很好;虽然不同参数同步架构的理论 参数同步时间之间的差距主要来自于时延开销, 但在实际中,负载均衡、多流竞争等都会影响不 同参数同步架构的实际参数同步时间,总体来说, 参数同步架构类方案的加速效果不如前面几种方案;通信调度类方案的加速效果与训练模型的通信/计算比高度相关,相比其他方案来说,加速效果 比较有限。 从节点扩展性来看,网内聚合类方案受限于交 换机硬件计算能力和存储空间限制,通常应用于单 机架规模的训练集群,扩展性较差;随着计算节点 数量的增多,通信/计算比越来越高,导致通信调度 类方案在节点数量较多时的扩展性较差;由于交换 机端口数量、布线难度等因素的限制,底层物理网 络拓扑的规模往往不能无限增大,如 BCube 适用于 集装箱规模的数据中心,故网络拓扑类方案的扩展 性一般;虽然传输协议和通信库类方案可将通信性

能提高数倍,暂缓网络瓶颈出现的时间,但随着节 点数量的增多,通信操作又将成为系统瓶颈,故该 类方案的扩展性也一般;并行方式优化类方案的模 型并行粒度不能无限切分,因此在节点规模很大 时,仍会出现大量节点使用数据并行的情况,并且 对大量节点求解最优并行方式的算法复杂度也非 常高,如 PipeDream 的求解时间与计算节点数的二 次方和模型层数的三次方成正比,以上因素导致并 行方式优化类方案的扩展性也一般;节点规模很大 时,环规约架构的通信时间被时延开销所主导,参 数服务器架构的连接数量也会大大增加,从而导致 传输性能的降低,故参数同步架构类方案的扩展性 一般;模型一致性协议从核心路径上移除了通信, 模型压缩类方案可将通信量降低数十乃至上百倍, 因此这两类方案的扩展性较高。 从对模型收敛性的影响来看,模型压缩会导致 参数同步时信息量的丢失,从而影响模型收敛性; SSP和ASP以及去中心化参数同步架构引入了陈旧 参数对全局模型的更新,也会对模型收敛性产生一 定影响;其他类方案不涉及通信内容的改变,故不 影响模型收敛性; 从对硬件的依赖性来看,RDMA 和 NVLink 需 要专用的硬件设备,故依赖于硬件设备的更新升 级;网内聚合类方案依赖于可编程交换机或专用交 换机来实现在网络内部对参数进行聚合的目的,故 该类方案也需要底层硬件设备的支持;网络拓扑类 方案涉及对整个集群互联方式的修改,比较适用于 新训练集群的搭建,在现有集群上的部署难度较 大;其他类方案均为软件层方案,对底层硬件环境 无特殊要求,因此部署难度较低,具有非常好的通 用性。 2016 年,Google 提出了一种分布式机器学习 新形式—联邦学习[85]。 本质上,联邦学习是一种 加密的分布式机器学习框架,允许各参与方在不共 享本地数据的条件下与其他各方共建模型。不同于 传统分布式机器学习,联邦学习面临四个新的问 题:客户端中数据非独立同分布问题、差分隐私问 题、通信开销问题和客户端无状态问题。本文仅关 注联邦学习中的通信开销问题。在联邦学习中,通 信开销远大于计算开销,这主要是由于客户端与中 央服务器之间的网络带宽有限,且连接质量较差, 同时不同客户端的连接质量参差不齐造成的。 虽然联邦学习是一种分布式机器学习框架,但 有些针对传统分布式机器学习的网络性能优化方 案却不适用于联邦学习。例如,客户端可能通过无 线方式接入网络,故无法对这些客户端之间的互联 方式进行改善;一般来说,联邦学习的网络瓶颈点 基本在客户端侧,因此,网内聚合的方式不能解决 联邦学习场景下的网络传输痛点;联邦学习中各客 户端均要使用本地数据进行训练,并且不会将本地 数据传输给其他客户端,因此联邦学习只能使用数 据并行方式,无法通过并行方式优化的方式来提高 训练速度。 联邦学习场景下的网络性能优化主要依赖对 通信内容的压缩来实现。一般来说,客户端上行链 路的带宽比下行链路带宽更小,因此,一些工作 [85-87]最早尝试通过多种梯度压缩方式,如量化、稀 疏化、下采样、矩阵分解、计数草图(count sketch) 和周期平均等,来减小客户端的上行通信压力。

随 后,一些工作[88]通过压缩参数的方式降低下行通信 成本。文献[88]采用 Federated Dropout 的方式对神 经元进行随机丢弃,这样客户端可以只训练一个更 小的子模型,从而既减小了中央服务器到客户端的 通信数据量,又能更加高效地完成本地计算。 虽然模型压缩会减缓模型的收敛速度,但受限 于网络连接质量,联邦学习不得不通过压缩通信内 容的方式来降低通信成本,提高训练速度。相比之 下,传统分布式机器学习训练集群的互联带宽非常 高,并且连接可靠性极高,因此,模型压缩在传统 分布式机器学习训练中往往作为可选方案,需要充 分权衡收敛性和训练速度来决定是否需要对模型 进行压缩,以及使用何种压缩方式和压缩比例。

5 研究趋势展望

分布式机器学习系统性能优化作为分布式机 器学习领域最为热门的研究方向之一,正在吸引越 来越多学术界和工业界研究人员的关注。由于分布 式机器学习系统网络性能优化研究与工业界结合 紧密,具有重要的实践价值,可以预计在未来数年 内相关研究还将持续成为焦点。 当前,国内学术界和工业界关于分布式机器学 习系统网络性能优化的研究基本与国际水平处于 并跑状态。因此,在国家大力发展新基建的背景下, 加强分布式机器学习系统网络性能优化研究,不但 能够为人工智能的发展提供内生动力,并且可以为 依托人工智能实现外部赋能创造条件,对于推动传统行业信息化、数字化、智能化转型升级具有非常 重要的意义。从网络通信的角度看,我们认为未来的分布式 机器学习系统性能优化研究主要包括以下四个方 向

(1)模型的高质量压缩。分布式机器学习训 练的通信数据量对通信耗时具有决定性影响。从机 器学习算法的发展趋势来看,越来越大的机器学习 模型已经成为必然[16][89]。因此,如何对训练超大模 型时的通信数据进行高质量的压缩,既能大幅降低 通信数据量,又不会造成训练信息的大量丢失,是 未来缓解甚至彻底消除网络瓶颈的重要方向。当 前,模型压缩程度仍然受到相关理论发展的限制, 通信数据的压缩是以更多的通信次数为代价的。除 相关压缩理论的突破外,未来可能的发展方向还包 括细粒度的模型压缩方式,如不同层乃至不同算子 采用不同的压缩方式、压缩比例,不同训练轮数采 用不同的压缩方式、压缩比例,从而避免最差压缩 比例限制整体的压缩效果。另一个可能的方向是综 合考虑时空相关性的模型压缩方式,当前的压缩算 法大多将每个参数值作为单独个体来处理,部分算 法引入时间序列相关性以将相邻两轮训练间的结 果相关联,从而降低随时间累积的压缩误差。然而, 参数张量的空间相关性尚未得到充分重视。视频压 缩领域中,基于时空相关性的视频帧间压缩方法已 得到广泛应用。因此,模型压缩可以借鉴视频压缩 领域的相关经验,综合考虑参数张量的时空相关性 对模型参数采取进一步的有效压缩。

(2)并行方式优化。除压缩通信内容外,改 进多节点之间的并行训练方式也是降低通信开销 的重要途径。分布式机器学习训练通过将训练数 据、训练模型分布到多个计算节点来达到并行训练 的目的。即使对同一训练模型和相同训练数据而 言,不同的并行方式也会产生完全不同的流量模式 和通信数据量。现有方案大多在训练数据、模型不 同层等维度对训练任务进行并行化分解,最近一些 工作又引入了流水并行来提高计算资源利用率。但 这些方案仍远未成熟。对流水并行来说,由于层间 计算依赖关系的存在,这些方案或者无法完全消除 “气泡”,或者需要占用大量显存来存储多个模型 版本。如何提高流水并行的效率,同时最小化硬件 资源占用,对流水并行的应用前景至关重要。对模 型并行来说,更细粒度的操作符拆分,使其能够并 行化计算,从而提高单个操作符的执行速度上限, 也是未来值得探索的重要方向。另外,在大规模分 布式机器学习训练场景下,如何快速求解最优并行 化方式,将大量的计算节点合理地进行编排,也是 该类方案将来能否得到广泛应用的重要基础。

(3)多任务场景下的网络资源复用。现有的 网络性能优化方案仍主要针对单任务场景而设计, 对多任务之间的联合优化方案仍有待研究。但在实 际训练场景中,计算设备往往被单一训练任务所独 占,但网络设备却被很多训练任务共享,导致不同 训练任务由于彼此竞争网络资源造成性能的互相 影响。对于分布式机器学习训练任务来说,流量具 有明显的周期特征,即,从宏观结构来看,平均流 量并不高,但缩放到毫秒粒度,则会出现链路利用 率在满载和空载之间频繁切换的情况。当多个训练 任务同时使用网络资源时,所有训练任务的通信时 间都会被拉长,导致训练速度的下降。因此,未来 一个可能的发展方向便是通过使不同训练任务分 时复用网络资源,尽量减小每个训练任务所花费的 通信时间,从而提升整体的训练速度。

(4)专用网络设备和架构。网络硬件技术的 提升,对于分布式机器学习系统性能的提升具有显 著的效果。当前,分布式机器学习训练任务和其他 业务一样运行在通用网络硬件设备之上。但是分布 式机器学习训练任务具有自己的特点,如流量矩阵 的确定性以及数据传输的周期性等。因此,针对分 布式机器学习业务设计专用的网络设备和架构,如 超低转发时延交换机、GPU 与网卡的一体化设计 等,也将成为未来的研究热点。此外,光电互联技 术的出现也使得数据中心网络的带宽和容量大幅 提高。可以预料,未来在如何合理地利用这些新型 网络设备来提升网络传输性能方面也将会产生更 多的研究成果。

成为VIP会员查看完整内容
28

相关内容

分布式机器学习研究将具有大规模数据量和计算量的任务分布式地部署到多台机器上,其核心思想在于“分而治之”,有效提高了大规模数据计算的速度并节省了开销。
「机器学习中差分隐私」最新2022进展综述
专知会员服务
53+阅读 · 2022年9月9日
中文预训练模型研究进展
专知会员服务
78+阅读 · 2022年7月21日
【2022新书】分布式机器学习Python实战,284页pdf
专知会员服务
138+阅读 · 2022年6月11日
【SIGMOD2021】数据库与人工智能交叉技术综述
专知会员服务
69+阅读 · 2021年7月14日
预训练语言模型fine-tuning近期进展概述
专知会员服务
40+阅读 · 2021年4月9日
专知会员服务
81+阅读 · 2020年6月20日
基于深度学习的多标签生成研究进展
专知会员服务
147+阅读 · 2020年4月25日
最新《分布式机器学习》论文综述最新DML进展,33页pdf
专知会员服务
121+阅读 · 2019年12月26日
中文预训练模型研究进展
专知
7+阅读 · 2022年7月22日
面向大规模神经网络的模型压缩和加速方法
PaperWeekly
0+阅读 · 2022年6月17日
谷歌分布式机器学习优化实践
专知
2+阅读 · 2022年3月26日
最新《多任务学习》综述,39页pdf
专知
28+阅读 · 2020年7月10日
深度学习可解释性研究进展
专知
19+阅读 · 2020年6月26日
国家自然科学基金
2+阅读 · 2015年12月31日
国家自然科学基金
2+阅读 · 2015年12月31日
国家自然科学基金
0+阅读 · 2013年12月31日
国家自然科学基金
1+阅读 · 2013年12月31日
国家自然科学基金
0+阅读 · 2013年12月31日
国家自然科学基金
0+阅读 · 2012年12月31日
国家自然科学基金
0+阅读 · 2012年12月31日
国家自然科学基金
0+阅读 · 2012年12月31日
国家自然科学基金
1+阅读 · 2010年12月31日
国家自然科学基金
0+阅读 · 2009年12月31日
Arxiv
0+阅读 · 2022年11月2日
Arxiv
23+阅读 · 2022年2月4日
Arxiv
28+阅读 · 2021年9月18日
已删除
Arxiv
33+阅读 · 2020年3月23日
Heterogeneous Graph Transformer
Arxiv
27+阅读 · 2020年3月3日
VIP会员
相关VIP内容
「机器学习中差分隐私」最新2022进展综述
专知会员服务
53+阅读 · 2022年9月9日
中文预训练模型研究进展
专知会员服务
78+阅读 · 2022年7月21日
【2022新书】分布式机器学习Python实战,284页pdf
专知会员服务
138+阅读 · 2022年6月11日
【SIGMOD2021】数据库与人工智能交叉技术综述
专知会员服务
69+阅读 · 2021年7月14日
预训练语言模型fine-tuning近期进展概述
专知会员服务
40+阅读 · 2021年4月9日
专知会员服务
81+阅读 · 2020年6月20日
基于深度学习的多标签生成研究进展
专知会员服务
147+阅读 · 2020年4月25日
最新《分布式机器学习》论文综述最新DML进展,33页pdf
专知会员服务
121+阅读 · 2019年12月26日
相关基金
国家自然科学基金
2+阅读 · 2015年12月31日
国家自然科学基金
2+阅读 · 2015年12月31日
国家自然科学基金
0+阅读 · 2013年12月31日
国家自然科学基金
1+阅读 · 2013年12月31日
国家自然科学基金
0+阅读 · 2013年12月31日
国家自然科学基金
0+阅读 · 2012年12月31日
国家自然科学基金
0+阅读 · 2012年12月31日
国家自然科学基金
0+阅读 · 2012年12月31日
国家自然科学基金
1+阅读 · 2010年12月31日
国家自然科学基金
0+阅读 · 2009年12月31日
相关论文
微信扫码咨询专知VIP会员